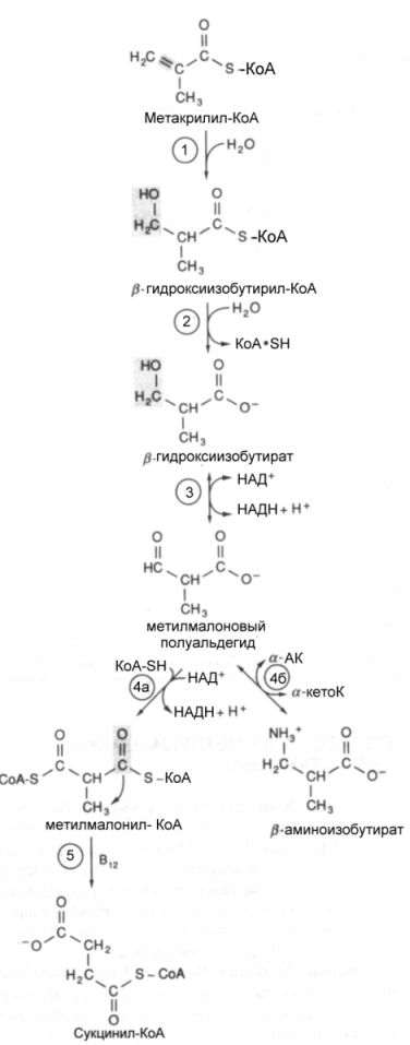
Серусодержащую аминокислоту метионин связывает с аминокислотами с разветвленным углеводородным радикалом общий конечный продукт, хотя пути к нему у
них значительно отличается. L-метионин на пути своего распада взаимодействует с АТФ с образованием S-аденозилметионина. Эту молекулу называют «активный метионин» поскольку он является донором метильной группы в синтезе многих важных для клетки соединений. После передачи метильной группы образуется S-аденозилгомоцистеин, который путем гидролиза S—С-связи распадается на L-гомоцистеин и аденин. Гомоцистеин используется в дальнейшем после конденсации с серином, для образования цистеина. Цистатионин–продукт этой конденсации гидролитически расщепляется на L-гомосерин и цистеин. Гомосериндезаминаза катализирует превращение гомосерина в а-кетобутират, который путем окислительного декарбоксилирования превращается пропионил-КоА.

![]() |
Начальные реакции катаболизма изолейцина и валина подобны катаболизму лейцина.
Хотя по конечному продукту катаболизма валин и изолейцин относятся к семейству сукцинил-КоА начальные реакции распада учитывая структурное сходство L-лейцина, L-валина и L-изолейцина одинаковы у всех аминокислот с разветвленным углеводородным радикалом, хотя затем пути их расходятся и валин становится источником глюкозы, лейцин – кетоновых тел, а изолейцин дает продукты для синтеза и глюкозы и кетоновых тел. Учитывая сходство начальных реакций катаболизма все три аминокислоты рассматриваются вместе.
Первый этап катаболизма – трансаминирование.. Эта реакция обратима и катализируется по-видимому одной и той же трансаминазой. a-кетокислоты- продукты переаминирования a-кетоизокапронат (из лейцина), a-кето-b-метилвалерат (из изолейцина) и a-кето-изовалериат (из валина) подвергаются окислительному дезаминированию при участии митохондриального полиферментного комплекса подобного пируватдегирогеназе и состоящего из таких же субъединиц и коферментов. Активность этого комплекса ингибируется при помощи протеинкиназы и активируется путем дефосфорилирования фосфопротеинфосфатазой. Кетокислоты являются регуляторами протеинкиназы.
Продукты окислительного декарбоксилирования представляют тиоэфиры КоА и подвергаются окислению путем дегидрирования, напоминающего дегидрирование линейных ацил-КоА тиоэфиров в процессе катаболизма жирных кислот. По-видимому существует несколько дегидрогеназ, катализирующих эту реакцию, о чем свидетельствуют наблюдения, что у больных с нзовалериановой ацидемией, по сле приема обогащенной белком пищи в крови накапливается изовалерат; хотя содержание других разветвленных а-кетокислот не повышается. Изовалериат образуется путем деацилирования изовалерил-КоА, являющегося субстратом упомянутой выше дегидрогеназы.







