Таблица 3.2
Таблица 3.1
Изображение по Лапласу и оригиналы
Изображение
| Оригинал f(t) |
| |
|
|
|
|
|
|
|
|
|
|
|
|
|
|
|
|
|
|
|
|
|
|
Передаточные функции и временные характеристики типовых звеньев приведены в таблице 3.2.
Временные характеристики типовых звеньев
| Тип звена | Передаточные функции | Временные функции | ||
| Позиционные звенья | ||||
| Усилительное |
|
| ||
| Апериодическое 1-го порядка |
|
| ||
| Апериодическое 2-го порядка T1≥2T2 |
|
| ||
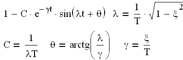
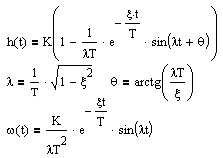
| Колебательное 0<ξ<1 |
|
| ||
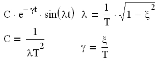
| Консервативное |
|
| ||
| Интегрирующие звенья | ||||
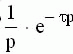
| Интегрирующее идеальное |
|
| ||
| Интегрирующее инерционное |
|
| ||
| Изодромное 1-го порядка |
|
| ||
| Изодромное 2-го порядка |
|
| ||
| Дифференцирующие звенья | ||||
| Идеальное дифференцирующее |
|
| ||
| Дифференцирующее инерционное |
|
| ||
| Форсирующее 1-го порядка |
|
| ||
| 6.4. Частотные характеристики звеньев САУ | ||||
В условиях реальной эксплуатации САУ часто возникает необходимость определить реакцию на периодические сигналы, т.е. определить сигнал на выходе САУ, если на один из входов подается периодически сигнал гармонической формы. Решение этой задачи возможно получить путем использования частотных характеристик. Частотные характеристики могут быть получены экспериментальным или аналитическим путем. При аналитическом определении исходным моментом является одна из передаточных функций САУ (по управлению или по возмущению). Возможно также определение частотных характеристик исходя из передаточных функций разомкнутой системы и передаточной функции по ошибке.
Если задана передаточная Функция W(р), то путём подставки p=jω получаем частотную передаточную функцию W(jω), которая является комплексным выражением т.е. W(jω)=U(ω)+jV(ω), где U(ω) - вещественная составляющая, а V(ω) - мнимая составляющая. Частотная передаточная функция может быть представлена в показательной форме:
|
|
|
W(jω)=A(ω)ejφ(ω) (3.2)
, где
- модуль;
- аргумент частотной передаточной функции.
Функция A(ω), представленная при изменении частоты от 0 до
получило название амплитудной частотной характеристики (АЧХ).
Функция Φ(ω), представленная при изменении частоты от 0 до
называется фазовой частотной характеристикой (ФЧХ).
Таким образом, дифференциальное уравнение движения системы связывает входной и выходной сигналы (т.е. функции времени), ПФ связывает изображения Лапласа тех же сигналов, а частотная ПФ связывает их спектры.
Частотная передаточная функция W(jω) может быть представлена на комплексной плоскости. Графическое отображение для всех частот спектра отношений выходного сигнала САУ к входному, представленных в комплексной форме будет представлять собой амплитудно-фазовую частотную характеристику (АФЧХ) или годограф Найквиста. Величина отрезка от начала координат до каждой точки годографа показывает во сколько раз на данной частоте выходной сигнал больше входного - АЧХ, а сдвиг фазы между сигналами определяется углом до упомянутого отрезка - ФЧХ. При этом отрицательный фазовый сдвиг представляется вращением вектора на комплексной плоскости по часовой стрелке относительно вещественной положительной оси, а положительный фазовый сдвиг представляется вращением против часовой стрелки.
Для упрощения графического представления частотных характеристик, а также для облегчения анализа процессов в частотных областях используются логарифмические частотные характеристики: логарифмическая амплитудная частотная характеристика (л.а.ч.х.) и логарифмическая фазовая частотная характеристика (л.ф.ч.х.). При построении логарифмических характеристик на шкале частот вместо ω откладывается lg(ω) и единицей измерения является декада. Декадой называется интервал частот, соответствующий изменению частоты в 10 раз. При построений л.а.ч.х. на оси ординат единицей измерения является децибел [дБ], который представляет собой соотношение L=20 lg А(ω). Один децибел представляет собой увеличение амплитуды выхода в
раз. Верхняя полуплоскость л.а.х. соответствует значениям А>1 (усиление амплитуды), а нижняя полуплоскость - значениям А<1 (ослабление амплитуды). Точка пересечения л.а.х. с осью абсцисс соответствует частоте среза ωср, при которой амплитуда выходного сигнала равна входной.
Для л.ф.ч.х. на оси частот используется логарифмический масштаб, а для углов - натуральный масштаб. На практике логарифмические частотные характеристики строятся на совмещённой системе координат, которые представлены на рис. 3.2.
|
|
|

Рис 3.2. Схема координат для логарифмических характеристик
Главным достоинством логарифмических частотных характеристик является возможность построения их во многих случаях практически без вычислительной работы, т.е. строить асимптотические л.ч.х.. Особенно удобно использовать логарифмические частотные характеристики при анализе всей системы, когда результирующая передаточная функция после разложения на множители приводится к виду:
(3.3)
т.е. передаточную функцию любой САУ в общем случае можно представить как произведение передаточных функций следующего вида:
- где: Kr, r, T, ξ, - постоянные величины, причём Kr>0, r>0, T>0, 0<ξ<1.
В этом случае построение л.а.х. производится по выражению

Построение л.ф.х. производится по выражению 
Таким образом, результирующая л.а.х. определяется суммированием л.а.х. составляющих типовых звеньев, а результирующая л.ф.х. - соответственно суммированием л.ф.х. составляющих типовых звеньев.
Частотные характеристики типовых звеньев приведены в таблице 3.3






