Высвечивание фотонов - свойство отдельной молекулы.
Органические сцинтилляторы
Ароматические углеводороды с бензольными кольцами: антрацен, стильбен, раствор терфенила.

| Сцинтиллятор | Плотность, г/см3 | Положение максимума в спектре излучения, lmax, нм | Время высвечивания t, нс | Конверсионная эффективность Сs |
| NaJ(Tl) | 3,67 | 0,1 | ||
| Стильбен C14H12 | 1,16 | 0,04 | ||
| p-терфенил в ксилоле | 0,9 | 0,02 |
Пробеги протонов и электронов [см]
в стильбене
| E МэВ | ||
| 0.01 | <<< | <<< |
| 0.1 | 0.01 | <<< |
| 0.36 | 0.02 | |
| 4.6 | 0.1 |
Стильбен диаметр до 40 мм, высота – 80 мм (на Западе чаще используется жидкий сцинтиллятор)
достоинства - эффективность, быстродействие, большой сигнал.
недостатки - нелинейный световыход, высокий порог,
en » eg
Задача 5. Рассчитать вероятность взаимодействия нейтрона с энергией
2 МэВ с кристаллом стильбена толщиной 1 см в приближении однократного рассеяния для мононаправленного пучка
r =1.16 г/см3 стильбен C14H12
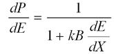
Р(Ep) – световыход – нелинейная функция энергии. Для Ep < 50 МэВ P(Ep)~ E3/2

Для электронов kB(dE/dX) << 1Из-за нелинейного световыхода Vp(2МэВ) = Ve(0,5 МэВ)
µg(0,5 МэВ) = 0,08см2/г Þeg = 0,093 см-1 e n(2МэВ) =0,17 но fg /fn > 1 (252Сf n = 3.8, Ng @ 10) Ng/Nn = 0,93/0,17*3,8 = 1,5
Обычно соотношение хуже.
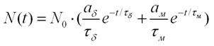
Дискриминация g-излучения. Форма светового импульса в органических сцинтилляторах зависит от типа заряженной частицы благодаря специфическому механизму высвечивания возбужденных органических молекул. Изменение во времени интенсивности световой вспышки можно аппроксимировать двумя компонентами: быстрой и медленной.

где
и
- доли высвечивания быстрой и медленной компонент со временем
и
соответственно.
| (10 -9 сек)
|
| (10 -9 сек)
| |
| электроны | 0.8 | 0.2 | ||
| протоны | 0.5 | 0.5 |

(10 -9 сек)
(10 -9 сек)






