СОДЕРЖАНИЕ
Введение
1 Область применения
2 Нормативные ссылки
3 Термины и определения.
4 Общие положения, классификация
5 Тепловая защита зданий
6 Повышение энергетической эффективности существующих зданий
7 Теплоустойчивость ограждающих конструкций
8 Воздухопроницаемость ограждающих конструкций и помещений
9 Защита от переувлажнения ограждающих конструкций
10 Теплоусвоение поверхности полов
11 Контроль нормируемых показателей
12 Энергетический паспорт здания
Приложение А Перечень нормативных документов, на которые имеются ссылки в тексте
Приложение Б Термины и определения
Приложение В Карта зон влажности
Приложение Г Расчет удельного расхода тепловой энергии на отопление жилых и общественных зданий за отопительный период
Приложение Д Энергетический паспорт здания. Форма
5.3 Приведенное сопротивление теплопередаче
, м
·°С/Вт, ограждающих конструкций, а также окон и фонарей (с вертикальным остеклением или с углом наклона более 45°) следует принимать не менее нормируемых значений
, м
·°С/Вт, определяемых по таблице 4 в зависимости от градусо-суток района строительства
, °С·сут.
|
|
|
Таблица 4 - Нормируемые значения сопротивления теплопередаче ограждающих конструкций
| #G0 | Нормируемые значения сопротивления теплопередаче , м ·°С/Вт, ограждающих конструкций
| |||||
Здания и помещения, коэффициенты и .
| Градусо-сутки отопительного периода
, °С·сут
| Стен | Покрытий и перекрытий над проездами | Перекрытий чердачных, над неотапли- ваемыми подпольями и подвалами | Окон и балконных дверей, витрин и витражей | Фонарей с вертикальным остеклением |
| 1 Жилые, лечебно-профилактические и детские учреждения, школы, интернаты, гостиницы и общежития | 2,1 | 3,2 | 2,8 | 0,3 | 0,3 | |
| 2,8 | 4,2 | 3,7 | 0,45 | 0,35 | ||
| 3,5 | 5,2 | 4,6 | 0,6 | 0,4 | ||
| 4,2 | 6,2 | 5,5 | 0,7 | 0,45 | ||
| 4,9 | 7,2 | 6,4 | 0,75 | 0,5 | ||
| 5,6 | 8,2 | 7,3 | 0,8 | 0,55 | ||
| - | 0,00035 | 0,0005 | 0,00045 | - | 0,000025 |
| - | 1,4 | 2,2 | 1,9 | - | 0,25 |
| 2 Общественные, кроме указанных выше, административные и бытовые, производственные и другие здания и помещения с влажным или мокрым режимом | 1,8 | 2,4 | 2,0 | 0,3 | 0,3 | |
| 2,4 | 3,2 | 2,7 | 0,4 | 0,35 | ||
| 3,0 | 4,0 | 3,4 | 0,5 | 0,4 | ||
| 3,6 | 4,8 | 4,1 | 0,6 | 0,45 | ||
| 4,2 | 5,6 | 4,8 | 0,7 | 0,5 | ||
| 4,8 | 6,4 | 5,5 | 0,8 | 0,55 | ||
| - | 0,0003 | 0,0004 | 0,00035 | 0,00005 | 0,000025 |
| - | 1,2 | 1,6 | 1,3 | 0,2 | 0,25 |
| 3 Производственные с сухим и нормальным режимами | 1,4 | 2,0 | 1,4 | 0,25 | 0,2 | |
| 1,8 | 2,5 | 1,8 | 0,3 | 0,25 | ||
| 2,2 | 3,0 | 2,2 | 0,35 | 0,3 | ||
| 2,6 | 3,5 | 2,6 | 0,4 | 0,35 | ||
| 3,0 | 4,0 | 3,0 | 0,45 | 0,4 | ||
| 3,4 | 4,5 | 3,4 | 0,5 | 0,45 | ||
| - | 0,0002 | 0,00025 | 0,0002 | 0,000025 | 0,000025 |
| - | 1,0 | 1,5 | 1,0 | 0,2 | 0,15 |
Примечания
1 Значения для величин , отличающихся от табличных, следует определять по формуле
, (1)
где - градусо-сутки отопительного периода, °С·сут, для конкретного пункта;
, - коэффициенты, значения которых следует принимать по данным таблицы для соответствующих групп зданий, за исключением графы 6 для группы зданий в поз.1, где для интервала до 6000 °С·сут: , ; для интервала 6000-8000 °С·сут: , ; для интервала 8000 °С·сут и более: , .
2 Нормируемое приведенное сопротивление теплопередаче глухой части балконных дверей должно быть не менее чем в 1,5 раза выше нормируемого сопротивления теплопередаче светопрозрачной части этих конструкций.
3 Нормируемые значения сопротивления теплопередаче чердачных и цокольных перекрытий, отделяющих помещения здания от неотапливаемых пространств с температурой ( ), следует уменьшать умножением величин, указанных в графе 5, на коэффициент , определяемый по примечанию к таблице 6. При этом расчетную температуру воздуха в теплом чердаке, теплом подвале и остекленной лоджии и балконе следует определять на основе расчета теплового баланса.
4 Допускается в отдельных случаях, связанных с конкретными конструктивными решениями заполнений оконных и других проемов, применять конструкции окон, балконных дверей и фонарей с приведенным сопротивлением теплопередаче на 5% ниже установленного в таблице.
