NH4Cl
MgSO4 • 7H2O М.м. 246,50 г/моль
Горькая соль. Английская соль.
Магния сульфат Magnesii sulfas
Лекарственные средства, содержащие магний
Получение.
Горькая соль впервые была получена в 1695 г. ботаником Н. Грю в Лондоне. В 1710 г. в Англии ее стали получать из морской воды.
Сульфат магния встречается в природе в виде различных минералов. В России имеется в Сибири, на Кавказе, на Кубани; часто его находят в рассолах поваренной соли как примесь. Особенно много содержат его воды Каспийского моря.
Магния сульфат получают обработкой доломита серной кислотой, которую берут в избытке для предотвращения образования основного карбоната магния
MgCO3 + H2SO4 → MgSO4 + СО2 + Н2О
Магния сульфат кристаллизуется в виде гептагидрата MgSO4•7H2O.
Свойства.
Магния сульфат - бесцветные призматические кристаллы, выветривающиеся в сухом, теплом воздухе, горько-соленого вкуса (отсюда название магния сульфата - горькая соль), легко растворим в воде (в 1 части холодной и в 0,3 части кипящей воды), с образованием прозрачных растворов горького вкуса, нейтральной реакции, практически нерастворим в этаноле 95%.
|
|
|
Подлинность.
Определяют катион магния и на сульфат-ион.
1. Фармакопейная реакция на катион магния - реакция получения белого кристаллического осадка, фосфорно-аммониево-магниевой соли, основанная на осаждении осадка двойной соли магния аммония фосфата при взаимодействии с натрия гидрофосфатом в аммиачной среде.
Для выполнения реакции магния сульфат растворяют в воде.
MgSO4 + Na2HPO4 + NH4OH → MgNH4PO4↓ + Na2SO4 + H2O
Аммония хлорид добавляют для предотвращения образования магния гидроксида. Осадок растворим в разведенных минеральных кислотах и уксусной кислоте.
2. Реакция с 8-оксихинолином, основанная на осаждении в присутствии аммиачного буферного раствора внутрикомплексного 8-оксихинолината магния желто-зеленого кристаллического осадка. Осадок растворим в кислотах, под действием УФ-света флуоресцирует зеленым светом

Реакция не специфична для катиона магния, т.к. с этим реактивом дают осадки и другие ионы.
3. Сульфат-иона в магния сульфате открывают с бария хлоридом, реакция основана на осаждении труднорастворимого осадка бария сульфата, нерастворимого в разведенных минеральных кислотах
MgSO4 + BaCl2 → BaSO4↓ + MgCl2
белый мелкокристаллический осадок
Испытание на чистоту.
1. Контролируют прозрачность и цветность водного раствора - он должен быть прозрачным и бесцветным (отсутствие нерастворимых в воде примесей),
2. Содержание общих примесей: хлориды, сульфаты, железо, тяжелые металлы, мышьяк.
3. Кислотность или щелочность водного раствора определяют по индикатору фенолфталеину: розовая окраска индикатора в растворе должна появиться только после добавления 0,1 мл (2 кап) 0,01 моль/л раствора натрия гидроксида, т.е. ориентировочно рН раствора магния сульфата около 8 (фенолфталеин в этом случае окраски не имеет), добавление щелочи делает рН раствора около 9 и раствор приобретает розовую окраску (интервал перехода окраски индикатора при рН=8-10).
|
|
|
4. Допустимая специфическая примесь марганца и недопустимая в магния сульфате, применяемом для инъекций. Установлено, что марганец нередко сопутствует магнию в природных соединениях, а его наличие влияет на терапевтический эффект препарата и в больших количествах он может быть токсичен.
Способ основан на окислении марганца до перманганата персульфатом аммония в присутствии катализатора нитрата серебра
Mn + H2SO4 → MnSO4 + Н2↑
t°, AgNO3
2MnSO4 + 5(NH4)2S2O8 + 8H2O → 2HMnO4 + 5(NH4)2SO4 + 7H2SO4
розовая окраска
Для определения допустимого содержания марганца в другую пробирку (контрольный опыт, где находятся все взятые при постановке определения реактивы), добавляют из бюретки 0,01 моль/л раствор калия перманганата до тех пор, пока окраски анализируемого раствора не будут одинаковы (сравнивают визуально). Содержание магния в препарате должно быть не более 0,004%.
5. Определяют потерю в массе при прокаливании, которая должна, согласно ФС, составлять от 48 до 52%.
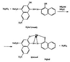
1. Комплексонометрический (трилонометрический) метод, основанный на образовании прочного, бесцветного, растворимого в воде внутрикомплексного соединения ионов магния с титрантом - трилоном Б - динатриевой солью этилендиаминтетрауксусной кислоты. Способ титрования - прямой, индикатор - кислотный хром черный специальный (эрихром черный Т), среда щелочная создается с помощью аммиачного буферного раствора.
Принцип прямого комплексонометрического титрования заключается в следующем: в анализируемом растворе, содержащем ионы магния создают щелочную среду добавлением аммиачного буферного раствора, добавляют индикатор. Ионы магния реагируют с индикатором с образованием окрашенного комплекса

или в общем виде
MgSO4 + H2Ind → MgInd + H2SO4
синий красный
В реакцию с индикатором вступает лишь небольшая часть ионов магния, основная часть их находится в растворе. Раствор титруют трилоном Б; в процессе титрования образуется бесцветный комплекс иона магния с титрантом, более прочный, чем комплекс иона магния с индикатором

В образовании комплекса участвуют два типа связи - химическая (ион магния замещает ион водорода в титранте) и координационная (атом азота титранта является донором электронной пары, ион магния - ее акцептором).
В точке эквивалентности титрант связывает ионы магния из его комплекса с индикатором, который обладает меньшей прочностью, чем комплекс того же иона с титрантом. Комплекс иона магния с индикатором разрушается, освобождается свободный индикатор, имеющий иную окраску
MgInd + H2Na2Tr → MgNa2Tr + H2Ind
красный синий
Для анализа навеску магния сульфата растворяют в воде.
2. Рефрактометрия - в ВАК при количественном определении лекарственных форм, концентрированных растворов (концентратов).
По общему списку в хорошо укупоренной таре, магния сульфат как кристаллогидрат следует предохранять от выветривания, т.к. он содержит кристаллизационную воду и, в случае её потери, содержание магния сульфата в субстанции увеличится, что может привести к увеличению его дозы и в приготовляемых лекарственных формах.
Применение.
Магния сульфат применяют как слабительное (внутрь), желчегонное (через зонд), спазмолитическое, успокаивающее (седативное) средство (парентерально). Выпускают в виде субстанции, 20 или 25% растворов для инъекций в ампулах по 5, 10 и 20 мл.






