Если схема четырехполюсника неизвестна, то его параметры можно определить экспериментальным путем, используя режимы холостого хода и короткого замыкания.

Рис. 5.9. Схема для экспериментального определения параметров четырехполюсника.
Определим А-параметры четырехполюсника.
Для этого на входе четырехполюсника подключим вольтметр (V), амперметр (А) и фазометр (φ), как показано на рис. 5.9.
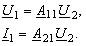
Переведем четырехполюсник в режим холостого хода по выходу (I2=0) и измерим с помощью приборов Iх.х.1, Uх.х.1 и φх.х.1.
В случае, когда I2 = 0 система А-параметров имеет вид:
(5.76)
Из (5.76) получим
. (5.77)
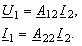
Переведем четырехполюсник в режим короткого замыкания по выходу (U2 = 0). Измерим Iк.з.1, Uк.з.1 и φк.з.1, тогда система А-параметров будет иметь вид:
(5.78)
Из (5.78) получим
. (5.79)
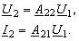
Подключим приборы к зажимам (2-2) и переведем четырехполюсник в режим холостого хода по входу (I1 = 0) и измерим Iх.х.2, Uх.х.2 и φх.х.2. Тогда имеем:
(5.80)
Из (5.80) получим
. (5.81)
Четвертое уравнение получим, используя соотношение:
. (82)
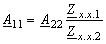
Решив систему уравнений (5.77), (5.79), (5.81) и (5.82), найдем А-параметры:
|
|
|
;
;
;
.






