2.1. Как называются разделы, на которые делится гидравлика?
а) гидростатика и гидромеханика;
б) гидромеханика и гидродинамика;
в) гидростатика и гидродинамика;
г) гидрология и гидромеханика.
2.2. Раздел гидравлики, в котором рассматриваются законы равновесия жидкости называется
а) гидростатика;
б) гидродинамика;
в) гидромеханика;
г) гидравлическая теория равновесия.
2.3. Гидростатическое давление - это давление присутствующее
а) в движущейся жидкости;
б) в покоящейся жидкости;
в) в жидкости, находящейся под избыточным давлением;
г) в жидкости, помещенной в резервуар.
2.4. Какие частицы жидкости испытывают наибольшее напряжение сжатия от действия гидростатического давления?
а) находящиеся на дне резервуара;
б) находящиеся на свободной поверхности;
в) находящиеся у боковых стенок резервуара;
г) находящиеся в центре тяжести рассматриваемого объема жидкости.
2.5. Среднее гидростатическое давление, действующее на дно резервуара равно
а) произведению глубины резервуара на площадь его дна и плотность;
б) произведению веса жидкости на глубину резервуара;
в) отношению объема жидкости к ее плоскости;
г) отношению веса жидкости к площади дна резервуара.
|
|
|
2.6. Первое свойство гидростатического давления гласит
а) в любой точке жидкости гидростатическое давление перпендикулярно площадке касательной к выделенному объему и действует от рассматриваемого объема;
б) в любой точке жидкости гидростатическое давление перпендикулярно площадке касательной к выделенному объему и действует внутрь рассматриваемого объема;
в) в каждой точке жидкости гидростатическое давление действует параллельно площадке касательной к выделенному объему и направлено произвольно;
г) гидростатическое давление неизменно во всех направлениях и всегда перпендикулярно в точке его приложения к выделенному объему.
2.7. Второе свойство гидростатического давления гласит
а) гидростатическое давление постоянно и всегда перпендикулярно к стенкам резервуара;
б) гидростатическое давление изменяется при изменении местоположения точки;
в) гидростатическое давление неизменно в горизонтальной плоскости;
г) гидростатическое давление неизменно во всех направлениях.
2.8. Третье свойство гидростатического давления гласит
а) гидростатическое давление в любой точке не зависит от ее координат в пространстве;
б) гидростатическое давление в точке зависит от ее координат в пространстве;
в) гидростатическое давление зависит от плотности жидкости;
г) гидростатическое давление всегда превышает давление, действующее на свободную поверхность жидкости.
2.9. Уравнение, позволяющее найти гидростатическое давление в любой точке рассматриваемого объема называется
|
|
|
а) основным уравнением гидростатики;
б) основным уравнением гидродинамики;
в) основным уравнением гидромеханики;
г) основным уравнением гидродинамической теории.
2.10. Основное уравнение гидростатики позволяет
а) определять давление, действующее на свободную поверхность;
б) определять давление на дне резервуара;
в) определять давление в любой точке рассматриваемого объема;
г) определять давление, действующее на погруженное в жидкость тело.
2.11. Среднее гидростатическое давление, действующее на дно резервуара определяется по формуле

2.12. Основное уравнение гидростатического давления записывается в виде

2.13. Основное уравнение гидростатики определяется
а) произведением давления газа над свободной поверхностью к площади свободной поверхности;
б) разностью давления на внешней поверхности и на дне сосуда;
в) суммой давления на внешней поверхности жидкости и давления, обусловленного весом вышележащих слоев;
г) отношением рассматриваемого объема жидкости к плотности и глубине погружения точки.
2.14. Чему равно гидростатическое давление при глубине погружения точки, равной нулю
а) давлению над свободной поверхностью;
б) произведению объема жидкости на ее плотность;
в) разности давлений на дне резервуара и на его поверхности;
г) произведению плотности жидкости на ее удельный вес.
2.15. "Давление, приложенное к внешней поверхности жидкости, передается всем точкам этой жидкости по всем направлениям одинаково"
а) это - закон Ньютона;
б) это - закон Паскаля;
в) это - закон Никурадзе;
г) это - закон Жуковского.
2.16. Закон Паскаля гласит
а) давление, приложенное к внешней поверхности жидкости, передается всем точкам этой жидкости по всем направлениям одинаково;
б) давление, приложенное к внешней поверхности жидкости, передается всем точкам этой жидкости по всем направлениям согласно основному уравнению гидростатики;
в) давление, приложенное к внешней поверхности жидкости, увеличивается по мере удаления от свободной поверхности;
г) давление, приложенное к внешней поверхности жидкости равно сумме давлений, приложенных с других сторон рассматриваемого объема жидкости.
2.17. Поверхность уровня - это
а) поверхность, во всех точках которой давление изменяется по одинаковому закону;
б) поверхность, во всех точках которой давление одинаково;
в) поверхность, во всех точках которой давление увеличивается прямо пропорционально удалению от свободной поверхности;
г) свободная поверхность, образующаяся на границе раздела воздушной и жидкой сред при относительном покое жидкости.
2.18. Чему равно гидростатическое давление в точке А?

