Література для допитливих
Бизам Д., Герцег Я. Игра и логика. — М., 1975.
Гарднер М. А. Математические досуги. — М., 1972.
Гарднер М. А. А ну-ка догадайся! — М., 1984.
Гарднер М. А. Математические чудеса и тайны. — М., 1986.
Игнатьев Е. И. В царстве смекалки. — М., 1982.
Ковальский Р. Логика и решение проблем. — М.: Наука, 1990.
Кэррол Л. История с узелками. — М.: Мир, 1983.
Кэррол Л. Логическая игра. — М.: Наука, 1991.
Льюс Р. Д., Райфа Х. Игры и решения. — М.: ИЛ, 1961.
Смаллиан Р. Как же называется эта книга? — М.: Мир, 1985.
Соболевский Р. Ф. Логические и математические игры. — М., 1977.
На оцтову кислоту виконують цілеспрямований аналіз, летальні дози 200 мл оцту, 10-20 г оцтової есенції.
Токсична дія оцтової кислоти - опік стравоходу, уремія, гемолітична анемія.
Метаболізм:

Особливості ізолювання:
Аналіз спрямований, тому біологічний матеріал підкислюють розчином
Н 2 SО4 або Н3 РО4.
Оцтова кислота летка і її збирають у 0,1н NаОН.
Аналіз на оцтову кислоту починають з реакції з хлоридом окісного заліза, неспецифічної, чутливої, попередньої.
|
|
|
|
Реакція утворення складного ефіру, відчувається запах оцтово-етилового ефіру, реакція підтверджуюча, специфічна.

Реакція утворення індіго, підтверджуюча, неспецифічна.

Ацетон при взаємодії з о-нітробензальдегідом в лужному середовищі утворить індіго, що має синє забарвлення.


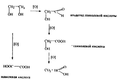
Етиленгліколь
Двохатомний спирт, безбарвна масляниста рідина, змішується з водою у всіх співвідношеннях.

Етиленгліколь використовується в техніці як антифриз; у хімічній промисловості - як розчинник; для проведення органічного синтезу.
Поводження в організмі - шляхи надходження через рот; шкіру; тому що спирт мало леткий, то його надходження через органи дихання обмежене.
Метаболізм складний, який включає багатоетапне окислення:

Виведення етиленгліколю і його метаболітів - із сечею.
Токсичність етиленгліколю полягає в тому, що він є судинною та протиплазматичною отрутою, яка викликає дегенерацію судин і пошкодження нирок за рахунок відкладення в них оксалатів.
|
Особливість спрямованого ізолювання з біологічного матеріалу - використання бензолу як селективного переносника етиленгліколю при перегонці з водяною парою. Збирають дистилят об’ємом не менш 500 мл. Дистилят розділяється на 2 шари: верхній - бензол, нижній- етиленгліколь з водою.
Аналіз етиленгліколю починається з попередньої реакції окислення етиленгліколю до формальдегіду, яка чутлива, неспецифічна.

Формальдегід виявляють при проведенні реакції з фуксинсульфатною кислотою по появі бузкового забарвлення розчину.
Реакція із сульфатом купруму - підтверджуюча, неспецифічна Спостерігається синє забарвлення розчину.
|
|
|

Реакція окислювання етиленгліколю до щавлевої кислоти - підтверджуюча, специфічна Спостерігається утворення характерних за формою кристалів оксалату кальцію.


