БЕЗРАБОТИЦА И ЕЕ ФОРМЫ
1. Виды безработицы. Значительная часть трудоспособного населения находится вне рынка – это незанятое население, состоящее из безработных и неработающих.
Безработица – экономическая ситуация, при которой часть трудоспособного населения не может найти работы.
Неработающее трудоспособное население – часть взрослого населения, которая является экономически неактивной и не желает работать по найму. К нему относятся: домохозяйки, студенчество, лица свободных профессий, служители религиозных культов, заключенные и т. д.
Все трудоспособное население невозможно занять (если, конечно, общество не организовано по типу трудового лагеря или барачного коммунизма).
Безработица выступает в различных формах. Основными считаются:
1. Фрикционная (добровольная) безработица. Представляет собой временное отсутствие работы в связи с переходом на другую работу по собственному желанию, а также период поиска работы лицами, впервые ее ищущими.
2. Структурная. Возникает вследствие несоответствия структуры спроса на труд и предложения рабочей силы.
|
|
|
В ее состав попадают:
– лица с формальным уровнем квалификации (отсутствие опыта работы при наличии диплома);
– специалисты, чьи профессиональные навыки уступают другим на рынке или не востребованы в результате технических и социальных изменений (например, преподаватель марксизма в вузе);
– работники, чьи способности дискриминируются работодателями (например, женщины, лица, совмещающие работу с обучением).
3. Циклическая (конъюнктурная) безработица. Представляет собой безработицу в условиях спада производства, когда число претендентов на рабочие места существенно превышает их наличие. При циклической безработице идет общее сжатие экономической активности в стране, поэтому повышение квалификации или переобучение не спасает людей от безработицы. Поскольку циклическое развитие экономики предполагает чередование спадов и подъемов, то при подъеме она существенно сокращается и может сходить на нет.
"Экономика. Конспект лекций"
Циклическая безработица наряду со структурной является формой вынужденной (принудительной) безработицы.
2. Естественный уровень безработицы. В условиях, когда циклическая безработица отсутствует, экономика находится в состоянии полной занятости, так как фрикционная и структурная безработицы естественны и неустранимы в рыночной экономике. Введенный в научный оборот М. Фридманом естественный уровень безработицы находится под воздействием факторов:
– демографических;
– инфраструктурных;
– уровня минимальной заработной платы и социальных выплат.
|
|
|
3. Норма безработицы. Существует множество различных показателей, характеризующих безработицу. Наиболее распространенным является показатель нормы безработицы, предложенный Международной организацией труда (МОТ):
(12)
Норму безработицы можно рассчитать как общую, включающую фрикционную, структурную и циклическую, так и по отдельности.
Сравнение безработицы в разных странах позволяет сопоставить жизненный уровень населения сравниваемых государств.
4. Социально-экономические последствия безработицы. Циклическая безработица оказывает чрезвычайно негативное воздействие на рыночную экономику.
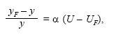
В обществе возникают огромные потери из-за недоиспользования рабочей силы. Американский экономист Артур Оукен (1928–1980) разработал метод, который позволяет их оценить: для этого необходимо сравнить ВНП в условиях фактической и полной занятости:
(13)
где yF– объем ВНП в условиях занятости; y– фактический объем ВНП; UF– нормы безработицы в условиях полной занятости (естественный уровень безработицы); U– фактическая норма безработицы; α– коэффициент Оукена (примерно 2.5).
В соответствии с законом Оукена превышение циклической безработицы над естественной на 1 % ведет к снижению фактического уровня ВНП на 2,5 % по сравнению с потенциальным.
Увеличивается бюджетное бремя на сглаживание последствий безработицы: выплату пособий, открытие и содержание центров занятости населения, социальную реабилитацию безработных, создание за счет государства новых рабочих мест, переориентацию в налоговой политике, усилению защиты собственности, охрану закона и др.
Слабеют семейные узы, распадаются браки из-за неспособности главы семьи обеспечить ее достойное существование. Безработные деградируют; они выпадают из привычного круга общения, теряют квалификацию и трудовые навыки.
Растут преступность, наркомания, обесцениваются социальные ценности.
5. Борьба с циклической безработицей. Правительства развитых стран признают свою ответственность за принудительную массовую безработицу, особенно циклическую, поэтому применяют различные меры по нейтрализации ее негативных последствий:
– финансируют разработку и осуществление экономических программ по стимулированию роста занятости населения и увеличения числа рабочих мест в государственном секторе;
"Экономика. Конспект лекций"
– оплачивают за государственный счет на биржах труда как профессиональную первичную подготовку работников, так и повышение квалификации;
– оказывают помощь людям, пострадавшим от принудительной безработицы (выплата пособий по безработице).






