Лекция
Министерство образования и науки Российской Федерации
Никаких добрых бабушек, одни злые крокодилы!
Кто без калькулятора пришел, тот сам дурак
Переоценка МПЗ. Порядок образований и учета резерва под снижение стоимости материальных ценностей
Щербининой не будет. Бхолдиной тоже не будет.
консультация в пятницу (9.00?)
в понедельник пришлет теоретические вопросы
задачи с 46 счетом НЕ БУДЕТ!!!
Федеральное Государственное Образовательное Учреждение Среднего профессионального образования
| Элд.техн. | |
| Аудитория | |
| Пара |
Тема 13: «Последовательный резонанс.»
Время: 2 часа
Вид занятий: Лекция
Тип урока: Комбинированный
| Цели занятия | 1 Явление резонанса. |
| 2. Последовательные и параллельные контура. | |
| 3. Расчет и применение колебательных контуров | |
| Меж предметные связи: |
| Внутрепредметные связи: |
Обеспечение занятий:
а).Наглядные пособия
(натуральные):___________________________________________
Изобразительные:_________________________________________
|
|
|
Б)Раздаточный материал:__
Техническое обеспечения: Методические пособия
г).Литература основная:»
д) Дополнительная:
Требования к результатам усвоения учебного материала
Студенты должны знать: представление о сигналах, шумах, помехозащищенности, восстановлении сигналов.
Содержание занятия:
| Время | Деятельность преподавателя | Деятельность Студента | ||||||||||||||||||||||||||||||||||||||||||||||
1. Вводная часть
а) проверка наличия студент
2. Основная часть
В электронных устройствах резонанс возникает на определённой частоте, когда индуктивная и ёмкостная составляющие реакции системы уравновешены, что позволяет энергии циркулировать между магнитным полем индуктивного элемента и электрическим полем конденсатора.
Механизм резонанса заключается в том, что магнитное поле индуктивности генерирует электрический ток, заряжающий конденсатор, а разрядка конденсатора создаёт магнитное поле в индуктивности — процесс, который повторяется многократно, по аналогии с механическим маятником.
Электрическое устройство, состоящее из ёмкости и индуктивности, называется колебательным контуром. Элементы колебательного контура могут быть включены как последовательно, так и параллельно. При достижении резонанса, импеданс последовательно соединённых индуктивности и ёмкости минимален, а при параллельном включении — максимален. Резонансные процессы в колебательных контурах используются в элементах настройки, электрических фильтрах. Частота, на которой происходит резонанс, определяется величинами (номиналами) используемых элементов. В то же время, резонанс может быть и вреден, если он возникает в неожиданном месте по причине повреждения, недостаточно качественного проектирования или производства электронного устройства. Такой резонанс может вызывать паразитный шум, искажения сигнала, и даже повреждение компонентов.
Приняв, что в момент резонанса индуктивная и ёмкостная составляющие импеданса равны, резонансную частоту можно найти из выражения
,
где; f — резонансная частота в герцах; L — индуктивность в генри; C — ёмкость в фарадах. Важно, что в реальных системах понятие резонансной частоты неразрывно связано с полосой пропускания, то есть диапазоном частот, в котором реакция системы мало отличается от реакции на резонансной частоте. Ширина полосы пропускания определяется добротностью системы.
Колебательный контур. Схема. Расчет. Применение. Резонанс. Резонансная частота.
Колебательный контур состоит из катушки индуктивности и конденсатора.
(А) - последовательный колебательный контур, (Б) - параллельный колебательный контур.
Последовательный колебательный контур
Если соединить последовательно электрический конденсатор и катушку индуктивности, то для синусоидального сигнала определенной частоты указанная схема будет демонстрировать нулевое реактивное сопротивление. Этот эффект называется резонансом колебательного контура, сама схема из конденсатора и индуктивности - последовательным колебательным контуром, а частота, на которой проявляется этот эффект - частотой резонанса.
Хотя и катушка индуктивности, и конденсатор имеют некоторое реактивное сопротивление, вместе они реактивного сопротивления не проявляют. Причина проста. Конденсатор и катушка накапливают и отдают энергию, но делают это по-разному. В тот момент, когда катушка накапливает энергию, конденсатор ее отдает, и наоборот. Конечно, этот эффект проявляется только для синусоидального сигнала, на определенной частоте, в установившемся режиме. Если частота сильно отличается от резонансной, то схема теряет свои чудесные качества и проявляет себя, как катушка и конденсатор. Если последовательный колебательный контур не был запитан, а теперь на него подали синусоидальный сигнал резонансной частоты, то сопротивление будет уменьшаться постепенно, по мере перехода контура в стационарный режим работы.
Если пропускать через последовательный колебательный контур синусоидальный электрический ток резонансной частоты, то падение напряжения на контуре будет равно нулю. Но падение напряжения на конденсаторе отдельно, индуктивности отдельно будет иметь место. Просто эти напряжения компенсируют друг друга в каждый момент времени. Напряжения на конденсаторе и катушке могут быть очень значительными. Одной из популярных ошибок при проектировании последовательного колебательного контура является неправильная оценка напряжения на конденсаторе. Напряжение может в разы, десятки, сотни раз превышать напряжение источника питания. На основе этого эффекта даже разработаны схемы повышающих преобразователей напряжения.
[Амплитудное значение напряжения на конденсаторе, В] = [Амплитудное значение силы тока через контур, А] * [ZC], где [ZC] = 1 / (2 * ПИ * [Частота сигнала, Гц] * [Емкость конденсатора, Ф])
Необходимо также обратить внимание, чтобы ток через последовательный контур не приводил к насыщению сердечника катушки индуктивности.
В схемотехнике последовательный колебательный контур применяется, если необходимо пропустить сигнал определенной частоты и отфильтровать все другие. Колебательные контуры бывают небольшие, рассчитанные на работу с небольшими токами и напряжениями, например, во входных и внутренних цепях радиоприемника. Но бывают и силовые, рассчитанные на большие токи и напряжения, например, в радиопередатчиках, силовых резонансных фильтрах и т. д.
Параллельный колебательный контур
Другой интересной резонансной схемой является параллельный колебательный контур. В нем конденсатор и катушка индуктивности соединены параллельно. Если снабдить такой контур энергией, например, зарядив конденсатор, или вызвав ток в катушке индуктивности, то далее энергия будет перетекать из конденсатора в катушку и обратно. На конденсаторе будет формироваться синусоидальное напряжение. Его частота называется частотой резонанса параллельного колебательного контура. Если бы не было потерь, то колебания продолжались бы бесконечно, но из-за потерь колебания постепенно затухают.
