Пьезоэлектрические датчики температуры

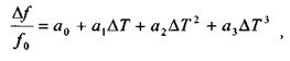
При пьезоэлектрическом эффекте наблюдается зависимость частоты вибраций кварцевого кристалла от температуры. Именно на основе этого явления и реали­зуются пьезоэлектрические датчики температуры. Поскольку кварц является ани­зотропным материалом, резонансная частота пластины сильно зависит от угла среза кристалла (его кристаллографической ориентации). Поэтому выбирая сре­зы AT- и ВТ-, можно получить кристаллы, обладающие незначительной темпе­ратурной чувствительностью. И наоборот, при использовании кристаллов других срезов можно реализовать датчики с ярко выраженной зависимостью частоты от температуры. Температурную зависимость резонансной частоты от температуры часто аппроксимируют полиноминальной зависимостью третьего порядка:

(16.53)

где и— температура и частотный сдвиг, f0 — частота калибровки, а α — ко­эффициенты аппроксимации. Первый пьезоэлектрический детектор температу­ры был реализован в 1962 году на основе кристалла с Y-срезом. После этого кампания Hewlett-Packard разработала очень удачный линейный датчик на осно­ве кристалла с LC-среза. При использовании кристаллов Y-срезов третьим и четвертым членами выражения (16.53) можно пренебречь. Чувствительность та­кого датчика составляет 35 ррm/°С, а рабочий температурный диапазон — от —80°С... +230°С при точности калибровки 0.02°С. С применением микропроцес­соров линейность становится не так важна, а главным фактором является чув­ствительность. Так в нелинейных датчиках температуры, реализованных на осно­ве слегка повернутых кристаллов Y-среза с Q=— 4°C, была получена чувствитель­ность 90ррт/°С. Перспективными также являются резонаторы, использую­щие изгибные и торсионные моды колебаний.

Следует отметить, что в пьезоэлектрических датчиках температуры всегда очень сложно организовать хорошую тепловую связь кристалла с объектом изме­рения, поэтому они обладают худшим быстродействием по сравнению с термисторами и термоэлектрическими детекторами.





Подборка статей по вашей теме: