
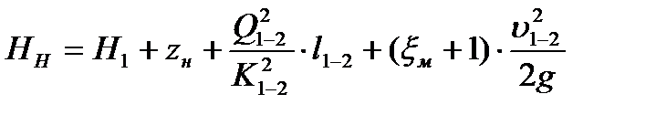
где Н 1- пьезометрический напор в точке 1;
Q 1-2 – расход на участке 1-2;
– скорость на участке 1-2,
- коэффициент местных сопротивлений;
К - расходная характеристика
м
Мощность электродвигателя:
Вт
где НН - напор насоса,м;
- КПД насоса;
Q1-2- расход на участке 1-2;
- плотность воды.






