Рис. 2.7. Локсодромия на поверхности Земли
Рис. 2.6. Локсодромия и ортодромия на меркаторской путевой карте
Локсодромия – линия постоянного курса. На морской навигационной карте в проекции Меркатора – прямая линия, пересекающая меридианы под одним и тем же углом КЛОК = const (рис. 2.6.).
На сфере:
| при КЛОК = 0°(180°) она совпадает с меридианом (λ = const); |
| при КЛОК = 90°(270°) она совпадает с параллелью (φ = const); |
| при КЛОК = 90°(270°) и φ = 0° – она совпадает с экватором; |
| при КЛОК ≠ 0°(180°) и КЛОК ≠ 90°(270°) – она представляет из себя логарифмическую спираль, стремящуюся к ближайшему полюсу и обращенную выпуклостью к экватору |
Локсодромия в переводе с греческого означает «косой бег».
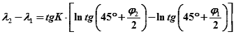
Формула локсодромии для шара:
|

При плавании судна на небольшие расстояния (сотни миль) и ведении графического счисления пути судна на карте в проекции Меркатора удобно выполнять это плавание по локсодромии – линии постоянного курса, несмотря на то, что это и не кратчайшее расстояние между двумя заданными точками.
Ортодромия – дуга большого круга (ДБК) – кратчайшее расстояние между двумя точками на земной сфере – кривая, обращенная (на МНК в проекции Меркатора) выпуклостью к ближайшему полюсу (рис.2.6.). На картах в гномонической проекции – прямая линия.
- При курсе судна 0°(180°) – локсодромия и ортодромия «сливаются» в одну линию, совпадающую с географическим меридианом.
- При курсе судна 90°(270°) при φ = 0° – также «сливаются» в одну линию, совпадающую с земным экватором.
- При плавании судна на большие расстояния (тысячи миль) экономно плыть по ортодромии, так как это – кратчайшее расстояние между заданными точками.
Рассмотрим элементы дуги большого круга – ортодромии (рис. 2.8.):

Рис. 2.8. Элементы дуги большого круга – ортодромии
Исходная (начальная) точка ортодромии → т. А (φА λА или φ1 λ1).
Начальный курс плавания по ортодромии → КН – горизонтальный угол между северной частью истинного меридиана в т. А и касательной к ортодромии в этой точке, совпадающей с носовой частью продольной оси судна. Отсчитывается от NИ по часовой стрелке от 0° до 360°.
Конечная точка ортодромии → т. В (φВ λВ или φ2 λ2).
Конечный курс плавания по ортодромии → КК – горизонтальный угол между северной частью истинного меридиана в т. В и касательной к ортодромии в этой точке, совпадающей с носовой частью продольной оси судна. Отсчитывается от NИ по часовой стрелке от 0° до 360°.
Точка W → точка пересечения ортодромии и земного экватора (φ0 = 0°, λ0).
Курс К0 → горизонтальный угол между северной частью истинного меридиана в т. W и касательной к ортодромии в этой точке, совпадающей с носовой частью продольной оси судна. Отсчитывается от NИ по часовой стрелке от 0° до 360°.
Точка V (вертекс) → точка ортодромии, имеющая наибольшее значение широты (φV). Это точка «перегиба» ортодромии и курс судна в этой точке КV = 90° – при плавании судна в восточном направлении; или КV = 270° – если судно совершает плавание по ортодромии в западном направлении.
В судовождении в качестве основной единицы длины применяется морская миля (миля).
В 1928 г. Международное гидрографическое бюро приняло международную стандартную морскую милю. 1 миля = 1852 м (Δ 1′м для φ = 45° = 1852,228 м).
К этому решению присоединилось большинство стран.
Принимая 1′ дуги меридиана за постоянную величину (1852 м) тем самым считаем Землю шаром с R = 3 437,747 мили = 6 366 707 м.
Таким образом, морская миля - единица длины, равная длине одной минуты дуги меридиана земного эллипсоида.
Стандартная морская миля – морская миля постоянной величины.
Для измерения небольших расстояний служит 1 кабельтов (кб.), составляющий 0,1 стандартной морской мили.
| 1 кб. = 185,2 м | 1 миля = 10 кб. | 1 кб. = 0,1 мили |
При использовании некоторых карт, лоций, руководств для плавания и других пособий, особенно зарубежного издания, можно встретить и другие единицы длины:
Статутная миля (Англия) = 8 фарлонгам = 5280 футов = 1609,34 м.
Географическая миля = 1/15 длины дуги 1° экватора = 7 421,4 м ≈ 7 верст.
Артиллерийский кабельтов = 182,88 м = 600 футам.
Морская сажень = 1,83 м = 6 футам = 2 ярдам.
Фут = 30,48 см = 12 дюймам = 1/3 ярда = 1/6 м. сажени.
1 ярд = 3 фута = 91,44 см.