Как уже отмечалось выше, наибольшая польза при изучении вопросов, затрагиваемых в данной главе, будет в том случае, если, наряду с проникновением в общую методологию моделирования и осознанием существа рассматриваемых задач, читатели реализуют несколько моделей в виде компьютерных программ достаточно профессионального уровня, т. е. не просто заглатывающих одни числа и выводящих на экран или принтер длинные столбцы других, но и реализующих некоторый интерфейс пользователя с элементами диалога, графики и т.д.
Именно поэтому мы не будем касаться здесь вопроса об использовании специализированных пакетов программ решения математических задач и графической поддержки. Во-первых, такие пакеты различны на разных ЭВМ, постоянно появляются новые, и за этим не угнаться никакому учебнику. Во-вторых (и это главное), самостоятельно запрограммированное осознанное решение системы дифференциальных уравнений методом Эйлера и сопровождающая его простенькая самостоятельно созданная на BASIC или PASCAL иллюстрация в виде графика или движущегося по экрану предмета дают тому, кто это сделал, куда больше, чем обращение к пакету MATHEMATICA с его могучими программами. От того, что задача будет решена, скажем, программой из этого пакета по методу Рунге - Кутта - Мерсона с автоматическим выбором шага интегрирования, реальных знаний почти не прибавится. Здесь мы упираемся в фундаментальные проблемы целей образования. Разумеется, овладение возможностями одного из пакетов математической поддержки (Eureka, MathCad, MathLab, Derive и др.) вполне желательно и может принести определенную пользу, но не заменить самостоятельно проделанной работы.
Далее остановимся лишь на отдельных вопросах программирования, наиболее существенных при разработке моделирующих программ, ограничиваясь лишь примерами и советами, призванными уточнить суть дела.
Организация диалога человек - ЭВМ в процессе проектирования и разработки моделирующих программ. Организация интерфейса пользователя при разработке профессиональных программ - работа не менее (а часто и более) сложная, чем реализация логической или расчетной части задачи. Многие, работая с табличными процессорами, текстовыми редакторами и другими широко распространенными программами, не склонны задумываться, сколько усилий потребовала от разработчиков организация экрана, на котором всегда есть нужная в данный момент информация, причем именно в том месте экрана, где ее легче найти, система подсказок и помощи, меню для смены режимов работ и т.д. Очень жесткие требования по оформлению диалога предъявляются к обучающим и контролирующим Программам, компьютерным дидактическим играм, многим другим классам программ. Именно по соответствию этим требованиям сегодня в первую очередь судят о профессионализме разработки.
Характерной чертой практически всех профессиональных моделирующих программ является их диалоговый характер. Диалоговые (иначе говоря, интерактивные) программы - большой шаг вперед в развитии процесса взаимодействия человека с компьютером. Обсудим коротко лишь некоторые черты подобной организации человеко-машинного интерфейса.
Диалог человека с машиной весьма далек от привычного человеческого диалога. Главная особенность - ограниченные возможности компьютера в форме восприятия и анализа смысла человеческих сообщений. Воспринимаемые компьютером в ходе диалога сообщения жестко ограниченны в своих конструкциях как синтаксически, так и семантически. Синтаксически -т. е. сообщения воспринимаются лишь в предусмотренной автором программы форме. Например, оговорено, что сообщение содержит 5 букв кириллицы - любое другое система признает неверным и отвергнет. Однако, она в этом случае сочтет верным любой текст из 5 букв кириллицы, даже совершенно бессмысленный; такой текст будет отвергнут на уровне семантического анализа, в котором исследуется, приписалли автор программы этому тексту какой-либо смысл.
Слово «семантика» означает смысловую сторону сообщения. В распознании смысла сообщений компьютерные программы пока преуспели гораздо меньше, чем в синтаксическом анализе, и могут несравненно меньше, чем человек. Работы в этом направлении - одно из самых перспективных направлений развития информатики. Подавляющее число программ, реализованных на компьютерах с первого по четвертое поколения, могут распознавать «верно - неверно» лишь по сравнению с эталонными ответами, котооые либо заранее заложены в эти программы, либо выражены в числовой форме и рассчитываются программами.