Что произойдет, если к параллельному колебательному контуру приложить переменное напряжение резонансной частоты. Сначала будут переходные процессы, но потом колебания установятся, и будет складываться такая ситуация. Напряжение на контуре, возникающее за счет собственных колебаний будет равно напряжению, подводимому извне, так что ток через цепь подачи переменного напряжения протекать не будет. Так что можно считать, что на этой частоте параллельный колебательный контур имеет бесконечное сопротивление. Сказанное верно для идеального случая, когда потери отсутствуют. Если учесть потери, то некоторый ток от источника синусоидального сигнала будет проходить и компенсировать эти потери, но все равно реактивное сопротивление параллельного колебательного контура на резонансной частоте будет высоким.
То, что через внешние цепи на данной частоте ток практически не протекает, не должно вводить в заблуждение инженера - электронщика. В катушке индуктивности течет электрический ток значительной силы. Этот ток сначала разряжает конденсатор, потом заряжает его, не вытекая во внешние цепи. Катушка индуктивности должна быть спроектирована так, чтобы не входить в насыщение и выдерживать указанный ток, конденсатор также должен быть рассчитан на этот ток.
[
Амплитудное значение тока в контуре, А] = [Амплитудное значение напряжения на контуре, В] / [ZL], где [ZL] = 2 * ПИ * [Частота сигнала, Гц] * [Индуктивность катушки, Гн]
Параллельный колебательный контур применяется, если необходимо воспрепятствовать прохождению сигнала определенной частоты, пропуская другие сигналы, например, убрать помеху на определенной частоте (фильтр - пробка) или наоборот, заземлить все сигналы, кроме нужного, данной частоты. С помощью таких контуров радиоприемники выделяют нужную радиостанцию из бесчисленного множества других и эфирных помех.
Резонансная частота
Резонансные частоты последовательного и параллельного колебательных контуров, если в них использованы одинаковые катушка и конденсатор, равны между собой. Резонанс достигается на той частоте, на которой модуль реактивного сопротивления катушки индуктивности равен модулю реактивного сопротивления конденсатора.
[Резонансная частота контура, Гц] = 1 / (2 * ПИ * корень_квадратный(
[Емкость конденсатора, Ф] *
[Индуктивность катушки, Гн]))
Применение колебательных контуров
Хорошим примером применения силовых последовательного и параллельного колебательных контуров является силовой резонансный фильтр для получения синусоидального напряжения
Еще интересные схемы:
(А), (Б), (В) - фильтры сигнала заданной частоты,
(Г) - фильтр-пробка,
(Д) - входная цепь радиоприемника,
(Е) - стабилизатор переменного напряжения. Катушка L2 специально сделана насыщающейся при некотором нужном переменном напряжении на ней, что обеспечивает поддержание этого выходного напряжения по форме близкого к синусоиде.
Явление резонанса
Явление резонанса относится к наиболее важным с практической точки зрения свойствам электрических цепей. Оно заключается в том, что электрическая цепь, имеющая реактивные элементы обладает чисто резистивным сопротивлением.
Общее условие резонанса для любого двухполюсника можно сформулировать в виде Im[ Z ]=0 или Im[ Y ]=0, где Z и Y комплексное сопротивление и проводимость двухполюсника. Следовательно, режим резонанса полностью определяется параметрами электрической цепи и не зависит от внешнего воздействия на нее со стороны источников электрической энергии.
Для определения условий возникновения режима резонанса в электрической цепи нужно:
Последовательный резонансный контур представлен на рис. 1 а). Комплексное сопротивление цепи равно
Условием резонанса из выражения (1) будет
Таким образом, резонанс в цепи наступает независимо от значения резистивного сопротивления R когда индуктивное сопротивление xL = w L равно емкостному xC = 1/(w C). Как следует из выражения (2), это состояние может быть получено вариацией любого их трех параметров - L, C и w, а также любой их комбинацией. При вариации одного из параметров условие резонанса можно представить в виде
Все величины, входящие в выражение (3) положительны, поэтому эти условия выполнимы всегда, т.е. резонанс в последовательном контуре можно создать
Наибольший интерес для практики представляет вариация частоты. Поэтому рассмотрим процессы в контуре при этом условии. При изменении частоты резистивная составляющая комплексного сопротивления цепи Z остается постоянной, а реактивная изменяется. Поэтому конец вектора Z на комплексной плоскости перемещается по прямой параллельной мнимой оси и проходящей через точку R вещественной оси (рис. 1 б)). В режиме резонанса мнимая составляющая Z равна нулю и Z = Z = Z min = R, j = 0, т.е. полное сопротивление при резонансе соответствует минимальному значению.
Рассмотрим теперь падения напряжения на элементах контура. Пусть резонансный контур питается от источника, обладающего свойствами источника ЭДС, т.е. напряжение на входе контура u = const, и пусть ток в контуре равен i = Im sinw t. Падение напряжения на входе уравновешивается суммой напряжений на элементах
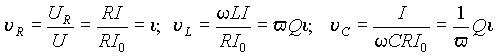
Переходя от амплитудных значений к действующим, из выражения (4) получим напряжения на отдельных элементах контура
а при резонансной частоте
где Следовательно, при резонанс е
Отношение волнового сопротивления к резистивному r / R = Q, называется добротностью контура, а величина обратная D =1/ Q - затуханием. Таким образом, добротность числено равна отношению напряжения на реактивном элементе контура к напряжению на резисторе или на входе в режиме резонанса. Добротность может составлять несколько десятков единиц и во столько же раз напряжение на реактивных элементах контура будет превышать входное. Поэтому резонанс в последовательном контуре называется резонансом напряжений. Рассмотрим зависимости напряжений и тока в контуре от частоты. Для возможности обобщенного анализа перейдем в выражениях (5) к относительным единицам, разделив их на входное напряжение при резонансе U = RI 0
где i = I / I 0, u k = Uk / U, v = w /w 0 - соответственно ток, напряжение и частота в относительных единицах, в которых в качестве базовых величин приняты ток I 0, напряжение на входе U и частота w 0 в режиме резонанса. Абсолютный и относительный ток в контуре равен
На рис. 3 кривые A (v), B (v) и C (v) соответствуют напряжению на индуктивности, емкости и резисторе или току в контуре. Кривые A (v)=u L (v) и B (v)=u C (v) имеют максимумы, напряжения в которых определяются выражением
а относительные частоты максимумов равны
При увеличении добротности Q ® µ A max = B max ® Q, а v 1 ® 1.0 и v 2 ® 1.0.
