.
|
для доли j-го товара в суммарных расходах, то выражению (15) можно придать форму:
. (16)
|
Удобство формул (15) и (16) состоит в том, что количество потребляемого блага представлено в них не в натуральной, а в денежной или долевой форме, что допускает суммирование таких количеств, относящихся к товарам, объединяемым в группы.
Условимся обозначать символом S(k), сумму по видам товаров, включенных в k-ю группу.
Доля затрат, приходящаяся на группу, равна:
,
|
а средний по группе индекс цен должен удовлетворять равенству:
. (17)
|
Если теперь слагаемые в равенстве (16) “рассортировать” по товарным группам и воспользоваться соотношением (17), то мы получим:
.
|
Здесь уже структура потребления представлена долями затрат Wk, приходящимися на товарные группы, что соответствует учетным данным при обследовании семейных бюджетов. Остается оценить средние групповые индексы цен (Ik).
Для этого опять-таки выделяются товары-представители в каждой группе и используется допущение о том, что цены на товары одной группы изменяются примерно в одной и той же пропорции. Так как нас теперь интересуют не сами цены, а лишь их индексы, то такое допущение, если бы оно было верно, решило бы все проблемы. Но оно не вполне точно, поэтому и здесь приходится прибегать к различным корректировкам.
|
|
|
С помощью перечисленных приемов удается преодолеть бульшую часть трудностей при изучении изменений стоимости жизни в течение коротких временных интервалов. Но если сопоставляются периоды, разделенные десятилетиями, то возникают новые сложности.
Во-первых, очень резко изменяется структура потребления, даже если она учитывается не по индивидуальным товарам, а по товарным группам.
Во-вторых, сменяется много сортов, исчезает и возникает много видов товаров.
Приходится придумывать приемы, преодолевающие эти сложности. Неприятности, связанные с существенным изменением структуры потребления, устраняют с помощью так называемых цепных индексов с переменной базой. Для этого изменение стоимости жизни, скажем, в 1992 г. по сравнению с I960 г. раскладывают в произведение:
| I92/60 = I92/91 I91/90... I61/60, |
причем каждый из индексов-сомножителей рассчитывается по своей структуре потребления. Так считают в Великобритании, Франции, Швеции.
Смена сортов или видов товаров учитывается следующим образом. Находится соотношение цен различных сортов в тот момент, когда оба они представлены на рынке, а затем это соотношение используется как коэффициент приведения одного сорта к другому. Так же поступают и по отношению к различным видам товаров, удовлетворяющих одну и ту же потребность.
|
|
|
Таким образом можно по цепочке замен пересчитать цену лазерного проигрывателя в эпоху фонографов, и наоборот.
Вот как расширяется и усложняется задача, когда теоретическая схема сталкивается с многообразием реальной жизни, стоимость которой мы пытаемся измерить. При этом наш подход в теоретическом отношении был довольно примитивным: под сохранением уровня жизни мы понимали сохранение объемов потребления различных товаров. Но структура потребления может изменяться и по причинам, не связанным ни с ценами, ни с доходами, - из-за изменения условий жизни, вкусов, моды, демографических сдвигов и т. д.
Теоретически корректнее было бы исчислять не индекс постоянного состава, а индекс постоянной полезности потребления; при этом в числителе и знаменателе индекса (14) были бы не одинаковые наборы благ, а наборы, лежащие на одной и той же кривой безразличия.
Но это уже, по-видимому, задача статистики будущего.
[4] Здесь предполагается, что значения Qj относятся к базисному периоду, и (15) — индекс Ласпейреса. В этом случае и Сj — расходы базисного периода.
ЗАДАЧИ
1. Вычислите индексы Ласпейреса и Пааше (объема и цен) для семьи, которая потребляет в следующих количествах хлеб и одежду (см. таблицу) и весь доход тратит на приобретение этих двух товаров. Вычислите индекс номинального дохода и разложите его на индексы цен и объемов потребления. Рассчитайте значения индекса Фишера для цен и объемов потребления. Сопоставьте результаты и сделайте выводы.
| 1975 г. | 1980 г. | |
| Хлеб, кг Одежда, ед. Цена хлеба, руб. за ед. Цена одежды, руб. за ед. | 100 12 0,3 30 | 140 13 0,5 40 |
2. Некая семья сейчас потребляет практически другой набор товаров, чем в прошлом году, большинство товаров, которые она стала потреблять, не могли быть потреблены в прошлом году. Какие трудности возникнут перед экономистами, которые хотят определить индекс стоимости жизни?
