План.
Лекція №12.
Тема: Синтез перетворювачів кодів, суматорів.
1. Синтез перетворювачів кодів.
2. Синтез суматорів.
Перетворювачі кодів. Перетворення одного коду в іншій можна здійснювати послідовним з'єднанням дешифратора й шифратора. У цьому випадку m-елементна кодова комбінація перетвориться дешифратором у сигнал логічної 1 на відповідному виході, а шифратор із цього сигналу формує необхідну л-елементну комбінацію.

Ще один метод побудови перетворювача кодів заснований на використань комбінаційного пристрою з багатьма виходами й входами. Розглянемо цей метод на прикладі перетворення двійкового коду в код Грея. У табл. 3.3 наведена відповідність комбінацій обох кодів.
Двійкове число в коді Гріючи записується по наступному принципі. Якщо в старшому сусідньому стосовно даного розряді двійкового числа стоїть 0, у даному розряді коду Гріючи зберігається цифра, записана у двійковому коді, якщо ж 1, цифра міняється на зворотну. Кожна з вихідних змінних %, z2, z3 є функцією вхідних змінних х1год х2, х3
|
|
|
Для одержання логічних виражень вихідні змінні z2 і 2а представимо таблицями істинності у формі карт Карно (мал. 3.14, а). З табл. 3.3 треба, що 2X=%. Після мінімізації одержимо:
По отриманих вираженнях будуємо схему (рис, 3.14,6)
Суматори. Однорозрядний суматор (мал. 3.15) має три входи для подачі цифр розрядів що складаються a і bt
переносу piy На його виходах формуються сума st і перенос призначений для передачі в наступний розряд. У табл. 3.4 показане функціонування однорозрядного суматора.


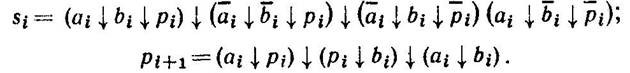
На підставі карт Карно запишемо логічні вираження для вихідних величин у різних базисах. Для базису Й-НЕ знаходимо МДНФ
скрізь замість елементів И и АБО ставимо елемент І-НЕ:
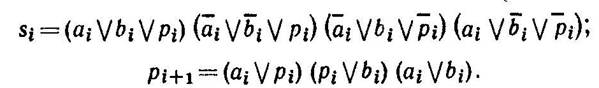
Для базису АБО-НІ знаходимо МКНФ:
Усюди замість елементів І чи АБО ставимо елемент АБО-НІ:
■

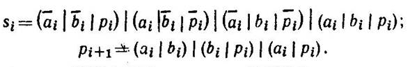
Для базису І-АБО-НІ становимо логічні вираження інверсних значень вихідних змінних, групуючи
нулі в картах Карно

Пряме значення вихідної змінної може бути сфор-
моване з використанням одного елемента І-АБО-НІ, що
має чотири тривходові схеми І. Для формуван-
ня значення рі-1 необхідні елемент І-АБО-НІ з трьома
двовхідними схемами І
| Основна |
| 1. | Сапожников В.В. и др. Теория дискретных устройств железнодорожной автоматики и телемеханики. М.: 2001. |
| 2. | Сапожников В.В. и др. Дискретные устройства железнодорожной автоматики, телемеханики и связи. -М.: Транспорт, 1988.-256с. Обесп. 1/3. |
| Додаткова | |
| 2. | Голсуорт В.В. Проектирование цифровых логических устройств.-М.:Машиностроение, 1985.- 226 с. Обесп. 1 екз. |
| 3. | Дискретные устройства автоматизированных систем управления /Под ред. Г.Н.Тимонькина.-Харьков, 1990.-511 с. Обесп.1 екз. |
| 4. | Методичні вказівки Обесп.1/1 |
|
|
|