а) 19,62 кПа;
б) 31,43 кПа;
в) 21,62 кПа;
г) 103 кПа.
2.19. Как приложена равнодействующая гидростатического давления относительно центра тяжести прямоугольной боковой стенки резервуара?
а) ниже;
б) выше;
в) совпадает с центром тяжести;
г) смещена в сторону.
2.20. Равнодействующая гидростатического давления в резервуарах с плоской наклонной стенкой равна

2.21. Точка приложения равнодействующей гидростатического давления лежит ниже центра тяжести плоской боковой поверхности резервуара на расстоянии

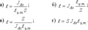
2.22. Сила гидростатического давления на цилиндрическую боковую поверхность по оси Оx равна


2.23. Сила гидростатического давления на цилиндрическую боковую поверхность по оси Oz равна


2.24. Равнодействующая гидростатического давления на цилиндрическую боковую поверхность равна

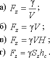
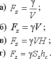
2.25. Сила, действующая со стороны жидкости на погруженное в нее тело равна

2.26. Способность плавающего тела, выведенного из состояния равновесия, вновь возвращаться в это состояние называется
а) устойчивостью;
б) остойчивостью;
в) плавучестью;
г) непотопляемостью.
|
|
|
2.27. Укажите на рисунке местоположение центра водоизмещения

а) 1;
б) 2;
в) 3;
г) 4.
2.28. Укажите на рисунке метацентрическую высоту

а) 1;
б) 2;
в) 3;
г) 4.
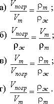
2.29. Для однородного тела, плавающего на поверхности справедливо соотношение

2.30. Вес жидкости, взятой в объеме погруженной части судна называется
а) погруженным объемом;
б) водоизмещением;
в) вытесненным объемом;
г) водопоглощением.
2.31. Водоизмещение - это
а) объем жидкости, вытесняемый судном при полном погружении;
б) вес жидкости, взятой в объеме судна;
в) максимальный объем жидкости, вытесняемый плавающим судном;
г) вес жидкости, взятой в объеме погруженной части судна.
2.32. Укажите на рисунке местоположение метацентра

а) 1;
б) 2;
в) 3;
г) 4.
2.33. Если судно возвращается в исходное положение после действия опрокидывающей силы, метацентрическая высота
а) имеет положительное значение;
б) имеет отрицательное значение;
в) равна нулю;
г) увеличивается в процессе возвращения судна в исходное положение.
2.34. Если судно после воздействия опрокидывающей силы продолжает дальнейшее опрокидывание, то метацентрическая высота
а) имеет положительное значение;
б) имеет отрицательное значение;
в) равна нулю;
г) уменьшается в процессе возвращения судна в исходное положение.
2.35. Если судно после воздействия опрокидывающей силы не возвращается в исходное положение и не продолжает опрокидываться, то метацентрическая высота
а) имеет положительное значение;
б) имеет отрицательное значение;
в) равна нулю;
г) уменьшается в процессе возвращения судна в исходное положение.
2.36. По какому критерию определяется способность плавающего тела изменять свое дальнейшее положение после опрокидывающего воздействия
а) по метацентрической высоте;
б) по водоизмещению;
в) по остойчивости;
г) по оси плавания.
2.37. Проведенная через объем жидкости поверхность, во всех точках которой давление одинаково, называется
а) свободной поверхностью;
б) поверхностью уровня;
в) поверхностью покоя;
г) статической поверхностью.
|
|
|
2.38. Относительным покоем жидкости называется
а) равновесие жидкости при постоянном значении действующих на нее сил тяжести и инерции;
б) равновесие жидкости при переменном значении действующих на нее сил тяжести и инерции;
в) равновесие жидкости при неизменной силе тяжести и изменяющейся силе инерции;
г) равновесие жидкости только при неизменной силе тяжести.
2.39. Как изменится угол наклона свободной поверхности в цистерне, двигающейся с постоянным ускорением
а) свободная поверхность примет форму параболы;
б) будет изменяться;
в) свободная поверхность будет горизонтальна;
г) не изменится.
2.40. Во вращающемся цилиндрическом сосуде свободная поверхность имеет форму
а) параболы;
б) гиперболы;
в) конуса;
г) свободная поверхность горизонтальна.
2.41. При увеличении угловой скорости вращения цилиндрического сосуда с жидкостью, действующие на жидкость силы изменяются следующим образом
а) центробежная сила и сила тяжести уменьшаются;
б) центробежная сила увеличивается, сила тяжести остается неизменной;
в) центробежная сила остается неизменной, сила тяжести увеличивается;
г) центробежная сила и сила тяжести не изменяются