С уменьшением добротности максимумы кривых u L (v) и u С (v) смещаются от резонансной частоты, а при Q 2 < 1/2 исчезают, и кривые относительных напряжений становятся монотонными. Напряжение на резисторе и ток в контуре имеют при резонансной частоте максимум равный 1,0. Если на оси ординат отложить абсолютные значения тока или напряжения на резисторе, то для различных значений добротности они будут иметь вид, показанный на рис. 4. В целом они дают представление о характере изменения величин, но удобнее делать сопоставление в относительных единицах.
Можно показать, что разность относительных частот, соответствующих значениям относительного тока Перейдем теперь к анализу зависимости фазового сдвига между током и напряжением на входе контура от частоты. Из выражения (1) угол j равен
При уменьшении частоты значение фазового сдвига стремится к значению - 90°, а при увеличении к +90°, проходя через нулевое значение при частоте резонанса. Скорость изменения функции j (v) определяется добротностью контура. Последовательный резонансный контур может питаться также от источника электрической энергии, обладающего свойствами источника тока, т.е. обеспечивающего постоянный ток в нагрузке. Выражения (5) остаются справедливыми и в этом случае, но ток в них будет константой. Поэтому постоянным будет падение напряжения на резисторе UR = RI = const. Разделив все напряжения на это базовое значение, получим представление их в относительных единицах в виде
В выражении (12) добротность также есть отношение волнового сопротивления к резистивному Q =r / R. Общее относительное падение напряжения на входе контура является гипотенузой прямоугольного треугольника напряжений, поэтому
Функции u L (v) и u С (v) монотонны, а u(v) имеет минимум u =1.0 при резонансной частоте, когда u L (v) - u С (v) = 0. В случае стремления относительной частоты к бесконечности и к нулю, напряжения на одном из реактивных элементов стремится к бесконечности. При резонансной частоте они одинаковы и их отношение ко входному напряжению равно добротности.
Графическое представление функций u L (v)= A (v), u С (v)= B (v) и u(v)= С (v) при добротности Q =2 дано на рис. 7 в логарифмическом (а) и линейном (б) масштабах оси частот. Для функции u (v)= С (v) можно показать, что разность относительных частот v 1 и v 2, соответствующих значениям Фазовые характеристики контура при питании от источника тока ничем не отличаются от характеристик режима питания от источника ЭДС (рис. 6). Сопоставляя частотные характеристики при питании последовательного резонансного контура от источника тока с характеристиками при питании его от источника ЭДС, можно сделать следующие выводы:
Следовательно, для параллельного контура возможны те же вариации параметров, что и для последовательного и выражения для них будут идентичными
При изменении частоты питания изменяется только мнимая составляющая вектора комплексной проводимости Y, поэтому его конец перемещается на комплексной плоскости по прямой параллельной мнимой оси и проходящей через точку G =1/ R, соответствующую вещественной составляющей проводимости (рис. 8 б)). При частоте резонанса модуль вектора минимален, а при стремлении частоты к нулю и бесконечности, его значение стремится к бесконечности. При этом угол сдвига фаз между током и напряжением j на входе контура стремится к 90° при w ® 0 и к - 90° при w ® µ. Для параллельного соединения токи в отдельных элементах можно представить через проводимости и общее падение напряжения U в виде
Пусть в режиме резонанса падение напряжения на входе контура равно U 0, тогда токи в отдельных элементах будут
где Падение напряжения на входе контура U при питании его от источника, обладающего свойствами источника тока и формирующего ток с действующим значением I, будет равно
Отсюда, напряжение на входе в режиме резонанса U 0 = I / G. Тогда ток в контуре - I = U 0 G. Перейдем к относительным единицам в выражениях (16) и (18), приняв в качестве базовых значений напряжение на входе при резонансе и ток контура, выраженный через это напряжение. Тогда получим
Выражения (18) полностью совпадают с выражениями (7) и (8) для частотных характеристик последовательного контура, если в них относительные токи и напряжения поменять местами. Следовательно, характеристики рис. 3 будут связаны с выражениями (18) следующим образом: A (v)=i С (v); B (v)=i L (v) и C (v)=i R (v)=u (v). Для относительных токов i С, i L и i R справедливыми будут также все закономерности отмеченные для относительных напряжений последовательного контура.
Из выражения (14) рассмотренную выше качественно фазовую частотную характеристику можно представить аналитически в виде
т.е. она совпадает с характеристикой последовательного контура, но имеет противоположный знак. Допустим теперь, что параллельный контур питается от источника со свойствами источника ЭДС. В режиме резонанса входной ток также будет равен току через резистор - I 0= U / R = UG. Соотнесем все выражения (16) с этим током, приняв его за базовую величину. Тогда
Относительный входной ток i можно определить, пользуясь тем, что в треугольнике токов он является гипотенузой
Выражения (19) и (20) для относительных токов совпадают с выражениями (12) и (13) для относительных напряжений последовательного контура. Следовательно, на рис. 7 - i C (v)= A (v), i L (v)= B (v) и i R (v)= i (v)= C (v). Сравнивая частотные характеристики при питании параллельного резонансного контура от источника тока с характеристиками при питании его от источника ЭДС, можно сделать выводы аналогичные тем, которые были сделаны для последовательного контура:
Параллельный резонансный контур может содержать резистивные сопротивления (рис. 10). В этом случае комплексные проводимости ветвей будут равны Y 1= G 1+ jB 1; Y 2= G 2+ jB 1 , а общая проводимость Y = Y 1 + Y 2= G 1+ G 2+ j (B 1+ B 2). Условием резонанса будет:
Раскрывая выражение (23) через параметры цепи, получим
откуда резонансная частота w р -
где Анализ выражения (21) показывает, что при разных резистивных сопротивлениях R 1 ¹ R 2 резонанс возможен только, если оба сопротивления одновременно больше или меньше r. В противном случае выражение под корнем отрицательно, резонансная частота мнимая и не имеет физического смысла. Если R 1 = R 2, то w р = w 0, т.е. резонанс наступает при той же частоте, что и в простейшем контуре без потерь (рис. 8 а)). Однако при этом условии возможен вариант, когда R 1 = R 2 = r. В этом случае подкоренное выражение в (21) становится неопределенным (0/0) и требуется его дополнительный анализ.
