Светофильтром называется оптическая деталь, изготовленная из материала с избирательным пропусканием света. Светофильтры обычно представляют собой
плоскопараллельную пластинку, выполненную из цветного стекла, желатина,
пластмасс и т.д.
Светофильтры изменяют как яркостные, так и цветовые соотношения
между кристаллами, а также уменьшают хроматическую аберрацию. Их
используют при неблагоприятных условиях: наличие дымки, тумана, малой
контрастности объектов и т.д. Например, желтые и оранжевые светофильтры
применяют в фотографии при наличии воздушной дымки, т.к. они хорошо
поглощают синие и фиолетовые лучи. При тумане применяют оранжевые и
красные фильтры. Светофильтры изготавливают в основном из оптического
стекла по госту ГОСТ 9411-66. Название цветного стекла соответствует участку
спектра, в котором коэффициент пропускания τλ имеет наибольшее значение.
Например, стекла марки КС имеют максимальное пропускание в красной части
спектра. Общий коэффициент пропускания нескольких светофильтров рассчитывается по формуле:
|
|
|
| (34) |
где: i-номера цветных стекол, составляющих светофильтр, кi(l)-показатель поглощения цветных стекол с индексом, соответствующим номеру цветного стекла, ti-толщина соответствующих цветных стекол.
3.6 Дифракционные решётки
Дифракционные решётки, оптический прибор, представляющий собой периодическую структуру из большого числа регулярно расположенных элементов, на которых происходит дифракция света (например, параллельных и равноотстоящих штрихов, нанесенных на плоскую или вогнутую оптическую поверхность»). Штрихи с определенным и постоянным для данной дифракционной решетки профилем повторяются через одинаковый промежуток d, называемый ее периодом (рисунок 52).
Основное свойство дифракционной решетки - способность раскладывать падающий на нее пучок света по длинам волн, поэтому она используется в качестве диспергирующего элемента в спектральных приборах.
- Плоская дифракционная решетка - штрихи нанесены на плоскую поверхность,
- вогнутая дифракционная решетка штрихи нанесены на вогнутую (обычно сферическую) поверхность.
Различают дифракционные решетки:
- прозрачные и
- отражательные.
У прозрачных дифракционных решеток штрихи наносятся да поверхность прозрачной (обычно стеклянной) пластинки (или вырезаются в виде узких щелей в непрозрачном экране), и наблюдение ведется в проходящем свете. Прозрачные решетки вследствие их низкой эффективности почти не находят применения в современном спектральном приборостроении и используются для учебных целей - в демонстрационных опытах и лабораторных работах по физической оптике.
|
|
|
Рисунок 52. Схемы образования спектров у прозрачной и отражательной решёток.
У отражательных дифракционных решеток штрихи наносятся на зеркальную (обычно металлическую) поверхность, и наблюдение ведется в отраженном свете. Отражательные решетки, широко используются в качестве диспергирующих элементов спектральных приборов.
При падении монохроматического параллельного пучка света с длиной волны λ под углом α на дифракционную решетку(рисунок 52), состоящую из щелей ширины b, разделенных непрозрачными промежутками, происходит интерференция волн, исходящих из разных щелей. В результате после фокусировки на экране образуются максимумы, положение которых определяется уравнением:
| (35) |
где β - угол между нормалью к решетке и направлением распространения дифракционного пучка (угол дифракции); целое число m =0, ±1, ±2, ±3,... равно количеству длин волн, на которое волна от некоторого элемента данной щели дифракционной решетки отстает от волны, исходящей от такого же элемента соседней щели (или опережает ее).
Монохроматические пучки, относящиеся к различным значениям т, называются порядками спектра, а создаваемые ими изображения входной щели - спектральными линиями М1. Все порядки, соответствующие положительным и отрицательным значениям т, симметричны относительно нулевого. По мере возрастания числа щелей дифракционной решетки спектральные линии становятся более узкими и резкими.
Если на дифракционную решетку падает излучение сложного спектрального состава, то для каждой длины волны получится свои набор спектральных линий М2, и, следовательно, излучение будет разложено в спектры по числу возможных значений т. Относительная интенсивность линий определяется функцией распределения энергии от отдельной щели.
Основные характеристики дифракционной решетки:
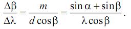
- угловая дисперсия β/Δλхарактеризующая угловую ширину спектра, для данной λ не зависит or параметров решетки, а зависит только от углов α и β и возрастает с увеличением β:
| (36 |
Таким образом, угловая ширина спектров изменяется приблизительно пропорционально номеру порядка спектра.
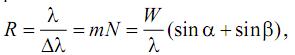
- разрешающая способность R измеряется отношением λ к наименьшему интервалу длин волн Δλ, который еще может разделить решетка:
| (37) |
где N - число штрихов дифракционной решетки, a W - ширина всей дифракционной решетки. При заданных углах разрешающая способность R может быть повышена только за счет ширины решетки W.






