Всякое мало-мальски сложное поведение человека опирается на его прошлый опыт, точнее — на хранимую каким-то образом информацию об уже прожитом, т. е. на память. Только благодаря памяти живой организм способен «заглядывать в будущее» — строить вероятностный прогноз и использовать его для организации действий.
Память, собственно, потому и нужна живому организму, что без информации о прошлом невозможно целесообразное поведение, подготовка к будущему. Но для этого мало обладать только емкой памятью, хранящей много сведений. Память не свалка сведений, уложенных в беспорядке или даже в хронологическом порядке поступления, а хорошо упорядоченный архив, организованный в соответствии с тем, для какой цели хранятся зти сведения, как ими придется пользоваться. Такая организация требует соблюдения определенных правил заполнения «архива» памяти, определенных правил хранения информации в памяти и определенных правил извлечения информации из памяти.
Как же должна быть организована память, чтобы она позволяла осуществлять вероятностное прогнозирование?
|
|
|
До сих пор наука не имеет достаточно убедительных материалов для суждения о физико-химической основе памяти, т. е. о тех сигналах, с помощью которых закодирована в мозге информация о прошлых событиях. Но это не лишает нас возможности исследовать логическую организацию памяти.
Рассмотрим такую логическую (концептуальную) модель памяти, которая позволяет понять, как из вероятностной организации прошлого опыта строится вероятностный прогноз будущего. При этом оставим в тени другие стороны памяти; в частности, наша модель не будет отражать реальной физико-химической организации памяти человека и животных.
Вообразим систему, живущую в вероятностно организованной среде, представляющей собою некоторую последовательность событий А, В, С..., следующих в случайном порядке с некоторыми заданными вероятностями. Модель памяти этой системы можно условно изобразить в виде каталожного шкафа с выдвижными ящиками.
Пока система не приобрела опыта, память ее пуста — это шкаф с пустыми каталожными ящиками. Обозначим буквой А первое событие (явление, сигнал), с которым встретилась система, и соответственно присвоим индекс А одному из ящиков модели. Тем самым в память записано, что событие А имело место в опыте системы. Пусть и в дальнейшем особый ящик с соответствующим индексом заводится для каждого впервые встретившегося события.
Если, например, после события А наступило событие В, то индекс В присваивается следующему (пустому) ящику. Кроме того, карточка В ставится в ящик А — фиксация в памяти того, что В произошло после А. И в дальнейшем карточка с записью каждого происшедшего события (в какой бы раз оно ни произошло) ставится в ящик того события, которое непосредственно предшествовало ему. При этом каждая новая карточка (т. е. карточка о самом последнем событии) помещается впереди ранее поставленных (рис. 9).
|
|
|
Сформированная таким образом память уже может обеспечить системе возможность вероятностного прогнозирования предстоящих событий и, следовательно, возможность преднастройки — подготовки к действиям, соответствующим прогнозируемым событиям.
В простейшем случае прогноз осуществляется следующим образом. После того как произошло некоторое событие (например, В), в соответствующем ему ящике (В) подсчитывается доля различных находящихся в нем карточек (А, В, С,...). Доля карточек А (по отношению ко всему числу карточек в ящике) характеризует вероятность, с которой прогнозируется наступление события А; доля карточек В — вероятностный прогноз наступления события В и т. д. Таким образом, для прогнозирования используется вся память, накопленная за всю «жизнь» системы. В частном случае, если непосредственно после события А всегда следовало только определенное событие (например, В), ящик А будет заполнен только карточками В. И тогда событие В будет прогнозироваться после А с вероятностью, равной единице, т. е. система будет «абсолютно уверена», что за событием А последует именно В.

Рис. 9. В памяти зафиксирована последовательность событий АВСВВАВАВ
Мы рассмотрели прогноз, основанный на использовании опыта, накопленного в памяти за всю «жизнь» системы (в нашей модели — на привлечении всех карточек данного ящика). Однако «память всей жизни» оказывается весьма ненадежной, если система живет в среде, вероятностные характеристики которой со временем изменяются. Чтобы сделать прогнозы хоть сколько-нибудь соответствующими изменившейся среде, система должна «прожить» в зтой среде отрезок времени, соизмеримый с уже прожитой ранее «жизнью», т. е. накопить достаточный новый опыт. Система оказывается «косной», плохо адаптирующейся к изменяющимся внешним условиям.
