Для решения неизвестных промежуточных значений динамического ряда применяется способ интерполяции.
Интерполяция – способ определения неизвестных промежуточных значений динамического ряда.
Интерполяция заключается по существу в приближенном отражении сложившейся закономерности внутри определенного отрезка времени – в отличие от экстраполяции, которая требует выхода за пределы этого отрезка времени.
Экстраполяция – метод определения количественных характеристик для совокупностей и явлений, не подвергшихся наблюдению, путем распространения на них результатов, полученных из наблюдения над аналогичными совокупностями за прошедшее время, на будущее и т. д.
Средний уровень ряда динамики характеризует типичную величину абсолютных уровней.
Средний уровень y в интервальных рядах динамики вычисляется с помощью деления суммы уровней y ; на их число n.

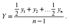
В моментном ряду динамики с равностоящими датами времени уровень будет определяться следующим образом:

В моментном ряду динамики с неравностоящими датами средний уровень определяется:
|
|
|

Характеристика обобщающих индивидуальных абсолютных приростов ряда динамики называется средним абсолютным приростом.
Средний абсолютный прирост у определяется так: сумма цепных абсолютных приростов (уn) делится на их число (n):

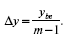
Средний абсолютный прирост также может определяться по абсолютным рядам динамики, для этого определяется разность между конечным уп и базисным у0 уровнями изучаемого периода, которая делится на m – 1 субпериодов.
Показатель среднего абсолютного прироста определяют по формуле:

Средний темп роста (Тр) – это индивидуальные темпы роста ряда динамики, которые имеют обобщающую характеристику, ее формула:

Средний темп роста, который определяется по абсолютным уровням динамики, выглядит следующим образом:

На основе взаимосвязи между базисными и цепными темпами роста средний темп роста определяем по формуле:

Средний темп прироста Тп находится на основании взаимосвязи между темпами роста и прироста. Если существуют сведения о средних темпах роста Т, то для получения средних темпов прироста Тп используется зависимость:







