Диэлектрики, поляризация.
Потенциал электростатического поля.
Циркуляция вектора напряженности электростатического поля.
Тема 1.Электростатика
Лекция №2.

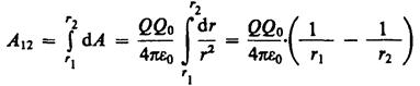
Если в электростатическом поле точечного заряда Q из точки 1 в точку 2 вдоль произвольной траектории перемещается другой точечный заряд Q0, то сила F, приложенная к заряду, совершает работу.
Работа силы F на элементарном перемещении dl равна

Так как
·cosa=dr, то

Работа при перемещении заряда Q0 из точки 1 в точку 2 будет равна

(1)
Из формулы (1) следует, что работа не зависит от траектории перемещения, а определяется только положениями начальной 1 и конечной 2 точек.
Определение 1.