Ветви контура соединены параллельно и общее падение напряжения на них одинаково и равно сумме падений напряжения на элементах ветви. При любых изменениях частоты угол между напряжением на резисторе и реактивном элементе составляет 90° и т.к. сумма их постоянна и равна входному напряжению, то геометрическим местом точек конца вектора падения напряжения на резисторе будет полуокружность (рис. 11 а)). Причем, векторы ветви с индуктивностью будут вписываться в нижнюю полуокружность, а ветви с емкостью - в верхнюю. Входной ток I равен сумме токов ветвей I 1 и I 2 и резонанс наступает, если его направление совпадает с вектором входного напряжения U. Разделим комплексные числа, соответствующие векторам напряжений рис. 11 а), на R = R 1 = R 2 = r и построим векторную диаграмму токов для режима резонанса (рис. 11 б)), т.е. так, чтобы сумма векторов I 1 и I 2 была равна U /R. Параллелограмм abcd имеет два противоположных прямых угла, поэтому два других угла j 1 + j 2 = p /2. То, что сумма углов j 1 и j 2 равна 90° доказывается также и тем, что Подпись преподавателя _______________ А.П.Седов |
Планирование эксплуатации ВиТ осуществляется во всех звеньях технических служб (автомобильной, инженерной) и включает в себя разработку комплекса мероприятий по организации и обеспечению правильного использования машин для выполнения задач боевой подготовки, боевой и мобилизационной готовности, а также хозяйственной деятельности войск.
Цели планирования эксплуатации техники:
Постоянное содержание техники в исправном состоянии.
Выполнение планов боевой подготовки и хозяйственных задач.
Использование техники только по прямому назначению в пределах установленных годовых норм расхода ресурсов.
Своевременное проведение плановых ТО техники и равномерный выход их в ремонт в течение года.
Содержание в боевой и строевой группах эксплуатации машин с ресурсом до очередного среднего или капитального ремонта в пределах установленных норм.
Задачи планирования эксплуатации ВиТ:
установить расход моторесурсов в км (моточасах);
установить количество машин, подлежащих использованию в планируемом году (периоде);
установить потребность техники в ТО и ремонте;
установить потребность в силах и средствах для ТО и ремонта техники;
установить потребность в ГСМ и техническом имуществе для эксплуатации и ремонта техники.
В мирное время для поддержания войск в постоянной готовности к применению в каждой части установлена система эксплуатации, включающая следующие виды планирования эксплуатации техники:
перспективное;
текущее.
Перспективное планирование включает:
1. для инженерной техники
- перспективный план эксплуатации и ремонта техники в/части - разрабатывается на 5 лет, корректируется ежегодно;
- план технического обслуживания и опробывания инженерной техники длительного хранения - разрабатывается на 10 лет;
2. для автомобильной техники
- план-график технического обслуживания и опробывания машин, содержащихся на длительном хранении - разрабатывается на 10 лет, обновляется 1 раз в 5 лет.
Текущее включает в себя годовое, месячное и ежедневное планирование:
• годовое планирование включает
- годовой план эксплуатации и ремонта техники войсковой части -
разрабатывается за месяц до планируемого года;
- для инженерной техники длительного хранения разрабатывается «Годовой план ТО и опробывания инженерной техники, находящихся на длительном хранении».
месячное планирование включает:
- месячный план эксплуатации и ремонта техники войсковой части - разрабатывается за 5 дней до начала планируемого месяца;
- план-задание ремонтному подразделению на ТО и ремонт техники на месяц (в руководстве по инженерно-техническому обеспечению данный документ называется «Производственный план ТО и ремонта техники на месяц») - разрабатывается за 5 дней до начала планируемого месяца;
- план-график ТО и ремонта техники в войсковой части на месяц - разрабатывается за 3 дня до начала планируемого месяца;
• ежедневное планирование включает наряд на использование машин - разрабатывается ежедневно накануне планируемого дня;
2 вопрос. Планирующая документация в части и подразделении
Перспективный план эксплуатации и ремонта инженерной техники части составляется в целях обеспечения равномерного (ступенчатого) выхода техники в регламентированное техническое обслуживание (РТО) и ремонт. План ежегодно корректируется по итогам года с учетом изменения списочного количества техники в части. План составляется по службам, а если в части единая служба, то план составляется единый, но техника записывается по разделам: автомобильная, инженерная и т.д.
Годовой план эксплуатации и ремонта техники разрабатывается штабом воинской части. В разработке годового плана эксплуатации и ремонта техники непосредственное участие принимают: начальник штаба части;
заместитель командира части по вооружению; заместитель командира части по тылу.
Исходными данными для разработки годового плана являются:
Расчет потребности в машинах и моторесурсах для выполнения плана боевой подготовки, а также других задач, стоящих перед частью.
Наличие и техническое состояние техники и распределение их по группам эксплуатации.
Установленные годовые нормы расхода ресурсов (за вычетом резерва МЧС).
Сведения о запасе ресурсов техники до очередного планового ремонта.
Периодичность технического обслуживания машин.
Потребность в техническом обслуживании машин хранения.
Производственные возможности ремонтных подразделений для выполнения ТО и ремонта техники.
Для разработки годового плана эксплуатации и ремонта техники начальник штаба части производит расчет необходимого количества моторесурсов для обеспечения плана боевой подготовки. Общее количество необходимых мотто- ресурсов складывается из потребности в них для отработки задач на тактико- специальных занятиях и тактико-специальных учениях, на тактических учениях, а также из потребности в моторесурсах для обучения управлению машинами, подготовки классных специалистов и выполнении задач.
Начальники служб воинской части представляют начальнику штаба расчет необходимого количества моторесурсов для специальных нужд службы и работы двигателей специальных агрегатов. Заместитель командира части по тылу производит расчет потребности в моторесурсах автомобильной техники для обеспечения хозяйственных нужд (подвоза продовольствия, горючего, смазочных и других материалов и т. п.). Как правило, в расчетах, выполняемых начальником штаба и заместителем командира части по тылу, принимает участие начальник автомобильной службы. При этом он определяет потребности в моторесурсах для до-подготовки молодых водителей, на вождение машин водителями первого и второго годов службы и другие потребности службы в моторесурсах.
Результаты расчета потребности в моторесурсах начальник штаба части сводит в ведомость, которую он подписывает и утверждает у командира части. Одновременно, с работой начальника штаба по расчету потребности в мотто- ресурсах заместитель командира части по вооружению производит расчет возможного расхода моторесурсов по маркам машин раздельно для боевой, строевой, учебно-строевой и транспортной групп (для учебных частей и подразделений учебной группы). Результаты расчета сводят в ведомость возможного расхода моторесурсов, которую подписывает заместитель командира части по вооружению и утверждает командир части. Расчеты возможного расхода моторесурсов сравниваются с потребностью в моторесурсах. В случае расхождения между потребностью в моторесурсах и наличием их начальник штаба и заместитель командира части по вооружению вносят предложения по устранению расхождений.
