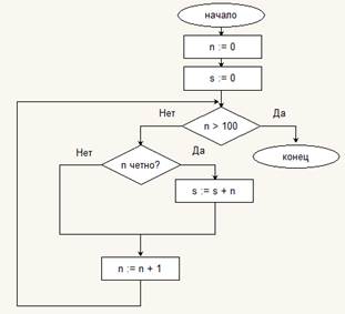
14. (5 баллов) Определите значение переменной S после выполнения следующего фрагмента алгоритма, представленного в виде блок-схемы. В ответ напишите только число.

Ответ: __________________________
15. (5 баллов) В начале каждого года в течение 4 лет на срочный вклад в сбербанк вносится сумма в размере 5 000 руб. Подсчитайте, какой будет сумма вклада по окончании 4 лет, если в конце каждого года начисляются проценты (20%) на всю находящуюся на вкладе сумму. В ответе укажите только число.
Ответ: ____________________________
Всего 60 баллов.