Лекция 20. Дифференциация доходов
РАЗДЕЛ 0. У БАРБОСА ЕСТЬ ВОПРОСЫ. Общество одинаковых людей?
БАРБОС. Я думаю, что есть очень избалованные собаки, а все собаки должны быть равны — это мой жизненный принцип, и я не могу им поступиться.
АНТОН. Можно ли считать, что равенство доходов приводит к наибольшей пользе для общества?
ИГОРЬ. Да, это одна из гипотез, но давай вспомним строки из “Басни о пчелах” Бернарда Мандевиля. Разве уничтожение неравенства не привело бы к печальным последствиям для общества?
Сравните улей с тем, что было:
Торговлю честность погубила.
Исчезла роскошь, спесь ушла,
Совсем не так идут дела.
Не стало ведь не только мота,
Что тратил денежки без счета:
Куда все бедняки пойдут,
Кто продавал ему свой труд?
Везде теперь один ответ:
Нет сбыта и работы нет!..
Все стройки прекратились разом,
У кустарей — конец заказам.
Художник, плотник, камнерез —
Все без работы и без средств.
(Перевод А. В. Аникина)
АНТОН. Что и говорить, проблема не из простых.
РАЗДЕЛ 1. Дифференциация доходов: хорошо это или плохо?
Современное общество часто называют обществом двойного стандарта. Говорят, что это общество равных прав, но неравных возможностей. Действительно, все граждане демократического, правового государства равны перед законом. Они обладают также равными политическими правами, участвуя в выборах представительных органов власти и высших должностных лиц по принципу “один человек—один голос”. И этим современное общество разительно отличается от всех предшествовавших ему, где люди были равны лишь перед смертью и Богом. Этот принцип равенства имеет смысл и представляет ценность лишь постольку, поскольку он применяется к заведомо “неравным”, неодинаковым людям. К мужчинам и женщинам, сильным и слабым, ловким и неуклюжим, симпатичным и “не очень”, талантливым и заурядным, трудолюбивым и лентяям, образованным и невеждам. И все эти, и множество других особенностей, формирующих неповторимый индивидуальный облик каждого, определяют, естественно, разные возможности людей в состязании за свое личное счастье и благополучие.
|
|
|
С точки зрения экономистов, это неравенство возможностей проявляется на потребительском рынке в неравной платежеспособности покупателей, в основе которой лежит неравенство их доходов. Как формируются личные доходы, чем определяются различия в их уровне в рыночной экономике, мы рассмотрим в IV и V частях в связи с оценкой факторов производства. Здесь же нас будут интересовать влияние дифференциации доходов на ситуацию на потребительском рынке и вопросы измерения этой дифференциации.
Однако сначала обратим внимание на более общий вопрос. Все убежденные “уравнители” всегда стремились уничтожить двойной стандарт современного общества, сделать людей равными не только как граждан, но и как покупателей. Так, первый председатель Госплана СССР Г. М. Кржижановский считал: “Крепя основы подлинной демократии, мы одновременно сокрушаем старые вкусы, создаем предпосылки того однотипного спроса, который уже сам по себе облегчает рациональное массовое производство” [1]. Спрос у нас действительно стал “однотипным”. И спустя 40 лет В. В. Новожилов с полным на то основанием мог констатировать: “Денежная единица составляет у разных лиц хотя и не одинаковую, но не очень различную часть индивидуального дохода. Поэтому спрос населения в условиях социализма несравненно теснее связан с потребностями, чем при капитализме” [2]. Запомним этот важный вывод.
Итак, дифференциация доходов — хорошо это или плохо? Ответ на поставленный таким образом вопрос предполагает определенную ценностную ориентацию, которая у разных людей различна, и потому он не входит в компетенцию экономической науки, имеющей позитивную, а не нормативную направленность, исследующей сущее, а не должное.