После уточнения расчетов расхода моторесурсов заместитель командира части по вооружению определяет реальное количество необходимых средних и капитальных ремонтов, потребность в номерных технических обслуживаниях, количество машин, подлежащих постановке на хранение, потребность в ГСМ, запасных частях и эксплуатационных материалах. На основании всех расчетов заместитель командира части по вооружению разрабатывает единый годовой план эксплуатации и ремонта техники части.
Годовой план эксплуатации и ремонта техники является - основным документом, определяющим объем работы машин и сроки их ремонта в течение планируемого года. Основываясь на данных годового плана, можно своевременно истребовать у довольствующих органов и распределить все необходимое для материального обеспечения эксплуатации, технического обслуживания и ремонта техники войсковой части. Годовой план эксплуатации и ремонта техники разрабатывается не позднее чем за месяц до начала планируемого года, подписывается заместителем командира части по вооружению и утверждается командиром части.
При расчете возможного расхода ресурсов учитывается, что годовые нормы в каждой части сокращаются по всей технике на 5 % для создания резервов в объеме видов ВС, родов войск и военных округов, региональных центров.
На основании всех расчетов разрабатывается годовой план эксплуатации и ремонта техники части.
Годовой план состоит из двух разделов:
- плана эксплуатации и ремонта по маркам;
- сводного плана по маркам техники и группам эксплуатации.
К годовому плану эксплуатации и ремонта техники части прилагаются графики представления частью на периодическую проверку средств измерений и объектов, подлежащих контролю органами Гостехнадзора.
При составлении годового плана эксплуатации и ремонта автомобильной техники необходимо учитывать особенности использования техники: Командиру соединения, воинской части представляется право: увеличивать до 2-х годовых норм расход моторесурсов одних автомобилей за счет других однотипных автомобилей той же группы;
увеличивать до 2-х годовых норм расход моторесурсов на каждый списочный легковой автомобиль за счет моторесурсов недостающих по штату (табелю) легковых автомобилей;
увеличивать до 3-х годовых норм расход моторесурсов грузовых автомобилей, автобусов, санитарных машин, находящихся в эксплуатации 7 лет и более за счет такого же снижения расхода моторесурсов машин, соответствующих типов и групп, эксплуатации более позднего изготовления;
Для обеспечения ступенчатого (равномерного) выхода инженерной техники в ремонт и снижения количества техники, находящейся в эксплуатации, допускается увеличить годовой ресурс одного типа техники до двух норм за счет снижения ресурса другой однотипной техники той же группы эксплуатации (для электротехнических средств — за счет снижения годового ресурса изделий одной и той же марки или модификации этой же группы эксплуатации). Общим ресурс данного типа техники (данной марки или модификации) не должен превышать суммарной годовой нормы ресурсов.
Годовые нормы расхода на автомобили и основные марки инженерной техники приведены в табл. 1 и 2.
Таблица 1
Годовые нормы расхода моторесурсов на автомобильную технику
| Тип автомобильной техники и единицы измерения моторесурсов (на одну машину) | Нормы расхода моторесурсов по группам Эксплуатации (на одну машину) | ||
| боевая | строевая | транспортная | учебная |
| Автомобили легковые, км | - | |||
| Автомобили грузовые, км |
| Таблица 2 |
Годовые нормы
расхода моторесурсов инженерной техники по группам эксплуатации
| Едини | Группы эксплуатации | |||
| Типы инженерной техники | ца из | строевая | учебно- | учебная |
| мере | строевая | |||
| ния | ||||
| Машины разграждения ИМР-2М, ИМР | мч | |||
| Путепрокладчики гусеничные БАТ-2 | мч | |||
| Транспортеры плавающие ПТС-2, ПТС-М | мч | |||
| Бульдозеры на тракторах 1,4 - 25 тс | мч | |||
| Машина траншейная БТМ-3 | мч | |||
| Машины котлованные МДК-3 | мч | |||
| Экскаваторы ЭОВ-4421 - работа | ||||
| оборудования | мч | |||
| Краны автомобильные 6,3 - 16 т - работа | ||||
| оборудования | мч | |||
| Автопогрузчики 1,6 - 5 т | мч | - |
При составлении годового плана эксплуатации и ремонта автомобильной техники необходимо руководствоваться следующими указаниями.
При заполнении графы 2 первого раздела плана марки машин располагать в порядке, установленном в донесении по форме 1/Г ЛАВ ТУ.
Графы 3—7 заполнять, используя данные соответствующих разделов паспортов (формуляров) машин о годах изготовления машин, номерных знаках, пробегах с начала эксплуатации (после последнего планового ремонта). В графе 8 указывать нормативные значения расхода моторесурсов за вычетом резерва округа с учетом дополнительных норм для обучения личного состава вождению машин, обкатки новых и отремонтированных средним (капитальным) ремонтом.
Для заполнения графы 9 плана необходимо:
— определить марки и номера машин боевой, строевой, учебно-строевой групп, которые привлекаются на все виды учений, тактико-специальные занятия и др.;
— определить марки и номера машин транспортной и строевой (при необходимости) групп, предполагаемых к использованию для подвоза военно- технического имущества и других материальных средств.
Установить каждой машине годовой расход моторесурсов для обеспечения боевой подготовки, боевой и мобилизационной готовности, хозяйственной деятельности, других задач с учетом расхода моторесурсов на обучение вождению машин и внести соответствующие значения в графу 9 плана.
По данным графы 9 проверить:
— не превышает ли планируемый расход моторесурсов каждой машины двух годовых норм;
— обеспечивается ли ступенчатость выхода техники в ремонт;
— не превышает ли запланированный суммарный расход моторесурсов машин данной группы эксплуатации (графа 9) соответствующих нормативных значений (графа 8);
— соответствует ли запланированный расход моторесурсов утвержденному расчету на использование автомобильной техники и расхода мотто- ресурсов для обеспечения плана боевой и политической подготовки и годового хозяйственного плана, выполнению задач по указанию вышестоящих штабов.
При заполнении граф 10 и 11 плана техническое обслуживание машин планировать с учетом установленной периодичности (по пробегу и по времени).
Графы 12—18 плана заполнять на основании данных о машинах, требующих ремонта и находящихся в ремонте к началу планируемого периода (графы 12 и 13), и данных о выходе машин в плановый ремонт в течение года (графы 14, 15, 17 и 18).
Нормы наработки до среднего и капитального ремонта представлены в табл. 3 и 4.