Обсудим технические вопросы ведения диалога с компьютером. В моделирующих программах, в основном, используются следующие типы элементов диалога:
• меню;
• вопросы, требующие ответа «да/нет»;
• ответы по шаблону;
• команды.
Меню - на экране нумерованное или помеченное иным способом (например, выделением заглавных букв первых слов) множество функций системы, реализация которых возможна в настоящий момент, рис. 7. 3. Пользователь выбирает нужную функцию и тем самым начинает диалог.

Рис. 7. 3, а. Пример кадра меню
Программа 146. Фрагмент программы, реализующей меню с рис. 7. 3,а.
Program St; Uses Crt;
Var M: Byte; Logic: Boolean;
(Про\"(о}е\"(a)ypa печати меню и выбора соответствующего пункта)
Procedure Menu (Var M: Byte);
Begin Repeat (Выбор пункта меню с верифика\"(о}ией вво\"(а)а}
CIrScr; GotoXY (15, 7);
Write('\"(А}ИНАМИКА ПОПУЛ\ss\"{0}ИЙ С НЕПРЕРЫВНЫМ РАЗМНОЖЕНИЕМ')•;
GotoXY(22, 10); Write('1. Внутриви\"{а}овая конкурен\"(о}ия. ');
GotoXY(22, 12); Write('2. Межви\"{а}овая конкурен\"(о}ия. ');
GotoXY(22, 14); Write('3. Система хищник-жертва. ');
GotoXY(22, 16); Write('4. Коне\"{о} работы. ');
GotoXY(15, 22); Write('ВЫБЕРИТЕ НОМЕР НУЖНОГО ПУНКТА МЕНЮ ');
Read(M)
Until M In [1.. 4]
End;
Begin (OCHOBHA\ss ПРОГРАММА)
Logic:= False;
Repeat
Menu(M); (меню)
Case M Of
1: Begin (Внутриви\"{а}овая конкурен\"{о}ия} End;
2: Begin {Межви\"{а}овая конкурен\"{о}ия)
CIrScr; WriteLn('Пункт меню "Межви\"{а}овая конкурен\"{о}ия"');
Repeat Until KeyPressed
End;
3: Begin {Система хищник-жертва} End;
4: Logic:= True (Выхо\"{а} из программы)
End
Until Logic
End.
Программа может предусматривать и другие способы организация реакции пользователя: вводом букв В, M. С; еще удобнее - установкой курсора в нужную строку клавишами и (или) «мышью» (если она есть). Сути дела это не меняет.
Вопрос, требующий ответа «да/нет» - частный случай меню, который, однако, целесообразно выделить.

Рис. 7. 3, б. Выбор одного из возможных ответов
Ответы по шаблону даются чаще всего при ожидании числовой информации, когда хотят избежать длинных объяснений о формате числа, количестве значащих цифр.
Команда подается пользователем. В диалоговой моделирующей программе может быть строго фиксированный набор команд, краткий перечень которых сопровождает все или часть кадров в строке-подсказке; по этим командам пользователь может в любой момент прекратить работу или изменить ее характер. Например, в нижней части кадра, содержание которого сейчас неважно, написано:

Рис. 7. 3, в. Форматированный ввод данных

Рис. 7, 3, г. Выбор последующего режима работы
В основной части кадра-некий текст, предписывающий определенную реакцию. Но указанные внизу команды имеют приоритет, и при нажатии «М» мы попадем в основное меню независимо от того, что требовалось в верхней части кадра. При этом предусматривается возможность возврата в кадр, из которого вышли.