Экономисты могут лишь указать, как измерить степень дифференциации доходов, исследовать влияние той или иной степени дифференциации на поведение людей, но они не могут, оставаясь в рамках своей профессии, судить о том, каковы приемлемые с этической точки зрения различия в уровне доходов.
|
|
|
И все же экономисты иногда отваживаются и на большее. Они могут попытаться рассмотреть проблему дифференциации доходов с точки зрения столь любимой ими гипотезы рационального поведения, сводящейся к гипотезе максимизации полезности.
Вспомним, что основатель “теории счастья” — утилитаризма Иеремия Вентам провозгласил в качестве единственной цели любого правительства достижение “наибольшего счастья наивозможно большего числа людей”.
Бентам, а вслед за ним и ранние представители утилитаризма из числа экономистов полагали, что счастье (или удовлетворение, или полезность, или, наконец, “кайф”) разных людей сравнимы, и аддитивны, т. е. могут суммироваться в некое общее счастье всех [3].
“Утилитарианистский принцип, — писал крупнейший английский экономист середины прошлого века Дж. С. Милль, — ставит для человека целью не личное его величайшее счастье, а величайшую сумму общего счастья всех (курсив наш — В. Г.)” (Милль Дж. Ст. Утилитарианизм; О свободе. СПб., 1900. С. 106). Заметим, что на этой гипотезе об аддитивности счастья или полезности основывается большинство коллективистских доктрин, хотя и не всегда осознанно.
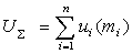
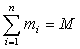
У нас уже есть инструментарий, которым мы можем воспользоваться, приняв эту гипотезу, чтобы судить о распределении доходов, удовлетворяющем принципу “наибольшего счастья”, или максимума полезности.
Пусть ui(mi) - функция полезности i-го человека от величины его дохода (mi), а общая сумма дохода, подлежащая распределению, равна М.
Утилитаристская доктрина требует максимизации аддитивной функции полезности:
|
при ограничении:
,
|
где n - число индивидов в обществе (i = l, 2,..., n).
Как обычно, принимаем, что с ростом дохода общая его полезность растет (dui / dmi > 0), но растет все медленнее (d2ui / dmi2 < 0).
Иначе говоря, хотя каждый дополнительный рубль (доллар, франк) дает его получателю прирост полезности, но этот прирост тем меньше, чем выше уже достигнутый уровень дохода.
Дальнейший ход рассуждений зависит от принятой гипотезы относительно индивидуальных функций полезности от дохода.
Одинаковы они или нет у разных субъектов?
Извлекают ли разные люди равную или разную полезность из одинаковой по порядку дополнительной (скажем, сотой) единицы дохода?
Если функции полезности разных людей одинаковы:
| u1(m) = u2(m) =... = un(m), |
а так считают многие, то очевидно, что если u`i(mi) > 0, аu``i(mi) < 0, то “величайшая сумма общего счастья всех” достигается лишь при равном распределении дохода.
Этот вывод для общества, состоящего из двух человек, иллюстрирует рис. 1, на котором по вертикальной оси откладывается полезность, а по горизонтальной, вправо и влево от нуля, доходы каждого из двух индивидов.

Рис. 1.Утилитаристское распределение доходов при одинаковой функции полезности двух лиц
Если распределению подлежит некая сумма дохода М, общая полезность будет максимальной лишь в том случае, если доходы наших субъектов будут одинаковы:
m1 = m2 = 0.5М.
Чтобы убедиться в этом, увеличим доход первого и соответственно уменьшим доход второго на одну и ту же сумму k1l1 = =k2l2. Как следует из рис. 1, в этом случае полезность, получаемая первым субъектом, увеличится на меньшую величину, чем та, на которую сократится полезность, получаемая вторым, и значит, “сумма общего счастья” уменьшится (сравните площади заштрихованных фигур).
Однако далеко не все приверженцы утилитаризма согласны в том, что функции полезности разных людей одинаковы. Многие полагали, что способность извлекать полезность у разных людей существенно различается. “Не может подлежать сомнению, — писал Дж. С. Милль, — что чем ниже у человека способность к наслаждению, тем легче он может достигнуть полного удовлетворения своих потребностей” [4]. Многие полагали (и полагают), что “способность к наслаждению” у аристократа, “благородного” или человека с утонченными вкусами намного выше, чем у простолюдина, “неотесанного” или “простого человека”.
Это значит, что если первый из наших субъектов человек “благородный”, а второй “человек из народа”, то при любых m1 = m2:
| u`i(m1) > u`2(m2). |
И лишь при некотором m1 > m2:
u`i(m1) = u`2(m2).
