Poleo – продаю psoneo – покупаю
mono – один оligos – несколько poly – много.
Типы строения рынков по Штакельбергу
| Покупатели | Продавцы | ||
| много | несколько | один | |
| Много | Двухсторонняя полиполия (совершенная конкуренция или монополистическая конкуренция) | Олигополия | Монополия |
| Несколько | олигопсония | Двухсторонняя олигополия | Монополия, ограниченная олигопсонией |
| Один | монопсония | Монопсония, ограниченная олигополией | Двухсторонняя монополия |
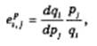
Э. Чемберлин предложил использовать для классификации рынков два критерия — взаимозаменяемость товаров, предлагаемых разными предприятиями, и взаимозависимость этих предприятий. Первый критерий может быть представлен коэффициентом ценовой перекрестной эластичности спроса на товары, предлагаемые предприятиями i, j:

второй — коэффициентом объемной, или количественной, перекрестной эластичности:

Чем выше ценовая перекрестная эластичность, тем выше однородность выпускаемых этими предприятиями товаров, тем более совершенна их взаимозаменяемость. Чем выше объемная (количественная) перекрестная эластичность, тем более жестка взаимозависимость предприятий. Если она близка к нулю, каждый продавец может игнорировать реакцию конкурентов на свои действия.
Дж. Бeйн добавил третий — условие входа на рынок. Это условие (Е) в обобщенном виде определяется относительным превышением действительной цены товара (PL) его конкурентной цены, равной средним общим затратам длительного периода (Рс = LATC):

Чем выше значение Е, тем привлекательнее рынок для новых продавцов.
Классификация рынков по Чемберлину и Бэйну
| Тип строения рынка | Взаимозаменяемость товаров ( )
| Взаимозависимость предприятий ( )
| Условие входа |
| Совершенная конкуренция | → ∞ | → 0 | → 0 |
| Монополистическая конкуренция | 0 ˂ ˂ ∞
| → 0 | → 0 |
| Однородная олигополия | → ∞ | ˂ ∞
| Е ˃0 |
| Неоднородная олигополия | 0 ˂ ˂ ∞
| ˂ ∞
| Е ˃0 |
| Монополия | → 0 | → 0 | Вход блокирован |
Совершенная и монополистическая конкуренции, монополия и олигополия рассматриваются не как реально функционирующие рынки, а как идеальные модели, или теоретические рынки разного строения

)
)
˂ ∞
˂ ∞