5 Для группы зданий в поз.1 нормируемые значения сопротивления теплопередаче перекрытий над лестничной клеткой и теплым чердаком, а также над проездами, если перекрытия являются полом технического этажа, следует принимать, как для группы зданий в поз.2.
|
Градусо-сутки отопительного периода
, °С·сут, определяют по формуле
|
|
|
, (2)
где
- расчетная средняя температура внутреннего воздуха здания, °С, принимаемая для расчета ограждающих конструкций группы зданий по поз.1 таблицы 4 по минимальным значениям оптимальной температуры соответствующих зданий по #M12291 1200003003ГОСТ 30494#S (в интервале 20-22 °С), для группы зданий по поз.2 таблицы 4 - согласно классификации помещений и минимальных значений оптимальной температуры по #M12291 1200003003ГОСТ 30494#S (в интервале 16-21 °С), зданий по поз.3 таблицы 4 - по нормам проектирования соответствующих зданий;
,
- средняя температура наружного воздуха, °С, и продолжительность, сут, отопительного периода, принимаемые по #M12291 1200004395СНиП 23-01#S для периода со средней суточной температурой наружного воздуха не более 10 °С - при проектировании лечебно-профилактических, детских учреждений и домов-интернатов для престарелых, и не более 8 °С - в остальных случаях.
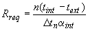
5.4 Для производственных зданий с избытками явной теплоты более 23 Вт/м
и зданий, предназначенных для сезонной эксплуатации (осенью или весной), а также зданий с расчетной температурой внутреннего воздуха 12 °С и ниже приведенное сопротивление теплопередаче ограждающих конструкций (за исключением светопрозрачных)
, м
·°С/Вт, следует принимать не менее значений, определяемых по формуле
, (3)
где
- коэффициент, учитывающий зависимость положения наружной поверхности ограждающих конструкций по отношению к наружному воздуху и приведенный в таблице 6;
- нормируемый температурный перепад между температурой внутреннего воздуха
и температурой внутренней поверхности
ограждающей конструкции, °С, принимаемый по таблице 5;
- коэффициент теплоотдачи внутренней поверхности ограждающих конструкций, Вт/(м
·°С), принимаемый по таблице 7;
- то же, что и в формуле (2);
- расчетная температура наружного воздуха в холодный период года, °С, для всех зданий, кроме производственных зданий, предназначенных для сезонной эксплуатации, принимаемая равной средней температуре наиболее холодной пятидневки обеспеченностью 0,92 по #M12291 1200004395СНиП 23-01#S.
|
|
|
В производственных зданиях, предназначенных для сезонной эксплуатации, в качестве расчетной температуры наружного воздуха в холодный период года
, °C, следует принимать минимальную температуру наиболее холодного месяца, определяемую как среднюю месячную температуру января по таблице 3* #M12291 1200004395СНиП 23-01#S, уменьшенную на среднюю суточную амплитуду температуры воздуха наиболее холодного месяца (таблица 1* #M12291 1200004395СНиП 23-01#S).
Нормативное значение
сопротивления теплопередаче перекрытий над проветриваемыми подпольями следует принимать по #M12291 871001035СНиП 2.11.02#S.
5.5 Для определения нормируемого сопротивления теплопередаче внутренних ограждающих конструкций
при разности расчетных температур воздуха между помещениями 6 °С и выше в формуле (3) следует принимать
и вместо
- расчетную температуру воздуха более холодного помещения.
Для теплых чердаков и техподполий, а также в неотапливаемых лестничных клетках жилых зданий с применением квартирной системы теплоснабжения расчетную температуру воздуха в этих помещениях следует принимать по расчету теплового баланса, но не менее 2 °С для техподполий и 5 °С для неотапливаемых лестничных клеток.
5.6 Приведенное сопротивление теплопередаче
, м
·°С/Вт, для наружных стен следует рассчитывать для фасада здания либо для одного промежуточного этажа с учетом откосов проемов без учета их заполнений.
Приведенное сопротивление теплопередаче ограждающих конструкций, контактирующих с грунтом, следует определять по СНиП 41-01.
Приведенное сопротивление теплопередаче светопрозрачных конструкций (окон, балконных дверей, фонарей) принимается на основании сертификационных испытаний; при отсутствии результатов сертификационных испытаний следует принимать значения по своду правил.
|
|
|
5.7 Приведенное сопротивление теплопередаче
, м
·°С/Вт, входных дверей и дверей (без тамбура) квартир первых этажей и ворот, а также дверей квартир с неотапливаемыми лестничными клетками должно быть не менее произведения
(произведения
- для входных дверей в одноквартирные дома), где
- приведенное сопротивление теплопередаче стен, определяемое по формуле (3); для дверей в квартиры выше первого этажа зданий с отапливаемыми лестничными клетками - не менее 0,55 м
·°С/Вт.
и
.
, (1)
где
,
; для интервала 6000-8000 °С·сут:
,
; для интервала 8000 °С·сут и более:
,
.
2 Нормируемое приведенное сопротивление теплопередаче глухой части балконных дверей должно быть не менее чем в 1,5 раза выше нормируемого сопротивления теплопередаче светопрозрачной части этих конструкций.
3 Нормируемые значения сопротивления теплопередаче чердачных и цокольных перекрытий, отделяющих помещения здания от неотапливаемых пространств с температурой
(
), следует уменьшать умножением величин, указанных в графе 5, на коэффициент 