Разработка диалоговой моделирующей программы - достаточно сложный процесс, включающий создание сценария, программирование, разработка инструкций и документации. В нашем курсе невозможно требовать реализации всех этих элементов в каждой из выполняемых работ, поскольку тогда программистская работа отодвинет на второй план все остальное; можно лишь рекомендовать использовать элементы организации диалога. В отчетной (курсовой, дипломной) работе, напротив, уместна реализация весьма интересных диалоговых оболочек; в текущих же работах элементы разумной организации диалога, оформления экрана вполне уместны и не требуют чрезмерных усилий. Весь диалог при моделировании того уровня, который соответствует данному курсу, невелик по объему и несложен по логической организации. Согласитесь, что ситуация, когда программа требует ввода данных и извещает об этом лишь знаком «?» на совершенно пустом экране, вам, вероятно, знакома, как знакома и реакция сидящего за компьютером человека, который не понимает, что бы это значило (что особенно смешно, если он сам - автор этой программы). Так не стоит ли снабдить этот знак фразой «введите начальную скорость v0, звуковым сигналом, привлекающим внимание, и т.д.? Как быть с огромным количеством чисел, проносящихся по экрану в процессе решения дифференциальных уравнений и сметающих на своем пути всю нужную информацию? В отлаженной программе такого просто не должно быть.
Спроектируем возможное оформление диалога и формы представления результатов для одной из рассмотренных ниже задач по моделированию. Уместно начать с кадра-заставки, где написаны название задачи, фамилия автора программы - это минимум. Если удастся создать несложный рисунок, иллюстрирующий задачу - очень хорошо, он уместен в том же кадре. Затем, через несколько секунд, кадр сменяется следующим. На нем - основное уравнение (т.е. сама математическая модель) и предложение ввести исходные данные - с представлением шаблонов, или, если это затруднительно, то в свободной форме, но обязательно со словесным запросом значения каждого параметра по очереди. Более чем существенно разумно спроектировать формы для вывода результатов - таблицы, графики, траектории и т.д., их очередность, взаимное расположение.
Неплохо, если в процессе счета программа выводит на экран стационарную или мерцающую надпись типа «Подождите, идут расчеты». Когда счет закончен, на экране может появиться меню с предложениями: «Вывод таблицы результатов», «Вывод графика N(t)», «Запись параметров и результатов в файл», «Печать результатов», «Выполнение очередного расчета», «Окончание расчетов».
Разумеется, можно усовершенствовать это оформление, но каждый шаг здесь требует определенной программистской культуры и немалого труда.
Повсеместный переход на графические интерфейсные операционные системы уровня WINDOWS, появление сред визуального программирования типа DELPHI ведут к значительному повышению стандартизации пользовательского интерфейса. Если при разработке моделирующих программ читатели используют возможности таких сред, то могут получить вполне профессиональные программные продукты.
Отметим, наконец, что те несколько программ, которые приведены ниже при рассмотрении конкретных моделей, не претендуют на совершенный интерфейс. Их цель - пояснение существа рассматриваемых процессов; попытка же оформить их «по всем правилам» привела бы к большим, плохо читаемым программам, не выполняющим этой разъяснительной функции.
Компьютерная научная графика. С простейшей научной графикой мы встречаемся очень рано. Уже в курсе математики 6-7 классов есть достаточно абстрактные и условные рисунки, которые дети легко воспринимают - например, график линейной функции. А ведь на нем немало элементов, интерпретация которых, если задуматься, вовсе не очевидна: линии, штрихи, стрелки, масштабы и т.д. Несмотря на это, понять по графику свойства сложной функции человеку гораздо легче, чем из соответствующей формулы, хотя в ней информации, строго говоря, гораздо больше. Так уж устроено человеческое восприятие, что рисунки, пусть даже условные, гораздо легче воспринимаются рассудком, чем сложные формулы или колонки чисел.
В современной прикладной информатике этим обстоятельством очень широко пользуются, и в ней сформировалось соответствующее направление - машинная (компьютерная) графика. По определению, машинная графика - раздел информатики, в рамках которого исследуются и разрабатываются технические, математические, программные и методические средства и приемы использования ЭВМ для создания, обработки, хранения и практического применения графических изображений.