При этом чем «старше» система, т. е. чем больше ее старый опыт, тем труднее она приспосабливается к изменяющейся среде. Опыт, приобретенный за последнее время, занимает все меньшее место по сравнению с накопленным за долгое время старым опытом.
Чтобы устранить этот дефект, можно попытаться осуществить вероятностное прогнозирование, опираясь не на «память всей жизни», а лишь на опыт последнего периода.
Если произошло событие А, то модель просматривает первые N карточек в ящике А и подсчитывает, какую часть их составляют карточки событий А, В, С и т. д. В соответствии с полученными величинами и прогнозируются вероятности возникновения событий А, В, С,... и осуществляется преднастройка к соответствующим действиям.
Весьма важен вопрос о рациональном выборе числа N. При N=i прогноз носит не вероятностный, а жестко предопределенный характер: всегда предсказывается с вероятностью Р = 1 (однозначно) то событие, которое в последний раз следовало за событием А. При N = 1 хорошее прогнозирование будет обеспечено, только если вслед за А всегда следует одно и то же событие.
Система, использующая для прогнозирования лишь недавний опыт, способна адаптироваться к изменяющимся условиям. В частности, ее прогнозирование достаточно для выработки классического условного рефлекса и его угашения.
Но в прогнозировании такой системы есть еще весьма существенные недостатки.
При небольшом N система будет очень «доверчивой» в своем прогнозе; влияние на прогноз случайного, но недавно встретившегося события будет значительным; модель будет быстро менять прогноз даже под влиянием случайных изменений среды.
|
|
|
При слишком большом N модель окажется слишком «косной» в своем прогнозе, недостаточно чуткой к изменениям вероятностной характеристики среды.
При N, равном числу всех карточек в ящике (т. е. если модель обладает «бесконечно большой» памятью — в пределах всей ее «жизни»), вероятностный прогноз (как уже говорилось выше) будет достаточно хорошим лишь до тех пор, пока будут оставаться стабильными вероятностные характеристики «среды обитания» модели. Если же вероятностная структура среды изменится, модель начнет выдавать неверные прогнозы и будет лишь медленно приспосабливаться к новой среде.

Итак, вероятностный прогноз оказывается неточным как при слишком малом N («легкомысленная», «доверчивая» модель), так и при слишком большом N («косная», «скептическая» модель).
Рациональный выбор N зависит от того, в какой среде работает модель — как часто меняются вероятностные характеристики этой среды.
Рис. 10. Чем больше времени прошло после события, тем с меньшим весовым коэффициентом сохраняется в памяти след о нем
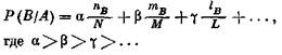
Таким образом, вероятность, с которой рассматриваемая система (опирающаяся на опыт последнего периода) прогнозирует событие В в случае наступления события Л, равна пв IN, где Пв — число карточек В среди первых N карточек в ящике А. Система подготавливается к действиям, соответствующим событиям А, В, С,..., в соответствии с величиной вероятностного прогноза па/N, Пв/N, nc/N,...
Система будет работать гораздо лучше, если, в большей мере опираясь на опыт последнего периода, она вместе с тем не будет забывать и о событиях далекого прошлого. Пусть карточки в картотеке имеют некоторый «весовой коэффициент давности» события: лучше помнится то, что произошло недавно. Первые N карточек, стоящие в ящике (недавние события), имеют коэффициент а; следующие М карточек (более давние события) имеют коэффициент Р, меньший, чем а; дальнейшие а карточек (еще более давние события) — еще меньший коэффициент у и т. д. (рис. 10).
|
|
|
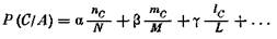
При такой структуре модели в величину вероятностного прогноза события В после наступления А входят доля карточек В среди первых N карточек в ящике А с коэффициентом а, доля карточек В среди следующих М карточек с коэффициентом р, доля карточек В среди следующих I карточек с коэффициентом у и т. д.:

Точно так же для любого другого события С:

При такой организации памяти становится понятным уже не только вероятностное прогнозирование и, в частности, классический условный рефлекс, но и еще одно явление. Представим себе, что собака в определенных условиях после звонка всегда (в течение достаточно долгого времени) получала пищу. В результате после звонка у собаки начинается усиленное выделение слюны — результат того, что прием пищи прогнозируется с большой вероятностью.