Таблица 3
Нормы наработки до ремонта и списания автомобилей (при интенсивном использовании)
| Нормы наработки до КР, тыс. км | Нормы нара | ||
| Марка автомобиля | для новых | для машин, | ботки до |
| машин | прошедших КР | списания, тыс. км | |
| УАЭ-3152 | |||
| УАЭ-3962 | |||
| ГАЗ-66 | |||
| ГАЗ-5ЭА | |||
| ЗИЛ-131 | |||
| Урал-4320 | |||
| КамАЗ-4310 | |||
| КамАЗ-5320 | |||
| КрАЗ-255 |
Таблица 4
Нормы наработки (сроки службы) до планового ремонта и списания инженерной техники
Нормы наработки, моточас (срок службы)
| Типы инженерной техники | нового изделия | после очередного КР | до списания | ||
| до CP | до КР | до CP | доКР | ||
| Машины разграждения: ИМР-2М ИМР | 500 500 | 850 800 | 350 350 | 700 650 | 2250 2100 |
| Путепрокладчик гусеничный БАТ-2 | |||||
| Экскаваторы войсковые ЭОВ-4421 | 9600 или 23 года | ||||
| Плавающий транспортер ПТС-2 | 1950 или 25 лет |
| Плавающий транспортер | 1900 или | ||||
| ПТС-М | 25 лет |
Средние ремонты планировать с учетом производственной возможности ремонтных средств части (для частей, которым разрешено выполнять средние ремонты). Если потребность в средних ремонтах больше, чем производственная возможность ремонтных средств части, то проведение их планировать вне части (графа 17).
Для заполнения граф второго раздела годового плана эксплуатации и ремонта автомобильной техники использовать суммарные данные показателей первого раздела.
Месячный план эксплуатации и ремонта техники разрабатывается не позднее пяти дней до начала планируемого месяца представляет на утверждение командиру части. Этот план разрабатывается единый для инженерной и автомобильной техники. Машины, эксплуатация или ремонт которых в данном месяце не планируются, в месячный план эксплуатации и ремонта не включаются.
Исходными данными для разработки месячного плана являются: Годовой план эксплуатации и ремонта.
Данные о наличии и техническом состоянии техники.
Выписка из месячного плана подвоза МТС автомобильным транспортом.
Календарный план основных мероприятий части на планируемый месяц.
Потребность в ТО и ремонте средств ТО и ремонта (паркового оборудования).
Месячный план эксплуатации и ремонта техники разрабатывается в одном экземпляре и хранится в части. Выписки из месячного плана эксплуатации и ремонта техники вручаются командирам подразделений не позднее чем за три дня до начала планируемого месяца.
Командиры подразделений обязаны своевременно довести содержание месячного плана (планируемый объем работ в моточасах или пробег в
километрах, сроки проведения технических обслуживании и ремонта техники) до командиров взводов, отделений и механиков-водителей (водителей). Заместители командиров подразделений по технической части (старшие техники) обязаны в конце каждой недели докладывать заместителю командира по вооружению о фактическом использовании машин, их техническом обслуживании и ремонте, а также свои предложения о корректировке месячного плана на предстоящую неделю.
Техника, эксплуатация и ремонт которых в данном месяце не планируется, в месячный план эксплуатации и ремонта не включается.
Месячный план эксплуатации и ремонта техники разрабатывается в одном экземпляре и хранится в части. Выписка из месячного плана эксплуатации и ремонта техники вручается командирам подразделений не позднее, чем за три дня до начала планируемого месяца. Об итогах выполнения месячного плана эксплуатации и ремонта докладывается командиру части. На обратной стороне плана командир части излагает свое решение.
План-задание ремонтному подразделению на ТО и ремонт техники на месяц разрабатывается заместителем командира части по вооружению за пять дней до начала планируемого месяца. Исходными данными для разработки плана являются:
месячный план эксплуатации и ремонта ВВТ;
данные о переходящем остатке работ по ремонту и ТО техники в ремонтном подразделении;
данные об укомплектованности ремонтного подразделения личным составом.
На основании месячного производственного плана командир ремонтного подразделения составляет план-график технического обслуживания и ремонта техники, за три дня до начала планируемого
месяца представляет его на утверждение заместителю командира части по вооружению.
Ежедневное использование машин в части осуществляется по наряду. Наряд на использование машин составляется в технической части в двух экземплярах накануне выхода машин из парка. Основанием для составления наряда являются:
месячный план эксплуатации и ремонта техники части; заявки командиров подразделений, начальников служб; отдельные распоряжения штаба и командира части. В наряд разрешается включать только технически исправные, обслуженные и закрепленные за механиками-водителями (водителями) машины.
Наряд на использование машин подписывается заместителем командира части по вооружению или должностным лицом, отвечающим за эксплуатацию техники. Затем наряд представляется на утверждение командиру части. Один экземпляр наряда, утвержденный командиром части, передается дежурному по парку и служит основанием для подготовки и выпуска машин из парка. Другой экземпляр наряда хранится в технической части. На основании утвержденного наряда выписываются путевые листы. Категорически запрещается дописывать в наряд машины или вносить какие- либо исправления после его утверждения. В случае необходимости выхода машин, не внесенных в наряд, выход разрешает только командир части или должностное лицо, исполняющее его обязанности, о чем делается запись в путевом листе: «Выход вне наряда разрешаю».
Наряд на использование машин за прошедшие сутки дежурный по парку возвращает в техническую часть, где он хранится в течение года.
Учет и контроль выполнения планов эксплуатации
Выполнение планов эксплуатации и ремонта машин в значительной степени зависит от надлежащего учета работы машин. Правильно
организованный учет дает возможность своевременно выявить фактический расход моторесурсов каждой машиной и в случае больших отклонений произвести корректировку плана эксплуатации.
Учет эксплуатации машин ведется:
в путевом листе, являющемся первичным учетным документом для самоходных машин;
в рабочем листе агрегата, являющемся первичным учетным документом для несамоходных машин, имеющих в качестве силовой установки двигатель внутреннего сгорания или электродвигатель;
в книге учета работы машин, расхода ГСМ;
в формуляре (паспорте) машины;
в месячном и годовом планах эксплуатации и ремонта ВВТ.
Путевой лист является первичным документом учета работы и расхода моторесурсов, горючего и смазочных материалов для самоходных машин. Он выписывается в технической части на основании наряда на использование машин, подписывается заместителем командира части по вооружению и скрепляется гербовой печатью части.
Путевой лист выписывается, как правило, на 1 сутки (на учениях и в длительных командировках—на срок выполнения задания, но не более чем на 10 суток) и только по возвращении оформленного путевого листа за предыдущий выход машины из парка.
Путевые листы получают заместители командиров подразделений по технической части (старшие техники), командиры подразделений и расписываются в корешках. После инструктажа, об особенностях выполнения задания путевые листы вручаются механикам-водителям (водителям).
