Лекция № 12.
Основными гостируемыми параметрами генератора импульсов являются: длительность импульса, амплитуда импульса, частота импульса, временной сдвиг импульса относительно синхроимпульса, длительность фронта и среза импульса, неравномерность (скошенность) вершины импульса. Нормируется погрешность установки данных параметров импульса и их нестабильность. Класс точности генератора определяется пределом допускаемой погрешности установки параметров сигнала и пределами допускаемых значений искажений сигнала.
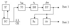
Структурная схема.
Работа схемы.
Задающий генератор (ЗГ) вырабатывает синусоидальное или импульсное напряжение. Частота колебаний задающего генератора определяет частоту повторения выходных импульсов. Сигнал с задающего генератора поступает в блок синхронизации (БС), где из поступающего сигнала формируются короткие синхроимпульсы. Данные синхроимпульсы привязаны к переднему фронту поступающих сигналов. Эти сигналы поступают в устройство задержки (УЗ). Оно сдвигает их на регулируемое время задержки. После чего поступают на блок формирования (БФ). В блоке формирования формируется все временные параметры импульса: длительность импульса, длительность переднего и заднего фронта. С блока формирования импульсы поступает на выходной усилитель (ВУ), который формирует требуемую амплитуду импульса. Этот сигнал подается на выход 1. Амплитуда импульса контролируется пиковым вольтметром (В4). Необходимое регулируемое ослабление в выходной сигнал вносит аттенюатор (Ат). Выход 2.
|
|
|