Однако в очередной раз после звонка собака не получила пищу, а последовало болевое раздражение лапы. То же повторилось и в следующий раз после звонка, а затем еще несколько раз. И вот в ответ на звонок собака продолжает отдергивать лапу, а усиления слюноотделения больше не наблюдается. Собака ведет себя так, как будто она забыла, что ее кормили после звонка, но помнит, что после звонка было больно лапе,— собака переучилась. Однако опыт показывает, что собака ничего не забыла. Если оставить такую собаку на достаточно длительное время в покое — не кормить после звонка и не ударять током,— а затем привести в лабораторию и включить звонок, у нее может возникнуть усиленное слюноотделение. Собака как бы вспомнила, что ее когда-то кормили после звонка, и как бы забыла более недавние события — болевое раздражение после звонка.
Похожие явления можно наблюдать и у человека. В квартире во время ремонта перенесли выключатель — он был слева от двери, а оказался справа. Первое время хозяин, заходя в квартиру, по привычке тянется в темноте налево. Но вскоре он переучивается и правильно ищет выключатель справа. И тут хозяин уезжает в отпуск. Вернувшись через месяц, он снова по ошибке тянется налево, как говорят, «по старой памяти». Та же картина — человек как бы забыл более недавний кратковременный опыт и как бы вспомнил ранее забытый более старый, но длительный опыт.
Такое «забывание» старого при изменении среды и «вспоминание» после перерыва объясняется тем, что со временем «весовой коэффициент давности» изменяется. Недавние события могут «перевешивать» даже длительный, но более старый опыт благодаря их высокому весовому коэффициенту давности (площадь 5г на рис. 11

Рис. 11. Весовой коэффициент давности событий
1 — кратковременный недавний опыт «перевешивает» более длительный, но давний; 11 — по прошествии некоторого времени этот «перевес» утрачивается; Ш — повторное обучение требует меньшего времени, чем первоначальное. На оси ординат — весовой коэффициент, на оси абсцисс — давность событий больше площади Si). По прошествии же длительного времени, когда весовой коэффициент давности тех же событий уменьшится, опыт этого короткого периода уже не доминирует над длительным опытом (площадь 5г' меньше площади Si'). Но если теперь вновь восстановить такие вероятностные характеристики среды, как в период U — ti, то обучение пойдет быстрее, чем в первый раз: площадь Sz суммируется с площадью S2"; поэтому время повторного обучения £з—*4 меньше времени первичного обучения t\ — 1%. Повторное обучение требует тем меньше времени, чем быстрее оно проводится после первичного и чем длительнее было первичное обучение. В описанной выше модели вероятностное прогнозирование осуществляется по отношению только к одному событию, которое непосредственно предшествовало прогнозируемому событию. Ясно, однако, что такой прогноз не может быть достаточно надежным в сред«, в которой имеются связи не только между событиями, стоящими рядом, но и между более отдаленными. Так, например, событие D может следовать с большей вероятностью за событием В, если перед В было Л, и с малой вероятностью, если перед В было С. В описанной же выше модели прогноз вероятности наступления события D после В осуществляется без учета того, какое событие предшествовало В (в ящике В не содержится информации о том, что предшествовало событию В).
Наряду с ящиками, на передней стенке которых записано одно какое-либо событие (ящики первого порядка), заведем в нашей модели еще ящики второго порядка — такие, на передней стенке которых записаны два последовательных события — АА, АВ, АС,... ВА, ВВ, ВС,... СА, СВ, СС,... Карточка D, поставленная, например, в ящик АВ, означает, что событие D произошло после события В, которому предшествовало событие А. В приведенном выше примере карточка D будет часто встречаться в ящике АВ и редко —в ящике СВ.
Ящики второго порядка, конечно, обеспечивают лучшее вероятностное прогнозирование, чем ящики первого порядка. Еще более надежное прогнозирование обеспечивают ящики третьего порядка, на которых записаны три последовательных события.
Ящики второго и более высоких порядков не только обеспечивают лучший прогноз, чем ящики первого порядка, но и делают возможной выработку «ситуационных» условных рефлексов. Представим себе такую ситуацию. Физиологи А и В работают на одних и тех же собаках, но в разное время. Физиолог А поднрепляет звонок пищей, а физиолог В — легким уколом лапы. В первом случае у собаки возникает пищевая реакция, во втором — оборонительная.
