Структурно компьютерную сеть можно представить в виде множества рабочих станций и серверов, соединенных каналами связи. Разные виды топологий связей имеют свои преимущества и недостатки. Выбирать топологию сети следует так, чтобы она максимально соответствовала структуре организации и ее экономическим возможностям. Среди множества возможных конфигураций связей различают полно- и неполносвязные.

Рис. 1.1. Полносвязная топология
Полносвязная топология (рис.1.1.): каждый узел сети непосредственно связан со всеми остальными. Для объединения N узлов необходимо N * (N – 1) / 2 связей. Достоинства: высокая надежность за счет большого количества резервных связей – от каждого узла к любому другому существует 1 + (N – 2)2 путей. Такая топология может применяться на магистралях сетей с небольшим количеством соединяемых узлов (коммутаторов, маршрутизаторов). Недостатки: низкая экономическая эффективность из-за большого количества связей.
Все остальные топологии являются неполносвязными. Из них наиболее распространены следующие:

Рис. 1.2. Неполносвязная (ячеистая) топология
Ячеистая топология (рис.1.2.). Получается из полносвязной путем удаления из нее части дублирующихся связей. Достоинства: для наиболее важных частей сети обеспечивается надежность за счет резервирования связей. Недостатки: те же, что и у полносвязной топологии. Используется для соединения большого количества узлов (обычно – коммутирующих устройств).
Топология «общая шина». Компьютеры подключаются к общему коаксиальному кабелю по принципу «монтажное или» (рис.1.3.).

Рис. 1.3. Топология «общая шина»
Сигнал от каждого компьютера распространяется в обе стороны.
Достоинства: дешевизна, простота проводки и подключения компьютеров.
Недостатки: низкая надежность – при нарушении целостности общего кабеля или одного из многочисленных разъемов вся сеть становится неработоспособной.
Топология «звезда» (рис.1.4.).

Рис. 1.4. Топология «звезда»
Сервера и рабочие станции подключаются к общему коммутирующему устройству (К). Информация может передаваться двумя способами: всем рабочим станциям (если коммутирующее устройство – концентратор Ethernet), конкретной рабочей станции, которой эта информация предназначена (если коммутирующее устройство – коммутатор или маршрутизатор).
Кроме того, коммутирующее устройство может обрабатывать передаваемые данные, например, фильтровать их.
Достоинства: надежность сети. При выходе из строя луча звезды коммутирующее устройство может отключить неработающую станцию, а вся остальная сеть останется работоспособной.
Недостатки: за счет использования индивидуальных связей расходуется больше кабеля, чем в топологии «общей шины», кроме того, необходимо коммутирующее устройство, поэтому стоимость сети возрастает.
Топология «кольцо» (рис.1.5.).

Рис. 1.5. Топология «кольцо»
Данные передаются от одного компьютера другому (с помощью их сетевых адаптеров) по кольцу, пока не достигнут станции-адресата. Станция-адресат копирует пакет данных в свой буфер, ставит на нем пометку о корректном приеме, и отправляет дальше по кольцу. Когда пакет сделает полный оборот по кольцу, он вернется к станции-отправителю, которая прочтет информацию, добавленную в пакет получателем, и уничтожит пакет.
Достоинства: Наличие обратной связи удобно для организации тестирования связности сети и поиска некорректно работающих узлов.
Недостатки: выход из строя любой станции или повреждение кабеля выводят из строя всю сеть. При обычном выключении РС пассивный переключатель ее сетевого адаптера замыкается, сохраняя целостность кольца.
Для повышения надежности используется топология «двойное кольцо». Она образуется при введении в топологию обычного кольца резервного кабеля и устройств реконфигурации сети, представляющих собой пассивные переключатели.

Рис. 1.6. Топология «двойное кольцо» – исключение участка кабеля
В случае неисправности участка кабеля или рабочей станции переключатели соседних РС замыкаются, кольцо разворачивается, исключая поврежденный участок кабеля или станцию (рис.1.6. и рис.1.7.).

Рис. 1.7. Топология «двойное кольцо» – исключение неисправной станции
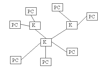
Топология «древовидная структура»( рис.1.8.).
Образуется соединением между собой нескольких звездообразных топологий.

Рис. 1.8. Топология «древовидная структура»
К – коммутирующее устройство.
В настоящее время такая структура является наиболее распространенной как в локальных, так и в глобальных сетях, так как при выходе из строя отдельной ветви «дерева» остальная часть сети остается работоспособной в большей мере, чем в других топологиях.
Достоинства: большая надежность, соответствие реальной структуре информационных потоков.
Четыре рассмотренные топологии являются базовыми, на их основе строятся реальные сети – как объединение тех базовых технологических решений, которым в наибольшей степени соответствует структура конкретной организации. Получаемые в результате топологии называют смешанными.