В машинной графике выделяют несколько разделов.
Иллюстративная графика, простейшими программными средствами которой являются всем знакомые диалоговые программы - графические редакторы, служит для создания изображений, за которыми, как правило, не стоят какие-либо математические объекты (уравнения и др.). Это - средство реализации свободного полета мысли и воображения, любимое занятие начинающих приобщаться к компьютеру.
Деловая графика существенно «скучнее». Когда администратору, бухгалтеру, экономисту и т.д. нужно перевести сухие колонки чисел в столбчатую диаграмму, круговую диаграмму, график, достаточно вызвать такую программу и в ходе диалога сообщить ей заголовки, подписи, разметки, цвета и т.д. и имя файла, в котором по определенным правилам записаны указанные числа. Система построит заданное изображение на экране, выведет его на принтер.
Одна из самых сложных и специализированных разновидностей систем машинной графики - инженерная графика, известная также под именем САПР - системы автоматизированного проектирования. Это диалоговые системы, предназначенные для автоматизации процесса проектирования технических объектов, создания полных комплектов проектных документов с учетом существующих норм стандартов.
И, наконец, научная графика - наиболее актуальная для изучаемого курса и наименее всех допускающая единое описание. Универсальных систем компьютерной научной графики, по-видимому, не существует из-за огромного разнообразия задач. Часто программы, реализующие наглядное изображение решения научной задачи (почти всегда по итогам математического моделирования), встраиваются внутрь основной программы, пишутся на том же самом языке программирования.
Общую цель научной графики можно сформулировать так: сделать невидимое и абстрактное «видимым». Берем последнее слово в кавычки, так как часто эта «видимость» весьма условна. Можно ли увидеть распределение температуры внутри неоднородно нагретого тела сложной формы без введения в него сотен микродатчиков, т.е., по существу, его разрушения? - Да, если есть соответствующая математическая модель, и, что очень важно - договоренность о восприятии определенных условностей на рисунке. Можно ли увидеть распределение металлических руд под землей без раскопок? Строение поверхности чужой планеты по результатам радиолокации? На эти и множество других вопросов ответ - да, можно, с помощью машинной графики и предшествующей ей математической обработки. Изображения такого рода систематически публикуются научными и научно-популярными изданиями.
Более того, можно «увидеть» и то, что строго говоря, вообще плохо соответствует слову «видеть». Так. возникшая на стыке химии и физики наука - квантовая химия - дает нам возможность «увидеть» строение молекулы. Эти изображения -верх абстракции и системы условностей, так как в атомном мире обычные наши понятия о частицах (ядрах, электронах и т.д.) принципиально не применимы. Однако, многоцветное «изображение» молекулы на экране компьютера для тех, кто понимает всю меру его условности, приносит большую пользу, чем тысячи чисел, являющихся плодом квантовохимического расчета.
При реализации относительно несложных задач нашего курса прибегать к помощи каких-либо стандартных пакетов машинной графики - дело вовсе необязательное. Конечно, можно себе представить, что итоговое оформление экрана в конце процесса моделирования выполнено с помощью графического редактора, а содержащийся в нем график - с помощью пакета деловой графики (или еще какого-то), но возникающую при этом проблему совмещения разных систем программирования не всегда легко решить. Целесообразнее, по-видимому, ориентироваться на тот язык программирования, на котором реализуется математическая модель.
Приведем несколько конкретных примеров, привязанных к нашему курсу.
Траектории движения тел, графики. В ряде рассмотренных ниже задач уместно иллюстрировать процесс моделирования изображениями движущихся объектов и их траекториями. Мы сознательно ограничивались случаями плоских (двумерных) движений, которые легко отобразить на плоском экране компьютера.
Поскольку основные графические операторы языка BASIC или процедуры модуля GRAPH Turbo Pascal нашим читателям известны, опишем лишь общие моменты построения графиков и траекторий. Напомним, что в главе 3 в разделе, посвященном PASCAL, приведена программа построения графика аналитически заданной функции на произвольном отрезке; здесь мы детализируем рассмотрение. Пусть численные расчеты уже закончены и нам известны границы значений координат [ x min, x max] и [ y min, y mах] и есть таблица значений х и у в некоторые моменты времени, разделенные равными промежутками: 0, t, 2 t, 3 t,..., пt. Требуется построить графики зависимости x(t), у(t) и траекторию. Проиллюстрируем это, используя графические процедуры PASCAL.
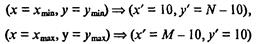
С помощью директивы Uses Graph и процедуры InitGraph (<параметры>) осуществляется переход в графический режим, в котором можно строить изображения. Необычная ориентация «экранной» системы координат создает определенные проблемы при построении графиков и траекторий. Мы хотим выводить их и задавать координаты точек в «естественной» системе координат x, y, изображенной на рис. 7.4, а графические процедуры (Circle, Line. OutText и др.) воспринимают аргументы в «экранной» системе x', у'. Сделаем разметку так,как показанонарисунке, и произведем линейное преобразование координат

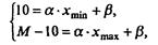
Если известны разрешающая способность экрана - М точек по оси х' и N точек по оси у', то для нахождения коэффициентов α, β, γ, δ достаточно связать любые две точки в разных системах координат, например

(отступ на 10 позиций от краев экрана позволит создавать подписи, разметку осей и
др.). Имеем

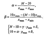
откуда

откуда

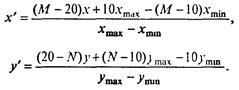
Таким образом, перевод одних координат в другие осуществляется по формулам


Рис. 7.4. Экранная и «естественная» системы координат
Теперь достаточно поставить точку с нужной координатой (x, у) с помощью процедуры PutPixel, а введя ее в цикл, изобразить график или траекторию. Если же требуется изобразить движение тела, то перед выводом на экран очередной точки достаточно стереть предыдущую или воспользоваться несколькими видеостраницами - соответствующие приемы программирования читателю, скорее всего, известны. Отметим, что создание на экране дисплея динамических зрительных изображений - так называемая анимация - одно из перспективных направлений искусственного интеллекта-раздела современной информатики.
Изолинии. В задачах моделирования достаточно стандартная проблема - построение линий (поверхностей), вдоль которых некоторая функция имеет одинаковое значение, называемых изолиниями (изоповерхностями). Это очень распространенная задача визуализации характеристик некоторого скалярного поля в приближении сплошной среды: изотермы - линии равной температуры, изобары - линии равного давления, изолинии функции тока жидкости или газа, по которым легко можно представить себе их потоки, изолинии численностей экологической популяции на местности, изолинии концентрации вредных примесей в окружающей среде и т.д.
Опишем типичную процедуру построения изолиний на экране компьютера. На старте мы имеем двумерную таблицу значений некоторой величины А, полученную в ходе математического моделирования; числа в этой таблице соответствуют значениям этой величины в узлах пространственной сетки (рис. 7.5).
Зададим некоторый, совершенно условный, пространственный шаг h между соседними узлами по горизонтали и вспомогательную систему координат, в которой узел (1, 1) имеет координату (0, 0), узел (1, 2) - координату (h, 0), узел (1, 3) - координату (2h, 0) и т.д. Если шаг по вертикали h *, то узел (i, j) в этой системе имеет координату ((i -1) ∙ h, (y -1) ∙ h *).
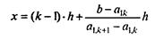
Предварительно найдем в таблице наибольшее и наименьшее значения величин аij - допустим, это a min и а mах. Пусть b - некоторое промежуточное значение: a min < b < a max. Обсудим в общих чертах, как построить изолинию A = b. Будем для этого (в цикле) просматривать вначале все пары ближайших чисел в первой строке таблицы в поисках такой пары, для которой b находится «внутри». Допустим, число b находится между a1k и a1,k+1, т.е. либо a1k < b < a1,k+1, либо a1k > b > a1,k+1.