Если звонка нет, то на появление физиологов А или В собака не реагирует ни пищевой, ни оборонительной реакцией. На звонок же она после выработки условных рефлексов реагирует по-разному. Если перед звонком (С)

Рис. 12. Вероятностное прогнозирование событий D и Е хорошо осуществляется с помощью ящиков 11 порядка и плохо — с помощью ящика 1 порядка
она видела физиолога А, то, не дожидаясь подкрепления — пищи (D), отвечает пищевой реакцией. Если же перед звонком (С) она видела физиолога В, то, не дожидаясь подкрепления — укола (Е), реагирует отдергиванием лапы. В модели (рис. 12) это достигается благодаря тому, что карточки D (пища) попадают в ящик АС, а карточки Е (укол) — в ящик ВС. Поэтому при возникновении комплекса событий А л С прогнозируется высокая вероятность возникновения события D; если эта вероятность P(DjAC) близка к 1, то наступает пищевая реакция. При возникновении же комплекса событий В и С прогнозируется высокая вероятность возникновения события Е; если Р(Е/ВС) выше некоторого «порогового» уровня, наступает оборонительная реакция.
Наличие ящиков высоких (второго и выше) порядков позволяет моделировать не только классические условные рефлексы, описанные И. П. Павловым, но и условные рефлексы, названные учеником Павлова Ю. Конорским условными рефлексами второго типа (в отличие от классических — условных рефлексов первого типа). Условные рефлексы второго типа известны в литературе и под другими названиями — инструментальных условных реакций (Хильгард, Маркие), оперантного поведения (Скиннер).
В чем же различие между условными рефлексами первого и второго типов?
Общая схема условного рефлекса первого типа приведена в очерке «Способность заглядывать в будущее». Для характеристики же условного рефлекса второго типа опишем один из экспериментов Конорского. Собаку оставляли в пустом помещении, где она время от времени лаяла. Каждые несколько минут раздавался стук метронома, и если собака в этот момент лаяла, то из пищевого контейнера падал кусочек мяса. Вскоре собака стала лаять в экспериментальной обстановке постоянно. Но лай «подкреплялся» мясом только тогда, когда стучал метроном. В результате собака начинала лаять именно тогда, когда стучал метроном. Таким путем осуществляется дрессировка животных.
Если сравнить условные рефлексы первого и второго типа, то оказывается, что за сходством терминологии скрывается существенное различие между явлениями. В первом случае (см. стр. 34) «подкрепляющим» называют такой стимул, который «безусловно» вызывает вырабатываемую реакцию (А— >-а). Так, в опытах с пищевыми условными рефлексами мясо (подкрепляющий стимул А) «безусловно» вызывает пищевую реакцию — слюноотделение (а). Во втором же случае вообще нет такой реакции, которая «безусловно» вызывает лай. Подкрепление же (мясо) играет роль вознаграждения. В условных рефлексах второго типа нет аналогии с ситуацией А—*-а.
Модель с ящиками первого порядка достаточна для моделирования классических условных рефлексов, но не может обеспечить осуществление условных рефлексов второго типа. Иначе обстоит дело, если использовать ящики высших порядков. Присутствие карточки F в ящике ЕС (рис. 13) моделирует след в памяти того, что событие F произошло после С, которому предшествовав Е. Из сказанного выше ясно, как ящик ЕС может быть использован для вероятностного прогнозирования предстоящих событий, в частности для предсказания вероятности наступления события F.
Но ящики второго (и более высокого) порядка могут быть использованы еще и другим образом. Под каждой буквой (в нашем примере F, Е, С) можно понимать любое событие, воспринимаемое животным. Таким событием может быть и внешнее явление, и собственное действие животного — сгибание лапы, лай и т. п. Пусть F означает получение мяса, Е — стук метронома, С — лай. Послышался стук метронома. Что надо сделать, чтобы с наибольшей вероятностью получить мясо? В памяти-картотеке просматриваются ящики ЕА, ЕВ, ЕС..., где А, В, С,... — различные действия собаки. В каждом из этих ящиков подсчитывается вероятность наступления желаемого события (получение мяса). Таким образом, используя ящики второго порядка, можно не только осуществлять вероятностное прогнозирование внешних событий,

Рис. 13. Ящики 11 порядка могут быть использованы для выбора действии, с наибольшей вероятностью приводящего к достижению цели
но и строить планы собственных действий (С), приводящих с наибольшей вероятностью в заданных условиях (произошло Е) к желаемому результату (F). Еще лучше эта задача решается с помощью ящиков более высоких порядков. Ящики n-го порядка позволяют строить планы действий, состоящие из п —1 шагов, приводящих с наибольшей вероятностью к желаемому результату в заданных условиях. С помощью ящиков гс-го порядка можно строить и более короткие планы действий — из п — к шагов, но зато при этом к первых элементов будут использованы для более точного прогноза.
