Порядок проведения занятия
Контрольные вопросы
1. Перечислите особенности межличностных конфликтов.
2. Перечислите сферы проявления межличностных конфликтов.
3. Назовите типы межличностных конфликтов в организации.
4. Перечислите основные причины межличностных конфликтов в организации.
5. Назовите основные причины межличностных конфликтов в обществе.
6. Назовите основные причины межличностных конфликтов в семье.
7. Раскройте основное содержание управленческой деятельности по прогнозированию межличностных конфликтов и их предупреждению.
8. Раскройте основное содержание управленческой деятельности по регулированию и разрешению межличностных конфликтов.
9. Перечислите причинные факторы межличностных конфликтов по В. Линкольну.
10. Назовите типы межличностных конфликтов в зависимости от взаимной направленности субъектов в личностных отношениях.
Занятие 9.1. Самооценка методом тестирования готовности к межличностному взаимодействию. Практическое занятие по теме «Межличностные конфликты»
|
|
|
Цель занятия. Закрепление знаний студентов по основным проблемам теории межличностных конфликтов, развитие у них навыков самооценки личности и формирование умений анализировать полученные результаты тестирования и корректировать свое поведение в межличностных отношениях.
Подготовительный этап. За одну-две недели студенты получают установку на проведение занятия в форме тестирования в целях самооценки личности и коррекции своего поведения в межличностном взаимодействии. Им сообщают тему и цель занятия. Дают указания на самостоятельное изучение литературы и уяснение основных понятий: «межличностный конфликт», «особенности межличностных конфликтов», «причины межличностных конфликтов».
В ходе занятия. Студентам предлагают пройти представленные ниже тесты. Преподаватель организует обсуждение результатов тестирования и оказывает методическую помощь в выработке программы самосовершенствования и самокоррекции поведения.
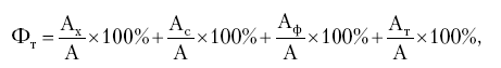
В нижеприведенных «паспортах» холерика, сангвиника, флегматика и меланхолика отметьте знаком «+» те качества, которые присущи вам. Затем по формуле А. Белова вычислите соотношение базовых темпераментов. Это будет характеризовать ваш интегральный темперамент.
«Паспорт» холерика

«Паспорт» сангвиника


«Паспорт» флегматика

«Паспорт» меланхолика


Формула темперамента (А. Белова)

где Фт – формула темперамента (интегральный темперамент); А – общее число плюсов по всем типам темперамента; Ax – общее число плюсов в «паспорте» холерика; Ac – общее число плюсов в «паспорте» сангвиника; Аф – общее число плюсов в «паспорте» флегматика; Ам – общее число плюсов в «паспорте» меланхолика.
|
|
|
Оценка результатов
Если доля какого-либо темперамента в результате составляет 40 % и выше, то данный тип темперамента является у вас доминирующим. Если этот результат составляет 30–39 %, то качества данного типа выражены достаточно ярко.






