1. В случае среды с абсолютной магнитной проницаемостью – 
.
2. Можно показать, что индуктивность контура в общем случае зависит только от
геометрической формы контура, его размеров и магнитной проницаемости той
среды, в которой он находится. В этом смысле индуктивность контура — аналог
электрической емкости уединенного проводника, которая также зависит только от
формы проводника, его размеров и диэлектрической проницаемости среды.
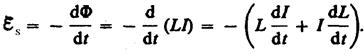
Применяя к явлению самоиндукции закон Фарадея, получим, что э. д. с. самоиндукции будет равна:

Если контур не деформируется и магнитная проницаемость среды не изменяется, то L = const и

где знак минус, обусловленный правилом Ленца, показывает, что наличие индуктивности в контуре приводит к замедлению изменения тока в нем.