Таким образом, в этом случае неравенство доходов является необходимым условием для максимизации “суммы общего счастья”.
И доход “благородного” должен превышать доход простолюдина. Заметьте, что в этом случае прирост полезности первого субъекта после перераспределения в его пользу части доходаl2k2 превысит ее утрату вторым в результате уменьшения его дохода на ту же сумму l1k1 (рис. 2).

Рис. 2. Утилитаристское распределение доходов при разных функциях полезности двух лиц
Обратите внимание, что и в том, и в другом случае мы основывали наши рассуждения на втором законе Госсена, согласно которому максимум полезности достигается при условии равенства предельных полезностей в расчете на последнюю израсходованную денежную единицу (в нашем случае — единицу распределяемого дохода).
Вы помните (лекция 13, раздел 2), что количественная теория полезности уступила место порядковой. Вместе с такой заменой экономисты отказались от утилитаристской концепции сравнимости полезности, получаемой различными людьми от тех или иных благ (включая доход), и аддитивности индивидуальных ее функций. Простейший утилитаристский принцип “общей суммы счастья” уступил место более сложным, но и более реалистическим концепциям общего благосостояния и общественного выбора, с которыми нам еще предстоит познакомиться.
Зачем же тогда мы столь много внимания уделили рассмотрению доктрины, ушедшей в небытие? Ушедшей, да не совсем. И если вам доведется прочесть в главном труде В. В. Новожилова, что “наиболее точное отражение потребностей в спросе мыслимо только при распределении денежных доходов по потребностям” [5], то смысл этого, по словам автора “неожиданного вывода”, окажется для вас не столь уж и неожиданным, если мы напомним вам — и вы этого не забудете — слова И. Бентама: “Для уравнения счастья имущественные доли не должны быть равны одна другой, а должны быть пропорциональны соответствующим нуждам индивидуумов. Равенство в счастии может быть достигнуто только пропорциональностью, а не равенством имущественных долей” [6]. А теперь еще раз рассмотрите рис. 2.
И сегодня различные представления о сравнимости индивидуальных функций полезности, хотя и не всегда явно, присутствуют в дискуссиях экономистов, во многом определяют отношение общества к тем или иным правительственным решениям.
Так, те, кто выступают за пропорциональное налогообложение личных доходов, т. е. за сохранение той же дифференциации в размерах располагаемого (после уплаты налога) дохода, что и в размерах фактически полученного (до уплаты налога), исходят из гипотезы о неодинаковости функций полезности от дохода в низко- и высокодоходных группах.
Наоборот, те, кто выступают за прогрессивное налогообложение, т. е. за сглаживание, выравнивание посредством налогов размеров располагаемых доходов, исходят из гипотезы об одинаковости индивидуальных функций полезности от дохода, полагая, что бульшая налоговая ставка на высокие доходы означает примерно ту же потерю полезности для высокодоходных групп населения, что и меньшая налоговая ставка для низкодоходных групп.
До сих пор мы рассматривали проблему распределения так, как будто решали задачу о том, поровну или не поровну разделить только что вынутый из духовки “общественный пирог” между приглашенными гостями, и ориентировались лишь на их аппетит. Но на общественном пиру нет иных приглашенных, кроме тех, кто так или иначе участвовал в приготовлении этого “пирога”. Не верьте поэтому тем, кто будет убеждать вас, что распределить можно лишь то, что уже произведено. Это верно лишь для мгновенного периода (см. лекцию 6, раздел 2). Установив некие правила распределения доходов, можно повлиять и на размеры, и на вкус, и на пышность “общественного пирога” в коротком, а тем более в длительном периоде. (В этом месте сделайте паузу, найдите и прочтите или перечитайте статью Л. Попковой (Л. Пияшевой)) [7].
Но дело с “пирогами” обстоит еще сложнее. “Общественный пирог”, которым потчуют читателей стандартных зарубежных экономических учебников, — это удачный образ, если речь идет о результате национального производства в денежной форме. Ведь пирог (и тесто, из которого он выпечен, и начинка) представляет собой, как и деньги, некую однородную массу. Поэтому и отдельные порции его, равные и неравные, большие и малые будут столь же однородны, как и получаемые нами денежные доходы. А вот “в натуре” —и мы это уже знаем (см. Введение), — результат общественного производства сравнения с “пирогом” не выдержит. In natura, как говорили латиняне, результат общественного производства можно представить как весьма сложный набор самых разнообразных товаров и услуг. Именно они, а не некая однородная масса или смесь, и подлежат конечному распределению между гражданами.
Очевидно, что при равном распределении доходов, какими бы благими намерениями оно не оправдывалось, в обществе не будут производиться так называемые предметы роскоши, ибо их некому будет купить. Сошлемся еще раз, пусть это будет последняя ссылка, на столь нелюбимого всеми уравнителями И. Бентама: “При подведении всех частных богатств под один уровень общество должно лишиться всех тех предметов потребления, которые иначе не могут существовать, как образуя ценность, превышающую установленный уровень” (Бентам И. Избр. соч. С. 456). Подумайте, какие, по вашему мнению, конкретные предметы потребления имел в виду Бентам? Какие из ныне существующих благ не производились бы в таком обществе?
С другой стороны, столь же очевидно, что в обществе с неравным распределением доходов выпускаемая продукция и оказываемые услуги будут значительно разнообразнее, а структура потребления разных доходных групп будет существенно различаться. И то, что для одних будет предметом первой необходимости, для других может оказаться предметом роскоши (см. лекцию 15).
Теперь мы можем сформулировать следующий вопрос: а не может ли получиться так, что степень дифференциации доходов войдет в противоречие натуральным составом общественного продукта, так что достигнуть рыночного равновесия не удастся ни при каком уровне цен? Но прежде чем приступить к обсуждению этого вопроса, познакомимся с тем, как измеряется степень дифференциации доходов.
[1] Кржижановский Г. М. К идеологии социалистического строительства // Плановое хозяйство. 1926. № 2. С. 20
[2] Новожилов В. В. Проблемы измерения затрат и результатов при оптимальном планировании. М., 1972. С. 243
[3] Так, И. Бентам полагал, что если бы в античном мире число рабов равнялось бы числу рабовладельцев, то “в таком случае возможно было бы, что в общем результате сумма блага, порождаемого рабством, почти равнялась бы сумме порождаемого им зла”. Беда лишь в том, что число рабов превышало число рабовладельцев и, значит, сумма зла превышала сумму блага (Бентам И. Избр. соч. СПб., 1867. Т. 1. С. 427). Сравните мораль Бентама и мораль Ивана Карамазова, его слова о невозможности ни построить, ни принять общего счастья, оплаченного слезой ребенка. Что бы вы ответили Ивану?
[4] там же, с. 103
[5] Новожилов В. В. Проблемы измерения затрат и результатов... С. 244
[6] Бентам И. Избр. соч., С. 464. На этой же гипотезе, по существу, зиждется и коммунистический принцип распределения по потребностям, а не поровну. Правда, неясно, на чем может основываться в коммунистическом обществе неодинаковость нужд или функций полезности. Отсюда внутренняя несостоятельность декларируемого принципа.
[7] Пияшева Л. Где пышнее пироги? // Новый мир. 1987. № 5
РАЗДЕЛ 2. Способы измерения дифференциации доходов. Кривые Лоренца
Как велико неравенство доходов различных групп населения? Каким образом количественно оценить степень дифференциации доходов? Каково соотношение групп населения с относительно высокими и относительно низкими доходами? Какие статистические показатели имеются в нашем распоряжении?
Показатель среднего дохода, исчисленный как средняя арифметическая, очень чувствителен к увеличению или уменьшению доли высокодоходных или низкодоходных групп населения. В статистике большинства развитых стран для характеристики общего уровня доходов приводится не средний, а медианный их уровень, т. е. уровень, выше и ниже которого получает доход одинаковое число работников. Еще одной характеристикой, применяемой при исследовании доходов, является мода, представляющая собой наиболее распространенный уровень дохода.
Пусть, например, необходимо найти средний доход для совокупности из семи работников.
Мы можем действовать несколькими способами. Во-первых, просуммировав все доходы и поделив найденную величину на 7, мы получим среднюю арифметическую доходов. Во-вторых, проранжировав работников в порядке возрастания (или убывания) доходов, за средний доход мы можем принять доход работника, занимающего в ранжированной совокупности четвертую позицию, т. е. доход, выше и ниже которого получает доходы одинаковое число единиц данной совокупности (по три работника). В этом случае мы имеем дело с медианным уровнем дохода, отличие которого от среднего арифметического уровня заключается в том, что он характеризует действительный доход среднего человека, а не средний доход абстрактного человека. И наконец, в-третьих, за средний доход мы можем принять наиболее часто встречающийся в данной совокупности уровень дохода; если, например, у двух работников доходы совпадают, а у всех остальных различны, то данный уровень дохода можно считать средним для всей совокупности. Этот доход и получил название модального дохода. Таким образом, численное значение моды попадает в интервал дохода, которому соответствует наибольшая частота, или доля населения, получающая данный доход.
Таблица 1. Доходы населения в СССР: средний, медианный и модальный уровни (руб./мес.)
| Доход | |||||
| Средний Медианный Модальный | 109,6 101,9 89,0 | 125,8 116,6 89,1 | 141,2 132,8 112,5 | 149,6 140,8 118,2 | 164,6 158,0 133,8 |
Примечание. Рассчитано по данным статистических ежегодников “Народное хозяйство СССР” за 1988, 1989, 1990 гг.
На основе данных Госкомстата СССР о распределении населения по среднедушевому совокупному доходу попробуем сравнить показатели среднего, медианного и модального доходов (табл. 1). Из таблицы видно, что средний доход по абсолютной величине превосходит медианный и модальный доходы, причем рост его происходит в основном за счет увеличения доли лиц, имеющих высокие доходы, т. е. использование показателя среднего дохода приводит к существенному завышению уровня доходов основной массы населения и в значительной мере скрывает процесс их дифференциации. Значения модального дохода тяготеют к нижним группам распределения и отклоняются от медианного дохода в меньшую сторону. Однако попадание моды в тот или иной интервал зачастую носит случайный характер: достаточно небольшого изменения в распределении — и мода окажется уже в соседнем интервале. Например, в 1989 г. наиболее распространенным являлся уровень дохода от 100 до 125 рублей (такой доход получали 16.1 % населения), однако ввиду незначительных сдвигов в доходах, происшедших за 1989—1990 гг., наиболее распространенным интервалом оказался следующий интервал (125—150 руб.), а само значение моды возросло на 15.6 руб. Кроме того, доля населения в модальном интервале дохода может превышать другие доли весьма незначительно.
Однако все эти характеристики по-прежнему не позволяют ответить на вопрос о том, во сколько раз доходы одних групп населения превышают доходы других. В этом отношении анализ доходов целесообразно дополнить характеристиками, измеряющими разрыв между высокодоходными и низкодоходными группами населения. Такими характеристиками могут являться децильные, квартальные, квантильные и другие коэффициенты, которые подразумевают разбиение исходной совокупности на равные части и измеряют соотношение между доходами двух крайних групп. Если все население разбить на четыре группы и найти отношение среднего дохода последней группы (т. е. той четверти населения, которая имеет наиболее высокие доходы) к среднему доходу первой группы (т. е. группы, включающей низкодоходные слои населения), то мы получим квартальный коэффициент дифференциации доходов. Аналогично, разбив исходную совокупность на пять частей и найдя отношение среднего дохода последней группы к первой, получим квантильный коэффициент дифференциации. При нахождении же децильных коэффициентов совокупность разбивается на 10 равных групп (частей).
Еще один интересный прием анализа доходов населения с точки зрения их дифференциации состоит в расчете так называемых накопленных, или кумулятивных, частот (долей) и построении кумулятивных кривых, или кривых Лоренца (по имени американского статистика М. Лоренца). Рассмотрим на простом примере, как строится кривая Лоренца.
Четыре индивида (назовем их А, В, С и D) получают суммарный доход в 10000 руб. в месяц, который распределяется между ними в соответствии с данными табл. 2. Ясно, что такое распределение дохода не является равномерным. Подсчитав удельный вес дохода каждого индивида в общем доходе, мы можем сказать следующее: наименьшую долю дохода (10 %) получает А; А и В получают 10 + 15 = 25 % дохода, или, иными словами, одна половина людей получает четвертую часть, а другая — три четверти общего дохода.
.
. (16)
,
. (17)
.
,






