Лекция 7
Контрольные вопросы и задания
1. Дайте определение государственной собственности
2. Обоснуйте основные направления и принципы государственной кадровой политики в РФ в системе государственной службы.
3. Чем кадровая служба отличается от отдела кадров?
4. Какие, по вашему мнению, необходимы условия для становления государственной службы России как публично-правового института?
5. Каково в настояфщее время содержание административно-правового статуса государственного Служащего в России?
[1] Лазарев Б.М. «Государственная служба» М.., 2003г.
[2] Федеральный закон от 31.07.1995г. №119-ФЗ «Об основах государственной службы Российской Федеарции»
[3] Федеральный закон от 27 июля 2004 г. N 79-ФЗ "О государственной гражданской службе Российской Федерации"
[4] Граждан В.Д. Государственная служба как профессиональная деятельность. М., 2000. С 10.
[5] Романов В.Л. Время качественного скачка // Вестник РАН. 1999. Т.69. №4. С. 356-357.
[6] Охотский Е.В. Государственная служба в парламенте: отечественный и зарубежный опыт. М. 2002
|
|
|
[7] Манохин В.М., Адушкин Ю.С., Багишаев З.А. Российское административное право. — М.: Юристъ, 1999. — С. 107.
[8] Овсянко Д.М. Государственная служба в Российской Федерации. Учеб. пособие. М., 1996. С.39-44
1. Линейные измерения непосредственным способом
2. Линейные измерения косвенным способом
Вводная часть
Цель линейных измерений – определение горизонтальных расстояний (проложений)
между точками местности.
Способы измерений: - непосредственный
- косвенный
Выбор способа зависит от: - условий измерения
- вида геодезических работ
- требуемой точности
I Вопрос. Линейные измерения непосредственным способом
Это способ основан на непосредственном измерении линий местности мерными линейными приборами.
К этим приборам относятся: - мерные ленты
- рулетки
- мерные проволоки
Процесс измерения длин линий состоит в последовательном откладывании мерного прибора в створе линии.
Краткая характеристика механических приборов
1.Мерные ленты.
По конструкции: штриховые, шкаловые.
Ленты землемерные (для измерения значительных длин линий (100 и более м.) с техническим классом точности)
1)- ЛЗ – лента землемерная штриховая ЛЗ-20 (ЛЗ-24)
(стальная полоска l=20м. b=3см. h=0,3мм.)
-на концах ленты нанесены штрихи, расстояние между которыми определяет длину ленты

- возрастание оцифровки в метрах с обеих сторон ленты в противоположных направлениях, что позволяет при измерениях ленту располагать любым концом

- погрешность измерения (снятие отсчёта) по ленте 1см.
- относительная погрешность измерения линии 1:1000÷1:3000
|
|
|
- лента ЛЗ-24 имеет аналогичные штрихи, деления, но на ней условная длина метра (1,2м.), диаметра (1,2дм.) для получения фактического результата измерения его результат умножают на коэффициент 1,2
2) ЛЗ – лента землемерная шкаловая ЛЗШ-20 (ЛЗШ-24)
на концах ленты имеются шкалы с сантиметровыми и миллиметровыми делениями.
- длина ленты определяется расстоянием между нулевыми делениями шкал.

Относительная погрешность измерения линий 1:7000
3) Рулетки для измерения коротких расстояний, 1-4 класса точности
- по конструкции: - в закрытом корпусе (РЗ)
- на крестовине (РК)
- на вилке (РВ)
- по материалу изготовления: - металлические (из стали)
- тесьминные
- длины рулеток: 5, 10, 20, 30, 50м.
- на полосу рулетки нанесены сантиметровые и миллиметровые деления
- относительная погрешность измерения длин линий стальной рулеткой 1:5000 и выше.
4)Мерные проволоки – для высокоточных измерений
- материал изготовления: стальные и инварные
- длина 24,48 м; диаметр проволоки – 1,6 мм.
- на концах проволоки расположены мерные шкалы с миллиметровыми делениями.
- при измерениях проволоки закрепляются на штативах и с помощью блоков натягиваются в створе измеряемой линии.
- относительная погрешность измерений линий от 1:30 000 до 1: 1 000 000.

