Для описания состава модулей и их взаимодействия используются структурная и/или функциональная схема.
Структурная схема – отображает состав и взаимодействие по управлению. Состоит из условных обозначений модулей с указанием связей (по данным и управлению) между ними.
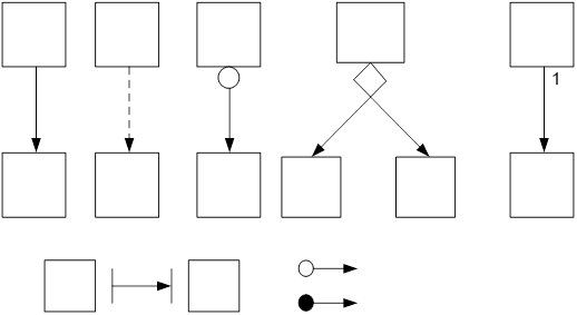
Функциональная схема (схема данных ГОСТ 19.701-90) – схема взаимодействия компонент программного обеспечения с описанием информационных потоков, состава данных в потоках и указанием используемых файлов и устройств.
Функциональная схема кроме модулей может включать обозначения:

Рис 2.5 - Элементы функциональной схемы
При структурном подходе особенно тщательно требуется прорабатывать спецификации межмодульных интерфейсов.
Метод пошаговой детализации – построение иерархической модульной структуры.
Структурные карты Констайтайна.

Рис 2.6 - Элементы структурных карт Константайна

Рис 2.7 - виды связей в структурных картах Константайна (последовательный вызов, параллельный вызов, циклический вызов, условный вызов, однократный вызов,???)