Чем более высокого порядка ящиками располагает модель, тем точнее она осуществляет вероятностное прогнозирование, тем более длинные планы действий можно с ее помощью строить. Но это дается ценой значительно большей громоздкости модели и «перебора» при выборе из памяти. Число ящиков в модели сильно увеличится при возрастании их порядка (п).
Нетрудно сообразить, что при том же числе т возможных событий (т. е. таких событий, которые наступили хоть раз) модель может содержать ящиков первого порядка т, ящиков второго порядка т2, ящиков третьего порядка т3,..., ящиков гс-го порядка — тп.
В силу этого в простой среде пользоваться ящиками высоких порядков нецелесообразно: процедура прогнозирования становится громоздкой и длительной, а выигрыш в точности может быть малым или даже совсем отсутствовать (если, например, среда представляет собой бернул-лиевскую последовательность).
Итак, стремление улучшить вероятностное прогнозирование приводит к тому, что модель памяти становится чрезвычайно громоздкой. А нельзя ли несколько разгрузить память, не ухудшая результатов вероятностного прогнозирования? Нельзя ли запоминать не все в равной степени, а кое-что и совсем не запоминать? Вслед за этим возникает и другой вопрос: какие события (сигналы) должны более основательно запоминаться для вероятностного прогнозирования?
Чтобы ответить на этот вопрос, подумаем, от чего зависит глубина запоминания того или иного события (сигнала)? Она зависит от многих факторов, но здесь мы хотим обратить внимание лишь на один из них — на «степень удивительности», степень неожиданности, несоответствия происшедшего события тому, что прогнозировалось.
Поясним примером. Вечером осеннего дня мне трудно точно вспомнить, не встречал ли я сегодня на улице человека в сером пальто. А вот если со мной в автобусе ехал человек в индийской чалме, я это буду хорошо помнить вечером. Встреча с чалмой в московском автобусе маловероятна (и неожиданна для меня), а с серым пальто — весьма вероятна в осенний день.
Зависимость запоминания от степени несоответствия появившегося сигнала прогнозу выявилась и в специальных экспериментах, проведенных Е. И. Фейгенберг. Она предлагала испытуемым один раз прослушать ряд из 22 слов и постараться запомнить их. Среди этих слов было 21 название млекопитающих. Одно же слово, стоявшее на 16-м месте в ряду, было названием неодушевленного предмета. Это слово оказалось единственным, которое у всех без исключения испытуемых вошло в число запомнившихся.
Во второй серии экспериментов испытуемым зачитывали 20 слов. В первый десяток слов входили только названия животных; во второй десяток — пять названий животных и пять названий неодушевленных предметов (порядок слов во втором десятке был случайным). На этот раз степень неожиданности названий неодушевленных предметов была (в среднем) меньше, чем в первой серии опытов. Оказалось, что названия неодушевленных предметов запоминались лучше. Однако (в отличие от первой серии экспериментов) названия неодушевленных предметов запоминались после однократного прочтения списка слов не всеми испытуемыми. Таким образом, чем более неожиданным было слово, тем основательнее оно запоминалось.
Пусть теперь и наша модель запоминает не все, что поступит в нее, с одинаковой глубиной. В нашем предыдущем рассуждении результат работы памяти — вероятностный прогноз — служил только для преднастройки других рабочих органов. Теперь же этот прогноз будет использован и для организации самой памяти.
Если произошло событие Л, то с помощью карточек ящика А подсчитывается Ра — вероятность того, что снова произойдет А, Рв —вероятность того, что наступит событие #,..., Рк — вероятность того, что наступит событие К. Это и есть вероятностный прогноз. Предположим, что после этого наступило событие /, вероятность наступления которого, согласно прогнозу, равнялась Pj. Теперь по установленному порядку следует поставить карточку / в ящик А. Но при этом карточке придается различный «вес» в зависимости от степени неожиданности события / — она ставится с коэффициентом 1 — Pj.
