End Function
End If
End If
Else
Else
Пример 2
End Function
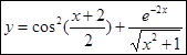
Пример 1.
Примеры написания пользовательских функций в VBA
![]() |
Function y(x)
y = Cos((x + 2) / 2) ^ 2 + Exp(-2 * x) / (x ^ 2 + 1) ^ 0.5
![]() |
Function z(x)
If x < 0 Then
z = (1 + x + x ^ 2) / (1 + x ^ 2)
If x < 1 Then
z = (1 + 2 * x / (1 + x ^ 2)) ^ (1 / 2)
z = 2 * Abs(0.5 + Sin(x))
- - Свойства, методы и события объектов VBA. Пример процедуры с использованием отдельных свойств объекта Application.
- - Элементы управления
- - Кнопки перехода с листа на лист, об авторе, о памяти ПК
- - Типы переменных в VBA
- - операторы цикла
- - пример программы табулирования функции
Свойства, методы и события объектов VBA. Пример процедуры с использованием отдельных свойств объекта Application.
Продолжим знакомство с объектной моделью VBA. Все объекты организованы в иерархическую структуру, подчиненную объекту верхнего уровня «Application».
Полная ссылка на объект состоит из перечисления вложенных подчиненных объектов, разделенных точкой. Например, полная ссылка на ячейку А1 листа “Содержание”будет выглядеть так:
|
|
|
Application.WorkBooks(“Графики”).Worksheets(“Содержание”).Range(“A1”).
Если рабочая книга (файл) “Графики” является активной, то достаточно указать
Worksheets(“Содержание”).Range(“A1”).
Если же вы работаете на листе “Содержание”, то ссылка будет выглядеть Range(“A1”).
Все объекты имеют свойства, методы и события.
Свойство это некоторая характеристика объекта (цвет, форма, наименование, расположение, видимость и т.д.) Устанавливается значение объекта так:
Объект.Свойство = значение свойства
Метод это действие, выполняемое над объектом (открыть, закрыть, удалить). Правило записи метода:







