- Напишите программу, которая выводит все числа первой сотни, оканчивающиеся на 5.
- Напишите программу, которая вводит число, а выводит таблицу умножения этого числа на все числа от 1 до 9.
- Напишите программу, которая выводит таблицу степеней с 0-й по 9-ю числа 2.
- Напишите программу, которая выводит таблицу значений квадратного корня на интервале [2;4] с шагом 0.1
- Напишите программу, вывода таблицы квадратов первых 10 целых положительных чисел.
- Напишите программу, вывода всех чисел, делящихся на 13 без остатка в интервале [1;100].
- Напишите программу, вычисления среднего арифметического 10-и введённых чисел.
- Напишите программу, которая 10 раз выводит Ваше имя и фамилию.
- Напишите программу, вычисления суммы первых
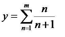
целых положительных чисел. Количество суммируемых чисел
водится в начале работы программы. - Напишите программу, которая вычисляет сумму первых
членов ряда
. Количество суммируемых членов ряда задаётся во время работы программы. - Напишите программу, которая выводит таблицу значений функции
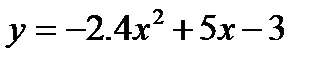
в диапазоне[-2;2] с шагом 0.5. - Напишите программу, которая выводит таблицу значений функции
в диапазоне[-4;4] с шагом 0.5. - Напишите программу, которая выводит таблицу значений функции
в диапазоне[-4;4] с шагом 0.5. - Напишите программу, которая выводит таблицу значений функции
в диапазоне[-4;4] с шагом 0.5. - Напишите программу, которая выводит таблицу стоимости яблок в диапазоне от 1 кг до 100 г с шагом 100 г. Стоимость 1 кг яблок вводится во время работы программы.
- Напишите программу, подсчёта суммы и среднего арифметического всех целых положительных чисел из заданного диапазона. Диапазон задаётся во время работы программы.
- Напишите программу, вычисления факториала
по формуле
. Значение
вводится во время работы программы. - Напишите программу вычисления
. Ввод
осуществляется во время работы программы. - Напишите программу определения числа
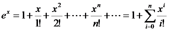
– основания натурального логарифма, с помощью ряда:
для всех значений
от 1 до
. Ввод
осуществляется во время работы программы. - Напишите программу вычисления
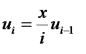
с заданной точностью
, а также общее число слагаемых
. Каждое очередное слагаемое вычисляется через предыдущее по следующей рекуррентной формуле:
, где
и т.д. Ввод
и
осуществляется во время работы программы. - Напишите программу, вычисления числа
с заданной точностью
при помощи следующего ряда:
, общий член которого вычисляется по формуле:
, где
– номер члена ряда. Подсчитать и вывести при этом также общее число просуммированных членов ряда. Ввод
осуществляется во время работы программы. - Напишите программу, определения варианта лабораторной работы по двум последним цифрам номера зачетной книжки. Вариант лабораторной работы вычисляется путем вычитания 30 из числа, образованного двумя последними цифрами номера зачетной книжки, до тех пор, пока оно больше 30. Две последние цифры номера зачётной книжки вводятся во время работы программы.
- Напишите программу извлечения квадратного корня
методом Ньютона с заданной точностью
по следующей рекуррентной формуле:
, где
и т.д. Ввод
и
осуществляется во время работы программы. - Напишите программу определения значения величины:
. Ввод
осуществляется во время работы программы. - Напишите программу определения значения величины:
. Ввод
осуществляется во время работы программы. - Напишите программу, которая последовательно вводит в переменную целого типа произвольные числа до тех пор, пока очередное введённое число не будет равно нулю, и определяет их сумму.
- Напишите программу, которая последовательно вводит в переменную целого типа произвольные числа до тех пор, пока очередное введённое число не будет равно нулю, и определяет их среднее арифметическое.
- Напишите программу, которая последовательно вводит
раз в переменную целого типа произвольные числа и определяет их среднее арифметическое. - Напишите программу печати таблицы перевода температуры по шкале Фаренгейта в температуру по шкале Цельсия в диапазоне от
до
с шагом
по формуле
, где
– температура по шкале Цельсия,
– температура по шкале Фаренгейта. Ввод
,
и
осуществляется во время работы программы. - Напишите программу печати таблицы перевода температуры по шкале Цельсия в температуру по шкале Фаренгейта в диапазоне от
до
с шагом
по формуле
, где
– температура по шкале Фаренгейта,
– температура по шкале Цельсия. Ввод
,
и
осуществляется во время работы программы.
Контрольные вопросы.
|
|
|
|
|
|
- Что такое циклы и для чего они предназначены?
- Какие типы циклов вы знаете?
- Что такое определитель цикла? В каких структурах он является числом?
- Чем отличаются циклы предусловия и постусловия?
- Запишите синтаксис всех циклов и охарактеризуйте его по такому плану: синтаксис; тип цикла; тип условия; характер определителя. Например:
| Цикл | Тип цикла | Тип условия | Определитель |
| Do Statements Loop Until condition | неопределенный | послеусловие | условие |