На лицевой стороне путевого листа указываются:
данные о машине, водителе, старшем машины, маршрут движения (эти данные заносятся в технической части при выписке путевого листа);
сведения о наличии и расходе горючего и масла;
показания спидометра (счетчика моточасов) и время убытия и прибытия машины (отмечает дежурный по парку).
Кроме того, в путевом листе делают отметки о техническом состоянии машины заместитель командира подразделения по технической части (старший техник, командир подразделения) и начальник КТП. На оборотной стороне путевого листа механиком-водителем отражается проделанная машиной работа (сколько пройдено километров, отработано моточасов, перевезено груза) и производится расчет нормативного расхода ГСМ.
Путевой лист с заполненным разделом «Работа машины», подписанный старшим машины, проверяется и подписывается заместителем командира подразделения по технической части (старшим техником, командиром подразделения), после чего данные о работе машины и расходе горючего записываются в книгу учета работы машин, расхода горючего и масел. Отработанные путевые листы сдаются в техническую часть, где хранятся совместно с корешками. Испорченные бланки путевых листов погашаются, прилагаются к их корешкам и хранятся наравне с оформленными путевыми листами.
Для проверки правильности составления, оформления, обработки и хранения путевых листов за истекший квартал, а также для уничтожения путевых листов и их корешков за квартал, предшествовавший истекшему, командиром воинской части назначается комиссия с участием в ней начальника финансовой службы. По результатам проверки комиссия составляет акт, в котором указываются:
период, за который проверены путевые листы, их количество и номера; правильность начисления норм расхода, экономии (перерасхода) горючего, а также правильность записей о выполненной работе и соответствие их данным книги учета работы машин и расхода ГСМ; наличие подписей лиц, пользовавшихся машиной;
период, за который уничтожены путевые листы, их количество и номера;
соответствие записей в формулярах (паспортах) машин о расходе моторесурсов итоговым данным в книге учета работы машин, расхода ГСМ.
Результаты проверки объявляются в приказе командира воинской части. Путевые листы, неправильно и не полностью оформленные, имеющие подчистки и отметки о происшествиях, а также путевые листы машин, на которых совершены злоупотребления, не уничтожаются, а прилагаются к акту и хранятся вместе с ним.
Рабочий лист агрегата является первичным документом учета работы и расхода ГСМ для несамоходных машин, имеющих в качестве силовой установки двигатель внутреннего сгорания или электродвигатель. Он выписывается в технической части на период не более 1 месяц и ведется в подразделении. Порядок получения рабочих листов аналогичен получению путевых листов. На оборотной стороне рабочего листа моторист ежедневно записывает время (часы, минуты), отработанное двигателем агрегата. По истечении периода, на который выписан рабочий лист, подводятся итоги работы агрегата (станции) и расхода материалов. Итоговые данные по работе агрегата (станции) и расход ГСМ удостоверяются подписью командира (старшего техника) подразделения и заносятся в книгу учета работы машин, расхода ГСМ. Оформленные рабочие листы передаются в техническую часть, где хранятся в течение 6 мес. Проверяются они, как и путевые листы, комиссией части и уничтожаются по акту.
Учет работы прицепных и навесных средств инженерного вооружения (СИВ), работающих в сцепе с танком, тягачом, автомобилем и не имеющих двигателей (минные тралы, БТУ, прицепные минные заградители), ведется по путевому листу самоходной машины.
Книга учета работы машин, расхода ГСМ ведется в подразделении. В ней учитывается работа как самоходных, так и несамоходных машин.
Для каждой эксплуатируемой машины (агрегата, станции) открывается лицевой счет, в котором на основании оформленных путевых (рабочих)
листов производится запись о выполненной ею работе и об израсходованном горючем и масле.
Итоговые данные за месяц по каждой машине (количество пройденных километров, отработанных моточасов, произведенных выкладок) заносятся в формуляр (паспорт) машины в раздел «Сводный учет работы».
Формуляр (паспорт) машины является основным документом, удостоверяющим принадлежность машины воинской части, отражающим учет технического состояния, комплектности и наработки машины. Он является документом строгой отчетности и должен быть сохранен на весь срок службы машины до списания. Только при наличии формуляра маш
(А) - последовательный колебательный контур, (Б) - параллельный колебательный контур.
Последовательный колебательный контур
Если соединить последовательно электрический конденсатор и катушку индуктивности, то для синусоидального сигнала определенной частоты указанная схема будет демонстрировать нулевое реактивное сопротивление. Этот эффект называется резонансом колебательного контура, сама схема из конденсатора и индуктивности - последовательным колебательным контуром, а частота, на которой проявляется этот эффект - частотой резонанса.
Хотя и катушка индуктивности, и конденсатор имеют некоторое реактивное сопротивление, вместе они реактивного сопротивления не проявляют. Причина проста. Конденсатор и катушка накапливают и отдают энергию, но делают это по-разному. В тот момент, когда катушка накапливает энергию, конденсатор ее отдает, и наоборот. Конечно, этот эффект проявляется только для синусоидального сигнала, на определенной частоте, в установившемся режиме. Если частота сильно отличается от резонансной, то схема теряет свои чудесные качества и проявляет себя, как катушка и конденсатор. Если последовательный колебательный контур не был запитан, а теперь на него подали синусоидальный сигнал резонансной частоты, то сопротивление будет уменьшаться постепенно, по мере перехода контура в стационарный режим работы.
Если пропускать через последовательный колебательный контур синусоидальный электрический ток резонансной частоты, то падение напряжения на контуре будет равно нулю. Но падение напряжения на конденсаторе отдельно, индуктивности отдельно будет иметь место. Просто эти напряжения компенсируют друг друга в каждый момент времени. Напряжения на конденсаторе и катушке могут быть очень значительными. Одной из популярных ошибок при проектировании последовательного колебательного контура является неправильная оценка напряжения на конденсаторе. Напряжение может в разы, десятки, сотни раз превышать напряжение источника питания. На основе этого эффекта даже разработаны схемы повышающих преобразователей напряжения.
[Амплитудное значение напряжения на конденсаторе, В] = [Амплитудное значение силы тока через контур, А] * [ZC], где [ZC] = 1 / (2 * ПИ * [Частота сигнала, Гц] * [Емкость конденсатора, Ф])
Необходимо также обратить внимание, чтобы ток через последовательный контур не приводил к насыщению сердечника катушки индуктивности.
В схемотехнике последовательный колебательный контур применяется, если необходимо пропустить сигнал определенной частоты и отфильтровать все другие. Колебательные контуры бывают небольшие, рассчитанные на работу с небольшими токами и напряжениями, например, во входных и внутренних цепях радиоприемника. Но бывают и силовые, рассчитанные на большие токи и напряжения, например, в радиопередатчиках, силовых резонансных фильтрах и т. д.
