Гидравлическое сопротивление неподвижного слоя ДМ. Формула Эргана

В целях упрощения анализа рассматривают прежде всего так называемый «идеальный слой», состоящий из шарообразных частиц одного диаметра. Высота такого слоя . Порозность такого слоя . Слой лежит на опорно – распределительной решетке в аппарате постоянного по высоте поперечного сечения . Однако и такой упрощенный слой является весьма трудным для анализа в связи со сложной конфигурацией каналов слоя. Поэтому переходят от идеального слоя к такому модельному «фиктивному» слою, гидравлическое сопротивление которого будет равно гидравлическому сопротивлению идеального слоя. Фиктивный слой представляет собой твердое тело с прямыми каналами в нем. Длина канала фиктивного слоя равна длине канала идеального слоя. Поэтому высота фиктивного слоя больше . Диаметр каналов фиктивного слоя .

б
а
l
К расчету гидравлического сопротивления неподвижного слоя: а – идеальный слой; б – фиктивный слой.


Для того чтобы гидравлическое сопротивление фиктивного слоя было бы равно гидравлическому сопротивлению идеального слоя необходимо учесть следующие ограничения, сформулированные на основании формулы путевых потерь (Дарси – Вейсбаха) . Элементы этого уравнения для идеального и фиктивного слоев должны совпадать: длины каналов; свободных объемов; диаметры каналов: поверхности трения.

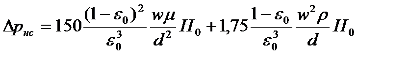
С учетом вышеперечисленного на основании уравнения Дарси – Вейсбаха была получена формула Эргана для определения гидравлического сопротивления неподвижного слоя (НС) д.м. в виде

, где - динамическая вязкость газа или жидкости; - плотность газа или жидкости.

Первое слагаемое правой части уравнения есть ламинарная составляющая сопротивления, так как отражает влияние сил вязкости и является определяющим при . Второе слагаемое есть турбулентная составляющая сопротивления, так как отражает влияние сил инерции и является определяющим при . При значениях Рейнольдса в пределах от 1 до 1000 имеет место переходный режим движения, когда влияние сил инерции и вязкости сопоставимы.





Подборка статей по вашей теме: