
Рис. 16.19. Датчики температуры на основе прямосмещенного р-n перехода: А - диод,
Б - транзистор, включенный по схеме диода
Характеристики полупроводникового р-n перехода в диодах и биполярных транзисторах довольно сильно зависят от температуры. Если прямосмещенный переход соединить с генератором постоянного тока (рис. 16.19А), выходное напряжение, снимаемое с него, будет прямо пропорционально изменению его температуры (рис. 16.20). Достоинством такого датчика является его линейность, что дает возможность проводить его калировку только по двум точкам определения наклона прямой и ее пересечения с координатной осью (наклон прямой характеризует чувствительность детектора).

Рис. 16.20. Зависимость напряжения от температуры для прямосмещенного полупроводникового
перехода, снятая в условиях постоянного тока
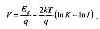
Зависимость тока от напряжения для р-n перехода в диоде можно выразить в следующем виде:
(16.45)
где I0 — ток насыщения, величина которого сильно зависит от температуры. Можно показать, что зависимость напряжения на переходе от температуры имеет следующий вид:
(16.46)
где Еg — ширина зоны запрещенных энергий для кремния при температуре абсолютного нуля (0 К),
q — величина заряда электрона, К— константа, независящая от температуры. Из уравнения (16.46) видно, что при работе р-n перехода в условиях постоянного тока, напряжение на нем пропорционально его температуре, а наклон этой зависимости определяется следующим выражением:
(16.47)
Например, для кремниевого перехода, работающего при токе 10 мкА, температурная чувствительность равна —2.3 мВ/°С, а при токе 1 мА, она падает до —2.0 мВ/°С. Любой диод или биполярный транзистор могут быть использованы в качестве датчиков температуры. На рис. 16.19Б показана схема детектора температуры на базе транзистора, в которой вместо источника тока используется источник напряжения и резистор R. Ток, протекающий через транзистор, можно найти из выражения:
(16.48)

Рис. 16.21. Зависимость погрешности измерений от температуры, построенная для датчика
температуры, реализованного на основе кремниевого транзи стора PN100
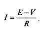
Рекомендуется работать при токе 100 мкА. Тогда при Е = 5 В и V≈0.6 В, сопротивление
R = (E-V)/I= 44 кОм. При увеличении температуры напряжение V падает, что приводит к незначительному увеличению тока I. В соответствии с уравнением (16.47) это вызывает некоторое снижение чувствительности, которая выражается в появлении нелинейности. Этой нелинейностью в ряде случаев можно пренебречь, однако иногда при обработке сигналов ее приходится учитывать. Благодаря простоте и очень низкой стоимости, транзисторные (диодные) датчики температуры получили довольно широкое распространение. На рис. 16.21 показана зависимость погрешности измерений датчика температуры, реализованного на основе транзистора PN100, от температуры при рабочем токе 100 мкА. Как видно из рисунка, погрешность измерений довольно мала, и во многих случаях можно даже обойтись без коррекции нелинейности.
Детекторы температуры на основе диодов часто встраиваются в кремниевую подложку монолитных датчиков для осуществления температурной компенсации. Например, такие детекторы методом диффузии формируются на мембранах кремниевых микродатчиков давления для компенсации температурной зависимости пьезорезистивных элементов.
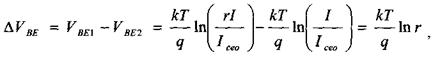
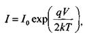
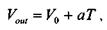
Напряжение на транзисторах всегда пропорционально абсолютной температуре в Кельвинах. На основе этого свойства можно реализовать недорогой, но достаточно точный датчик температуры. В этом датчике можно либо непосредственно измерять напряжение, либо предварительно преобразовать напряжение в ток, по величине которого определять температуру. Такой полупроводниковый датчик температуры построен на основе зависимости между напряжением база-эмиттер (VBE ) и коллекторным током биполярного транзистора. На рис. 16.22А показана упрощенная схема детектора температуры. В этом датчике транзисторы Q3и Q4 формируют, так называемое, токовое зеркало, вырабатывающее два одинаковых тока IС1=Iи IC2=I, которые поступают на транзисторы Q1и Q2. Величина коллекторных токов определяется сопротивлением R. В монолитной схеме транзистор Q2, как правило, состоит из нескольких идентичных транзисторов (например, 8), включенных параллельно. Поэтому плотность тока в Q1, будет в восемь раз больше, чем на каждом из транзисторов, входящих в состав Q 2 Разность напряжений база-эмиттер двух транзисторов Q1 и Q2равна:
(16.49)
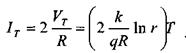
где г—множитель тока (8 в нашем примере), к — постоянная Больцмана, q — заряд электрона, Т — температура в Кельвинах. Ток 1сео одинаков для обоих транзисторов. Ток, протекающий через резистор R, создает на нем напряжение VT= 179 мкВ/К, величина которого не зависит от токов на коллекторах. Исходя из этого, можно найти выражение для суммарного тока, протекающего через датчик:
(16.50)
При r=8и R=358 Ом, данный датчик обладает линейной передаточной функцией:
IT/T=1 мкА/К.

Рис. 16.22. Упрощенная схема полупроводникового датчика температуры (А) и
зависимости тока от напряжения (Б)

Рис. 16.23. Типовая передаточная функция полупроводникового датчика температуры LM35DZ (Напечатано с разрешения National Semiconductors, Inc).
На рис. 16.22Б показаны зависимости тока от напряжения, построенные для разных температур. Отметим, что значение выражения в круглых скобках в уравнении (16.50) в данном конкретном случае является постоянной величиной и может быть точно подстроено в процессе изготовления для получения требуемого наклона IT/T. Ток ITлегко преобразуется в напряжение. Например, если последовательно с датчиком включить резистор номиналом 10 кОм, напряжение на нем будет прямо пропор-
ционально абсолютной температуре.
Работа упрощенной схемы, показанной на рис. 16.22, соответствует уравнениям (16.49) и (16.50) только в случае использования идеальных транзисторов, у которых
Поскольку таких транзисторов не бывает, в схемы, применяемые на практике, приходится вводить много дополнительных компонентов. Многие фирмы выпускают датчики температуры, реализованные на этом принципе. Среди них LM35 (National Semiconductors) — с выходом по напряжению и AD590 (Analog Devices) — с токовым выходом.
На рис. 16.23 показана передаточная функция датчика LM35Z, чувствительность которого настроена на уровень 10 мВ/°С. Погрешность нелинейности такого датчика невелика, обычно она не выходит за пределы
Передаточную функцию такого датчика можно описать следующим выражением:
(16.51)
где Т— температура в градусах Цельсия. В идеале Vo равно нулю, однако, на практике его значение колеблется в пределах +10 мВ, что соответствует погрешности ГС. Величина наклона а, как правило, находится в пределах 9.9...10.1 мВ/°С.