Рис. 7.5. Пространственная сетка и соответствующая ей таблица значений величины А
С помощью линейной интерполяции найдем соответствующую горизонтальную координату точки, в которой А = b:

(координата у определяется номером горизонтальной линии; в данном случае у = 0).
Найденные координаты запомним и просмотрим первую строку в таблице до конца, затем просмотрим вторую строку и т.д. Покончив с просмотром строк, мы получим часть точек, соответствующих изолинии А = b.
После этого займемся просмотром столбцов. Допустим, во втором столбце нашлась пара чисел, для которой число b находится между аp2 и ap+1,2. Она дает следующую точку для изолинии. Закончив просмотр всех столбцов, мы получим максимально возможный набор координат точек, принадлежащих данной изолинии. Выведя их на экран в нужном масштабе, получим точечное изображение изолинии А = b, после чего можем, взяв другое значение b, построить следующую изолинию. Более детально эта процедура изложена ниже в пункте 3.8 на примере построения линий равного потенциала электрического поля.
Условные цвета, условное контрастирование. Еще один интересный прием современной научной графики - условная раскраска. Она находит широчайшее применение в самых разных приложениях науки и представляет собой набор приемов по максимально удобной, хотя и очень условной, визуализации результатов компьютерного моделирования.
Приведем примеры. В различных исследованиях температурных полейвстаетпроблема наглядного представления результатов. Самый простой (и, с точки зрения специалиста, весьма неэффективный) - привести карту (чертеж, план), в некоторых точках которой обозначены значения температуры.
Другой способ - набор изотерм - гораздо эффективнее; к нему прибегают некоторые газеты, давая состояние и прогноз погоды. Но можно добиться еще большей наглядности, учитывая, что большинству людей свойственно, сравнивая разные цвета, воспринимать красный как «горячий», голубой как «холодный», а все остальные - между ними. Допустим, что на некоторой территории температура в данный момент имеет в разных местах значения от -25°С до + 15°С. Разделим этот диапазон на участки с шагом, равным, например, 5°
[-25,-20], [-20,-15],...,[+10,+15],
и закрасим первый из них в ярко-голубой, последний - в ярко-красный, а все остальные - в промежуточные оттенки голубого и красного цветов. Получится замечательная наглядная картина температурного поля.
А что делать, если дисплей монохромный?! Или если изображение надо перенести с цветного дисплея на бумагу при отсутствии возможности цветной печати? -Тогда роль цвета может сыграть контраст. Сделаем самый «горячий» участок самым темным, самый «холодный» - прозрачным, а остальные - между ними. Эффектность, конечно, меньше, чем при цветовой раскраске, но для наметанного глаза изображение информативно.
То же самое можно делать при иллюстрации температурного поля и на поверхности обрабатываемой на станке детали, и на поверхности далекой планеты.
В нашем курсе есть несколько моделей, в которых можно (и очень полезно) прибегнуть к подобному приему визуализации. В задаче о теплопроводности в стержне это даже не очень сложно; можно делать такие условные раскраски при моделировании распределения электрических полей. Если заниматься имитационным моделированием конкурирующих популяций, то, раскрасив их в разные цвета, можно получить на экране причудливые картины, передающие ход конкурентной борьбы.
Условные раскраски бывают и гораздо более абстрактными, чем в описанных выше случаях. При моделировании сложных органических молекул компьютер может выдавать результаты в виде многоцветной картины, на которой атомы водорода изображены одним цветом, углерода - другим и т.д., причем атом представлен шариком (кружочком), в пределах которого плотность цвета меняется в соответствии с распределением электронной плотности.
При поиске полезных ископаемых методами аэрофотосъемки с самолетов или космических спутников компьютеры строят условные цветовые изображения распределений плотности под поверхностью Земли. Подобных примеров можно привести достаточно много.
Подведем итог: изображения в условных цветах и контрастах - мощнейший прием научной графики. Он позволяет понять строение не только плоских, но и объемных (трехмерных) объектов, дает в руки исследователя один из замечательных методов познания. Приведем в качестве иллюстрации фрагмент программы.