Назовем эту величину коэффициентом неожиданности. Если в прошлом опыте после А всегда следовало /, то Pj = 1 (т. е. хранящаяся в памяти «модель среды» точно соответствует среде). Тогда 1 — Pj = 0, т. е. повторно наступившее событие / не запоминается, не загружает память. В жестко детерминированной среде модель перестает запоминать, как только «научается» безошибочно прогнозировать ход событий. Но если среда изменится и наступит неожиданное событие, оно врежется в память с максимальным коэффициентом неожиданности 1 — 0 = = 1. Каждое событие запоминается тем сильнее, чем более неожиданным было его возникновение в данный момент.
Живому организму или другой сложной системе, функционирующей в вероятностно организованной среде, вероятностное прогнозирование полезно тем, что позволяет осуществлять преднастройку — подготовку к действиям в тех предстоящих ситуациях, наступление которых прогнозируется с наибольшей вероятностью. Исследования, проведенные в нашей лаборатории (М. А. Цискаридзе, В. А. Иванниковым и др.), показали, что именно благодаря преднастройке при наличии нескольких сигналов, на каждый из которых нужно было реагировать нажатием соответствующей кнопки, реакция совершается тем быстрее, чем с большей вероятностью прогнозировалось возникновение именно этого сигнала.
В очерке «Быстрота реагирования» мы уже писали, что при случайной последовательности сигналов, вероятность которых одинакова, время реакции растет с увеличением их числа. Однако странным казался тот факт, что удлинение времени реакции происходит лишь при увеличении числа таких сигналов до десяти. Дальнейшее увеличение (в некоторых экспериментах число различных сигналов превышало тысячу) не ведет к еще большему удлинению времени реакции.
Это явление может быть понято, если предположить, что преднастроика осуществляется лишь по отношению к действиям, адекватным такой ситуации, возникновение которой прогнозируется с вероятностью, превышающей некоторую минимальную величину Ро. Величина Ро играет роль абсолютного порога вероятностного прогноза. К ситуациям, появление которых прогнозируется с вероятностью меньшей, чем Ро, преднастроика не осуществляется. Если Ро^'/ю (а из экспериментальных данных вытекает, что это примерно так), то при наличии равновероятных сигналов вероятностный прогноз достигает пороговой величины Ро лишь при числе сигналов до десяти, при большем числе сигналов вероятностный прогноз появления каждого из них меньше порогового. Если же сигналы возникают с неодинаковой вероятностью, то среди них могут оказаться и сигналы с Р > '/ю, но число их (независимо от общего числа сигналов) всегда будет меньше десяти. А это значит, что как бы велико ни было число возможных сигналов, при наличии порога Ро организм упрощает ситуацию так, как будто число их не больше чем 1/Ро, (т. е. в приводимом примере не больше десяти). Наличие порога Ро позволяет при большом общем числе возможных событий принимать во внимание лишь небольшую часть (не более 1/Ро) наиболее вероятных из них (рис. 14).
Различие в преднастройке к действиям на сигналы наблюдается лишь тогда, когда различие прогнозируемой вероятности появления этих сигналов достаточно велико, больше некоторого АР — дифференциального вероятностного порога. В частности, для выработки условного рефлекса не необходима выработка прогноза с Р = 1 (такая ситуация практически недостижима даже в эксперименте); необходимо, чтобы прогнозируемая вероятность подкрепления была достаточно близкой к единице (Р^ 1 —АР).

Рис. 14. Абсолютный порог вероятного прогноза (если ^0 = 0,1, то число альтернатив, достигающих этого порога, не может быть больше 10)
а — для одного сигнала, б — для двух равновероятных сигналов, в — для 10 равновероятных сигналов, г — для 15 равновероятных сигналов.
Таким образом, в описанной модели хранение сведений о прошлом и способ пользования ими делает возможным вероятностное прогнозирование предстоящих событий и построение плана действий, которые в заданных условиях с наибольшей вероятностью приведут к желаемому результату.
Память и вероятностное прогнозирование являются лишь частью большой системы (будь то живой организм или техническое устройство). Здесь в каждый момент любому событию А, В, С..., которое может произойти, приписывается определенная вероятность Р(А), Р(В), Р(С) и т. д. Учитывая этот вероятностный прогноз, а также значимость прогнозируемого события, исполнительные системы осуществляют преднастройку — подготовку к действиям тех органов, которые должны будут работать в прогнозируемой ситуации для достижения заданной цели (или для удовлетворения потребностей организма). Степень преднастройки каждого исполнительного органа тем больше, чем вероятнее и чем значимее наступление того события, при котором потребуется работа этого органа.