Параллельный колебательный контур
Другой интересной резонансной схемой является параллельный колебательный контур. В нем конденсатор и катушка индуктивности соединены параллельно. Если снабдить такой контур энергией, например, зарядив конденсатор, или вызвав ток в катушке индуктивности, то далее энергия будет перетекать из конденсатора в катушку и обратно. На конденсаторе будет формироваться синусоидальное напряжение. Его частота называется частотой резонанса параллельного колебательного контура. Если бы не было потерь, то колебания продолжались бы бесконечно, но из-за потерь колебания постепенно затухают.
Что произойдет, если к параллельному колебательному контуру приложить переменное напряжение резонансной частоты. Сначала будут переходные процессы, но потом колебания установятся, и будет складываться такая ситуация. Напряжение на контуре, возникающее за счет собственных колебаний будет равно напряжению, подводимому извне, так что ток через цепь подачи переменного напряжения протекать не будет. Так что можно считать, что на этой частоте параллельный колебательный контур имеет бесконечное сопротивление. Сказанное верно для идеального случая, когда потери отсутствуют. Если учесть потери, то некоторый ток от источника синусоидального сигнала будет проходить и компенсировать эти потери, но все равно реактивное сопротивление параллельного колебательного контура на резонансной частоте будет высоким.
То, что через внешние цепи на данной частоте ток практически не протекает, не должно вводить в заблуждение инженера - электронщика. В катушке индуктивности течет электрический ток значительной силы. Этот ток сначала разряжает конденсатор, потом заряжает его, не вытекая во внешние цепи. Катушка индуктивности должна быть спроектирована так, чтобы не входить в насыщение и выдерживать указанный ток, конденсатор также должен быть рассчитан на этот ток.
[
Амплитудное значение тока в контуре, А] = [Амплитудное значение напряжения на контуре, В] / [ZL], где [ZL] = 2 * ПИ * [Частота сигнала, Гц] * [Индуктивность катушки, Гн]
Параллельный колебательный контур применяется, если необходимо воспрепятствовать прохождению сигнала определенной частоты, пропуская другие сигналы, например, убрать помеху на определенной частоте (фильтр - пробка) или наоборот, заземлить все сигналы, кроме нужного, данной частоты. С помощью таких контуров радиоприемники выделяют нужную радиостанцию из бесчисленного множества других и эфирных помех.
Резонансная частота
Резонансные частоты последовательного и параллельного колебательных контуров, если в них использованы одинаковые катушка и конденсатор, равны между собой. Резонанс достигается на той частоте, на которой модуль реактивного сопротивления катушки индуктивности равен модулю реактивного сопротивления конденсатора.
[Резонансная частота контура, Гц] = 1 / (2 * ПИ * корень_квадратный(
[Емкость конденсатора, Ф] *
[Индуктивность катушки, Гн]))
Применение колебательных контуров
Хорошим примером применения силовых последовательного и параллельного колебательных контуров является силовой резонансный фильтр для получения синусоидального напряжения
Еще интересные схемы:
(А), (Б), (В) - фильтры сигнала заданной частоты,
(Г) - фильтр-пробка,
(Д) - входная цепь радиоприемника,
(Е) - стабилизатор переменного напряжения. Катушка L2 специально сделана насыщающейся при некотором нужном переменном напряжении на ней, что обеспечивает поддержание этого выходного напряжения по форме близкого к синусоиде.
Явление резонанса
Явление резонанса относится к наиболее важным с практической точки зрения свойствам электрических цепей. Оно заключается в том, что электрическая цепь, имеющая реактивные элементы обладает чисто резистивным сопротивлением.
Общее условие резонанса для любого двухполюсника можно сформулировать в виде Im[ Z ]=0 или Im[ Y ]=0, где Z и Y комплексное сопротивление и проводимость двухполюсника. Следовательно, режим резонанса полностью определяется параметрами электрической цепи и не зависит от внешнего воздействия на нее со стороны источников электрической энергии.
Для определения условий возникновения режима резонанса в электрической цепи нужно:
Последовательный резонансный контур представлен на рис. 1 а). Комплексное сопротивление цепи равно
.
.
.
Индуктивное и емкостное сопротивления изменяются в зависимости от частоты так, как показано на рис. 2. При частоте стремящейся к нулю xC ® µ, xL ® 0, и j ® - 90° (рис. 1 б)). При бесконечном увеличении частоты - xL ® µ, xC ® 0, а j ® 90°. Равенство сопротивлений xL и xC наступает в режиме резонанса при частоте w0.
.
,
,
- величина, имеющая размерность сопротивления и называемая волновым или характеристическим сопротивлением контура.
,
.
Из выражений (7) и (8) следует, что характер изменения всех величин при изменении частоты зависит только от добротности контура. Графическое представление их при Q =2 приведено на рис. 3 в логарифмическом (а) и линейном (б) масштабах оси абсцисс.
, (9)
(10)
На рис. 5 представлены кривые рис. 4 в относительных единицах. Здесь видно, что увеличение добротности влияет на скорость изменения тока при изменении частоты.
, равна затуханию контура D =1/ Q =v 2- v 1.
.
Как и следовало ожидать, значение j определяется добротностью контура. Графически эта зависимость для двух значений добротности показана на рис. 6.
.
.

, равна затуханию контура D =1/ Q =v 2- v 1.
Режим резонанса можно создать также при параллельном соединении R, L и C (рис. 8а)). Такая цепь называется параллельным резонансным контуром. В этом случае условие резонанса удобнее сформулировать для мнимой части комплексной проводимости в виде
.
.
,
- волновая или характеристическая проводимость контура. Как следует из выражений (17), при резонансе токи в реактивных элементах одинаковы, а входной ток равен току в резисторе R. Отношение Q =g/G называется добротностью, а величина обратная D =1/ Q - затуханием параллельного резонансного контура. Таким образом, добротность равна отношению токов в реактивных элементах контура к току на входе или в резисторе. В электрических цепях добротность может достигать значений в несколько десятков единиц и во столько же раз токи в индуктивности и емкости будут превышать входной ток. Поэтому резонанс в параллельном контуре называется резонансом токов.
.
.


.
.


,
,
- резонансная частота в простейшем параллельном контуре (рис. 8 а)), а 
. Таким образом, при любой частоте векторы токов I 1 и I 2 образуют прямоугольник, вершины которого расположены на окружности, а диагональю является вектор U /R. Отсюда следует, что при всех частотах входной ток одинаков, совпадает по направлению с напряжением и полное сопротивление цепи чисто резистивное и равно r





