Этот термин обычно относится к металлическим детекторам, которые бывают проволочными и тонкопленочными. Поскольку удельное сопротивление всех металлов и большинства сплавов зависит от температуры, на их основе можно разрабатывать чувствительные элементы для измерения температуры. Хотя для изготовления температурных детекторов подходят практически все металлы, но все же, в основном, для этих целей используется только платина. Это объясняется воспроизводимостью ее характеристик, долговременной стабильностью и прочностью. Для измерения температур выше 600°С применяются вольфрамовые РДТ. Все РДТ обладают положительными температурными коэффициентами. Выпускаются несколько типов РДТ:
1. Тонкопленочные РДТ, изготовленные из тонких слоев платины или ее
сплавов, нанесенных на подходящую подложку, например, на кремниевую микромембрану. РДТ часто формируются в виде серпантинной структуры для получения высокого отношения длины к ширине
2. Проволочные РДТ, в которых платиновая проволока намотана внутри керамической трубочки и прикреплена к ней при помощи высокотемпературного клея. Такая конструкция позволяет изготавливать датчики, обладающие очень высокой стабильностью.
|
|
|
В соответствии с Международной практической температурной шкалой (IPTS-68) прецизионные датчики температуры должны калиброваться при температурах, определяемых воспроизводимыми равновесными состояниями некоторых материалов. В этой шкале температуры в Кельвинах обозначаются символом Т68, а в градусах Цельсия — t68. Международный Комитет по Весам и Мерам в сентябре 1989 года принял новую Международную температурную шкалу (ITS-90). В ней температура в градусах Цельсия обозначается как t90. В таблице 16.2 приведены различия между этими двумя шкалами, которые важны при проведении прецизионных измерений.
Таблица 16.1. Эталонные температурные точки
| Описание точки | °С |
| Тройная точка водорода | -259,34 |
| Точка кипения нормального водорода | -252,753 |
| Тройная точка кислорода | -218,789 |
| Точка кипения азота | -195,806 |
| Тройная точка аргона | -189,352 |
| Точка кипения кислорода | -182,962 |
| Точка сублимации углекислого газа | -78,476 |
| Точка замерзания ртути | -38,836 |
| Тройная точка воды | 0,01 |
| Точка замерзания воды (смеси воды и льда) | 0,00 |
| Точка кипения воды | 100,0 |
| Тройная точка бензольной кислоты | 122,37 |
| Точка замерзания индия | 156,634 |
| Точка замерзания олова | 231,968 |
| Точка замерзания висмута | 271,442 |
| Точка замерзания кадмия | 321,108 |
| Точка замерзания свинца | 327,502 |
| Точка замерзания цинка | 419,58 |
| Точка замерзания сурьмы | 630,755 |
| Точка замерзания алюминия | 660,46 |
| Точка замерзания серебра | 961,93 |
| Точка замерзания золота | 1064,43 |
| Точка замерзания меди | 1084,88 |
| Точка замерзания никеля | |
| Точка замерзания палладия | |
| Точка замерзания платины |
* Тройная точка определяется равновесным состоянием трех фаз: твердой, жидкой и газовой.
|
|
|
Таблица 16.2. Разница температур между шкалами IPTS-68 и ITS-90

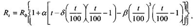
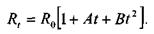
Каллендар-ван Дасен предложил следующее аппроксимационное выражение для передаточной функции платинового детектора:
В диапазоне -200...0°С:
(16.10)
А в диапазоне О...63О°С это выражение становится идентичным уравнению (3.58) главы 3:
(16.11)
Константы А, В и С определяются свойствами платины. Ту же самую аппроксимацию можно представить в следующем виде:
(16.12)
где t — температура в °С, а коэффициенты А, В и С определяются как:
(16.13)
Значение
получается при калибровке детектора при высоких температурах (например, в точке замерзания цинка(419.58°С)), а коэффициент
— при калибровке при отрицательной температуре.
Для согласования со шкалой ITS-90 аппроксимацию Каллендар-ван Дасена необходимо уточнить. Это довольно сложная процедура, подробности которой читатель может найти в описании этой шкалы. В других странах приняты другие документы по РТД. Например, в Европе это: BS 1904:1984, DIN 43760-1980, 1ЕС751:1983, а в Японии JISC1604-1981. В США разные компании разработали свои собственные стандарты на коэффициенты а. Например, в стандарте SAMA StandardRC21-4-1966 величина
в то время как в европейском
стандарте DIN
а в Британском стандарте — α=0.003900°C-1.
Обычно РТД калибруются при стандартных температурах, которые можно воспроизвести в лабораторных условиях с высокой степенью точности (см. таблицу 16.1). Калибровка в таких точках позволяет очень точно определить коэффициенты аппроксимации α и δ.
Типичные допуски для проволочных РДТ равны ±10 МОм, что соответствует ±0.025°С. Для обеспечения высокой точности измерений необходимо тщательно проектировать корпус РДТ, уделяя особое внимание его теплоизоляции. Это особенно важно при проведении измерений на высоких температурах, когда сопротивление изоляции резко падает. Например, резистор 10-МОм при температуре 550°С обладает погрешностью порядка 3 МОм, что соответствует температурной ошибке:
— 0.0075°С.






