· Если, задана размерность массива и его элементы вводятся, то говорят, что массив задан явно.
· Если элементы массива формируются на заданном интервале, т.е. заданы Xn, Xk, dX (например, -3.5≤Xi≤3.5, dxi=0.5), то говорят, что массив задан неявно.
Ввод массива,заданного явно, происходит в 2 этапа;
1. Сначала вводится размерность массива – N.
2. Затем организуется цикл для поэлементного ввода массива.
Элементы вводятся по порядку. В одном цикле вводится 1 элемент массива: сначала 1-ый, затем 2-ой ….N-ый. Т.е. цикл повторяеется N раз. Пусть i –порядковый номер массива. Тогда в i –м цикле вводится i –ый єлемент (рис. 7.2). Вывод массива происходит также поэлементно, анологично вводу - в цикле.
![]() | |||
|
Рассмотрим пример поэлементного формирования нового массива по вводимому исходному массиву.
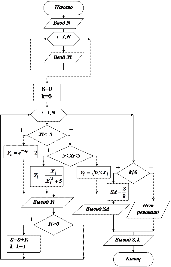
ПРИМЕР 6.1. Задан массив X размерностью N. Сформировать массив Y, если каждый его элемент вычисляется по формуле:

где Xi – i-ый элемент заданного массива X, а
|
|
|
Yi – соответствующий элемент формируемого массива Y.
Определить среднее арифметическое положительных элементов массива Y.
Алгоритм приведен на рис. 6.3.
Сначала вводится размерность массива и его элементы. Затем происходит очистка счетчиков. В следующем цикле происходит поєлементное формирование и вывод нового массива Y, а также накопление счетчиков S и k. После завершения цикла происходит анализ значения k: если оно отлично от 0, вычисляется SА - среднее арифметическое положительных значений массива Y, а иначе - выводится сообщение.
![]() |
|