Программа 147. Условная раскраска неравномерно нагретого стержня в разные моменты времени (по заранее заготовленным данным).
Program Stergen;
Uses Crt, Graph
Type Mas2 = Array [0..10, 0..4] of Real;
Const (Массив распределения температуры в разные моменты времени)
U: Mas2 =
((3.000, 3.667, 4.333, 5.000, 3.000), (3.000, 3.628, 4.128, 3.952, 3.000), (3.000, 3.514, 3.783, 3.593, 3.000), (3.000, 3.377, 3.546, 3.396, 3.000), (3.000, 3.267, 3.381, 3.272, 3.000), (3.000, 3.187, 3.266, 3.188, 3.000), (3.000, 3.131, 3.185, 3.131, 3.000), (3.000, 3.091, 3.129, 3.091, 3.000),
(3.000, 3.064. 3.090, 3.064, 3.000), (3.000, 3.044, 3.063, 3.044, 3.000), (3.000, 3.031, 3.044, 3.031, 3.000));
Var
M, I, J, N1, Nt: Integer; MaxF, L, T, HI, Ht: Real;
Procedure Initialize; (Процедура инициализации графического режима)
Var GraphDriver, GraphMode: Integer;
Begin
DetectGraph(GraphDriver, GraphMode);
InitGraph(GraphDriver, GraphMode, '');
End;
(Графическая иллюстрация решения)
Procedure Postar.ovka (U: Mas2; Nt, N1: Integer; HI, L, MaxF: Real);
Var X_N, Shag, Y_N, Shir, Dlin, Color, I, J, K, Y: Integer;
Flag.: Boolean; Ff: String; Col: Array [0..15] Of Byte;
Begin
Initialize; (Инициализация графического режима)
X_N:= GetMaxX Div 6;
If Nt <= 6 Then M:= Nt Else M:= Nt Div 2;
Y_N:= GetMaxY Div M - 20; Shir:= Y_N Div 2;
Dlin:= GetMaxX -2 * X_N; Shag:= Trunc(Dlin / N1); Str(Shag,Ff);
Col[0]:= 0; Col[l]:= 8; Col[2]:= 1; (Палитра цветов)
Col[3]:= 9; Col[4]:= 3; Col[5]:= 11;
Col[6]:= 2; Col[7]:= 10; Col[8]:= 14;
Col[9]:= 13; Col[l0]:= 5; Col[ll]:= 12; Col [12]:= 4;
For I:== 0 To M - 1 Do (номер временного промежутка)
Begin
For J:= 0 To N1 - 1 Do (номер участка стержня)
Begin
Flag:= False;
For К:= 0 To Shag Do
Begin
For y:= 0 To Shir Do
Begin
Color:= 1 + Round((U[I, J] + (определение номера цвета)
(U[I, J + 1] - U[I, J]) * К / Shag - U[0, 0]) / 3 * 16);
If Random(64) > 32
Then If Random(64) > 32 Then Color:= Color + 1 Else
Color:= Color - 1;
If Not Flag Then (вывод текущей температуры)
Begin
Str((U[I,J]+(U(I,J+l]-U[I,J])*K/Shag): 5: 3, Ff);
OutTextXY(K+X_N+Shag*J, Y_N*(1+1)-19, Ff);
Flag:= True
End;
{рисование точки}
PutPixel(K+X_N+Shag*J, Y+Y_N*(1+I), Col[Color])
End
End
End
End;
SetColor(White); OutTextXY(150, 450, 'Нажмите любую клавишу ');
Repeat Until KeyPressed; CloseGraph
End;
Begin (ОСНОВНАЯ ПРОГРАММА)
L:= 4; Т:= 10; Hi:= 1; Ht:= 1;
N1:= Trunc(L / HI); Nt:= Trunc(T / Ht); MaxF:= 5;
Postanovka (U. Nt, N1, HI, L, MaxF)
End.






