Движение некоторых тел сопровождается изменением их массы, например масса ракеты уменьшается вследствие истечения газов, образующихся при сгорании топлива, и т. п.
Выведем уравнение движения тела переменной массы на примере движения ракеты. Если в момент времени t масса ракеты m, а ее скорость v, то по истечении времени dtее масса уменьшится на dm и станет равной т—dm, а скорость станет равной v+dv. Изменение импульса системы за отрезок времени dt

где u — скорость истечения газов относительно ракеты. Тогда

(учли, что dmdv — малый высшего порядка малости по сравнению с остальными). Если на систему действуют внешние силы, то dp=Fdt, поэтому

или
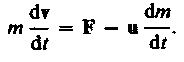
(10.1)
Второе слагаемое в правой части (10.1) называют реактивной силой Fp. Если он противоположен v по направлению, то ракета ускоряется, а если совпадает с v, то тормозится.
Таким образом, мы получили уравнение движения тела переменной массы
(10.2)
которое впервые было выведено И. В. Мещерским (1859—1935).
Идея применения реактивной силы для создания летательных аппаратов высказывалась в 1881 г. Н. И. Кибальчичем (1854—1881). К. Э. Циолковский (1857—1935) в 1903 г. опубликовал статью, где предложил теорию движения ракеты и основы теории жидкостного реактивного двигателя. Поэтому его считают основателем отечественной космонавтики.
Применим уравнение (10.1) к движению ракеты, на которую не действуют никакие внешние силы. Полагая F=0 и считая, что скорость выбрасываемых газов относительно ракеты постоянна (ракета движется прямолинейно), получим

Значение постоянной интегрирования С определим из начальных условий. Если в начальный момент времени скорость ракеты равна нулю, а ее стартовая масса то, то С = u ln m0. Следовательно,
(10.3)
Это соотношение называется формулой Циолковского. Она показывает, что: 1) чем больше конечная масса ракеты т, тем больше должна быть стартовая масса ракеты m0; 2) чем больше скорость истечения и газов, тем больше может быть конечная масса при данной стартовой массе ракеты.
Выражения (10.2) и (10.3) получены для нерелятивистских движений, т. е. для случаев, когда скорости v и u малы по сравнению со скоростью с распространения света в вакууме.

Задачи
2.1. По наклонной плоскости с углом наклона а к горизонту, равным 30°, скользит тело. Определить скорость тела в конце третьей секунды от начала скольжения, если коэффициент трения 0,15. [10,9 м/с]
2.2. Самолет описывает петлю Нестерова радиусом 80 м. Какова должна быть наименьшая скорость самолета, чтобы летчик не оторвался от сиденья в верхней части петли? [28 м/с]
2.3. Блок укреплен на вершине двух наклонных плоскостей, составляющих с горизонтом углы a = 30° и a = 45°. Гири равной массы (m1 = m2 =2 кг) соединены нитью, перекинутой через блок. Считая нить и блок невесомыми, принимая коэффициенты трения гирь о наклонные плоскости равными f1 = f2 =f = 0,1 и пренебрегая трением в блоке, определить. 1) ускорение,
с которым движутся гири, 2) силу натяжения нити. [1) 0,24 м/с2; 2) 12 Н]
2.4. На железнодорожной платформе установлена безоткатная пушка, из которой производится выстрел вдоль полотна под углом a=45° к горизонту. Масса платформы с пушкой Л/=20 т, масса снаряда т=10 кг, коэффициент трения между колесами платформы и рельсами f = 0,002. Определить скорость снаряда, если после выстрела платформа откатилась на расстояние s=3 м. [
м/с]
2.5. На катере массой т=5 т находится водомет, выбрасывающий m =25 кг/с воды со скоростью u = 7 м/с относительно катера назад. Пренебрегая сопротивлением движению катера, определить: 1) скорость катера через 3 мин после начала движения, 2) предельно возможную скорость катера. [1)
=4,15 м/с; 2) 7 м/с]