Тетраетилсвинець (ТЕС)
Тетраетилсвинець -(С2Н3)4РЬ - прозора безбарвна рідина, майже не розчиняється у воді, легко розчинна в бензині, ефірі, хлороформі, спирті, у жирах, маслах. Легко розкладається під впливом нагрівання, сонячних променів до неорганічних солей плюмбуму.
Використовується як антидетонатор.
Тетраетилсвинець дуже токсичний, надходить через рот, органи дихання, шкіру, поражає нервову систему, викликає головний біль, безсоння, розлад зору, судороги.
Особливість спрямованого ізолювання - після перегонки з водяною парою тетраетилсвинець збирають у приймач зі спиртовим розчином йоду.
(С2Н3)Рb + J2 →РbJ2 + 2С4Н10
Потім рідину випаровують до сухою залишку, який розчиняють в нітратній кислоті
РbJ2+ 2НNО3 → Рb (NO3)2 + 2HJ
Розчин знову випаровують і сухий залишок розчиняють у воді й аналізують на Рb2+ реакціями утворення дитизонату плюмбуму РbSО4, РbS, РbСгО4, РbJ2 .
При аналізі харчових продуктів, одягу, рослинної сировини тетраетилсвинець екстрагують органічними розчинниками.
КІЛЬКІСНИЙ АНАЛІЗ «ЛЕТКИХ» ОТРУТ
При виявленні летких отрут у дистиляті кількісне визначення більшості з них є обов'язковим при судово-хімічних дослідженнях, тому що деякі отрути надходять в організм, як лікарські речовини (хлороформ, хлоралгідрат), інші можуть бути ендогенного походження (етанол, ацетон, фенол, оцтова кислота, сліди синильної кислоти). При роботі з біологічними рідинами живих осіб при гострих інтоксикаціях потрібен контроль за всмоктуваністю і виведенням отрут з організму, що так само зв'язано з кількісним визначенням летких отрут в сечі і крові.
Для кількісного визначення летких отрут можуть бути використані вагові, об'ємні, фотоколориметричні методи і метод газо-рідинної хроматофафії.
Ваговим методом можна визначити синильну кислоту (ціаніди) по ціаніду аргентуму, фенол - по трибромфенолу, алкілгалогеніди - по хлориду аргентуму.
Об'ємними методами можна аналізувати синильну кислоту й алкілга логеніди (аргентометрично), фенол (броматометрично), формальдегід і ацетон (йодометрично), оцтову кислоту (нейтралізацією).
Фотоколориметрично визначають кількісно синильну кислоту по інтенсивності забарвлення поліметинового барвника, формальдегід і етилен гліколь (після переведення у формальдегід) з фуксинсірнистою кислотою, етанол з дихроматом калію в сульфатнокислому середовищі, алкілгалогеніди (хлороформ, хлоралгідрат, чотирихлористий карбон) за ступеню забарвлення продукту реакції Фудживара. Фотоколорметричний метод перевершує по чутливості вагові й об'ємні методи, але поступається методу газо-рідинної хроматографії.
В даний час для кількісного визначення алкілгалогенідів, етанолу та інших спиртів використовується і рекомендується тільки метод газо-рідинної хроматографії.
ОКРЕМІ МЕТОДИ ІЗОЛЮВАННЯ «ЛЕТКИХ» ОТРУТ
Для аналізу летких отрут в біологічних рідинах, в невеликих наважках гомогенізованих органів використовують окремі методи ізолювання:
• Сухоповітряний відгін.
• Парофазний метод.
Сухоповітряний відгін проводять в боксах, на дно яких поміщають аналізований об'єкт і ставлять тигель з поглинальним розчином Отрута випаровується, чому сприяє наявність висолювача, нагрівання і вловлюється поглиначем.
Парофазний метод використовується при лабораторному експрес-аналізі біорідин живих осіб і заснований на одержанні летких похідних, які легко переходять у парофазную фазу з наступним аналізом їх методом газо-рідинної хроматографії.
Тема: ГАЗО-РІДИННА ХРОМАТОГРАФІЯ ─
ВИСОКОЕФЕКТИВНИЙ МЕТОД ПОДІЛУ
|
|
|
І ВИЗНАЧЕННЯ ЛЕТКИХ ОТРУТ
План лекції №5
1. Зміст методу газо-рідинної хроматографії.
2. Основні вузли газового хроматографа
3. Якісний і кількісний аналіз летких отрут методом газо-рідинної хроматографії.
1. Зміст методу газо-рідинної хроматографії.
2.
Газова хроматографія - це метод поділу летких сполук між двома фазами рухомої і нерухомої.
Рухома фаза - газ-носій.
Нерухома - сорбент з великою поверхнею або рідина, нанесена у вигляді тонкої плівки на частинки сорбенту-носія.
Якщо нерухома фаза - сорбент, а рухома - газ, то метод - газо-абсорбційна хроматографія, а якщо нерухомою фазою є рідина, то метод - газо-рідинна хроматографія.
Переваги методу газо-рідинної хроматографії:
• висока чіткість розділення,
• можливість одночасно виконати виявлення отрути і визначити її вміст в суміші,
• робота з малим вмістом речовини, тобто. висока чутливість методу,
• висока швидкість аналізу - хвилини, секунди,
• повна автоматизація аналізу.
2. Основні вузли газового хроматографа.
Основні вузли рідинних-рідинної-газо-рідинного хроматографа (див. схему):
1. Балон з газом-носієм.