Измерения мерными проволоками и другими приборами могут проводиться с обычной и повышенной точностью.
Если измерения проводятся с повышенной точностью, то используют:
- динамометр – для натяжения ленты с определенным усилием (10кв)
- термометр – для измерения температуры ленты.
Подготовка мерных приборов к измерениям
Перед измерениями должна быть установлена фактическая длина используемого прибора путем сравнения с эталонным прибором.
Процесс сравнивания длины рабочего мерного прибора с образцовой мерой называется компарированием.
Возможные варианты компарирования:
- на лабораторных (стационарных) компараторах
- на полевых компараторах
- упрощенным способом
- на стационарном компараторе МИИГАиК производится эталонирование инварных проволок с точностью 1:2 500 000 для высокоточных измерений
- на полевых компараторах длиной 120 и 240 м выполняют компарирование мерных лент, рулеток, проволок для точных измерений.

- для выполнения геодезических работ при строительстве компарирование лент, рулеток проводят упрощенным способом: путем укладки и сравнения длин образцовой и рабочей ленты.


Рабочая Образцовая Поправка за
лента лента компарирование

В тех случаях, когда при линейных измерениях учитывается температура прибора во время компарирования и во время измерения, то учитывают и температурную поправку.
По окончании копмпарирования его результаты заносятся в паспорт прибора, в котором указывается уравнения мерного прибора

Измерение линий лентой
Включает три этапа (части):
- закрепление начальной и конечной точек линии

- вешение линии (закрепление створа) L > 100м.


Веха деревянный шест (l = 1,5 – 2м; = 3 – 4 см) с заостренным концом, раскрашенные через 20 см в разные цвета для лучшей видимости
- непосредственное измерение линий
Вешение линий, как правило, с использованием теодолита.

Измерение линий
Последовательная укладка ленты

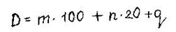
После укладки ленты 5 раз производится передача шпилек от заднего мерщика переднему.
(при 6 шпильках)
m – количество передач шпилек
n – число шпилек у заднего мерщика без передачи
q – остаток (неполное отложение ленты)
| Измер. расстояние | Измер. направл. | m | n | q | D | ∆D | ∆D допуст | Dср | ∆D/ Dср |
| А – В | Прямо обратно | – |
- 
- 
Пример:


- 
- 
1/3000 – местность ровная
1/2000 – местность слегка холмистая
1/1000 – местность холмистая
Вычисление горизонтального проложения измеряемой линии.
|
|
|


Поправка за компарирование
Вводится если
ленты



Для всей линии 
Пример Д=255,25м.
т.е. 

Если
со знаком «-» то
со знаком «+»
Поправка за температуру. 






Пример Д=255,25м. 

Если
то
«+»
Если
то
«-»
Поправка за наклон линии к горизонту. (
)




Пример: Д=255,25

Поправка за наклон вводится всегда со знаком «минус».
II Вопрос. Измерение расстояний косвенным способом
Измерение расстояний оптическим дальномером.
Дальномеры – это геодезические приборы для определения расстояний (горизонтальных и наклонных) косвенным способом.
В основу определения расстояний оптическими дальномерами положено решение равнобедренного треугольника, имеющего одну короткую сторону.





если Е-const и ctgE=С, то в общем виде 
Т.е. определяемое расстояние прямо пропорционально измеряемому дальномерному интервалу.
Параллактический угол Е, образуют две вспомогательные (дальномерные) нити сетки зрительной трубы.

Дальномерный интервал n измеряется по дальномерной рейке.

Все дальномеры с постоянным углом, в которых для отсчитывания интервала n по рейке используются нити в поле зрения зрительной трубы, называется НИТЯНЫМ ДАЛЬНОМЕРОМ.
Измерение горизонтальных расстояний



Т.к.
, то
f = 200 мм, p = 2 мм.

Обозначим
(коэффициент дальномера) К=100
Следовательно, каждому сантиметру на рейке, видимому между дальн.нитями, соответствует расстояние на м6естности 1м.

(постоянная дальномера) С=0. С ≈ 6,0 м.
Поэтому 
Измерение наклонных расстояний



Где 
и 
тогда 
и 

Оценка точности измерения расстояний нитяным дальномером.
На точность измерения влияют погрешности:
- снятия отсчета (основная погрешность)
- рефракция
- параллакса сетки нитей
или 
Если С.К.П. отсчета mn и С.К.П. расстояние md
то 
или переходя к относительным погрешностям

Практикой установлено, что если d = 100 м, то С.К.П. отсчета равна 0,25 дел. mn =0,25 мм = md = 0,25 мм.
Тогда 



А с учетом рефракции и параллакса 
Снятие отсчетов



Определение неприступных расстояний мерными приборами
|
|
|
(теодолит и рулетка)






