Зная об успешном опыте соседей, Россия также пытается решить проблемы институциональных преобразований и технической модернизации "Водоканалов" за счет внешних заимствований. На эти цели предназначены средства двух займов Мирового банка по проектам "Городское водоснабжение и канализация" и "Поддержка региональной социальной инфраструктуры". Привлекаются также займы ЕБРР, других международных финансовых учреждений и средства спонсоров. Проект такого рода, софинансируемый сразу несколькими институтами (ЕБРР, NEFCO, правительство города и др.), осуществляется с июля 1997 г. на "Водоканале" в Санкт-Петербурге, другой проект готовится в Новгороде. Решение проблемы цены и качества услуг локальных естественных монополий в России требует пересмотра принципов, норм и практики регулирования естественных монополий, включая регулирование тарифов, с целью превратить "Водоканалы" в финансово устойчивые предприятия, располагающие достаточными внутренними ресурсами и стимулами к эффективным ресурсосберегающим и природоохранным инвестициям, к осуществлению проектов, направленных на снижение издержек, улучшение качества питьевой воды, а также очистки стоков. Один из пунктов возможной реформы - отказ от порочной практики перекрестных субсидий, которая сложилась в России после либерализации цен 1992 г. Размер субсидий необходимо сокращать, обеспечивая скорейший переход к тарифу, основанному на принципе полной оплаты обоснованных издержек локальных естественных монополий.
ЗАДАЧИ
1. Функция спроса на продукцию монополиста Р = lOQ-1/2, а функция предельных издержек МС = Q2.
Найдите потери благосостояния, обусловленные монополией:
а) в случае, если монополия устанавливается без поиска ренты;
б) в случае, если монополия устанавливается в результате поиска ренты и имеет место 100%-ное растрачивание ренты (затраты на поиск ренты равны "прямоугольнику Таллока").
Лекция 49. Асимметрия информации
РАЗДЕЛ 0. У БАРБОСА ЕСТЬ ВОПРОСЫ. Сколько стоит кот в мешке?
БАРБОС. По-моему, в мешке он менее отвратителен, чем вне мешка. Но запах-то в мешке не утаишь...
ИГОРЬ. Осенние сумерки. Не включаем света. В окно хорошо видно, что делается на улице, а с улицы совершенно не видно, что делается в комнате.
АНТОН. Ну и что?
ИГОРЬ. Теперь включаем свет. В окно улица нам совершенно не видна. А вот с улицы прекрасно видно, что происходит в комнате.
АНТОН. О чем это ты?
ИГОРЬ. Так бы я начал фильм об информационной асимметрии.
АНТОН. А сюжет?
ИГОРЬ. Какой угодно. Я вижу, у тебя новый телевизор?
АНТОН. Позавчера купил.
БАРБОС. Телевизор просто замечательный. И передачи великолепные. Особенно про собачьи лакомства.
ИГОРЬ. Вот тебе сюжет. Ты покупаешь телевизор, приносишь домой, включаешь. И тут телеграмма: нужно срочно лететь в Гонконг.
АНТОН. А денег нет, приходится продать телевизор, дают только полцены...
ИГОРЬ. Правильно. За совершенно новый прекрасный телевизор. А почему?
АНТОН. Ясно, почему. Это я, продавец, знаю, что телевизор прекрасный. А покупатель не знает.
ИГОРЬ. Но ведь он может включить и посмотреть.
АНТОН. И увидит, что в данный момент он исправен. Но вообще-то продают и такие, которые день работают, день в ремонте.
ИГОРЬ. Конечно. На рынке есть и такие, и сякие. Вот покупатель, не зная ни особенностей этого экземпляра, ни причин, заставляющих тебя его продать, ориентируется на некоторый средний случай.
АНТОН. Сейчас теория как раз заинтересовалась такими ситуациями, когда продавец лучше осведомлен о товаре, чем покупатель.
БАРБОС. Хозяин говорит, что теория оперирует идеальными объектами. В качестве идеального покупателя подошел бы Сократ: он как-то сознался, что знает только то, что ничего не знает.
ИГОРЬ. Это весьма распространенная ситуация - и на рынках труда, и на финансовых рынках.
АНТОН. А может покупатель знать больше, чем продавец?
ИГОРЬ. Пожалуйста, это следующий сюжет. Ты покупаешь страховку, а назавтра участвуешь в любительских мотогонках по вертикальной стене.
БАРБОС. Какой ужас! Когда хозяин едет на велосипеде, я бегу рядом. Но за мотоциклом! Да еще по вертикальной стене!
АНТОН. Надеюсь, фильм со счастливым концом?
ИГОРЬ. Не беспокойся. Но до конца нужно еще многое показать. Скажем, о трансакционных затратах, среди которых - затраты на поиски информации.
БАРБОС. Вечно у людей какие-то сложности. Не то что у собак. Обнюхали друг друга - и добились полной и симметричной информации.
АНТОН. А также затраты на передачу информации. Продавая телевизор, я много потерял из-за неинформированности покупателя. Хорошо было бы подать ему какой-нибудь сигнал.
ИГОРЬ. Не какой-нибудь, а такой, который владелец плохого телевизора подать не в состоянии. Тут надо подумать. А следующий сюжет будет вот про что. Твоей швейной мастерской продали негодную ткань. Ты хочешь возбудить иск к поставщику и нанимаешь адвоката.
АНТОН. Догадываюсь: речь пойдет о проблеме "принципал-агент".
БАРБОС. Про приключения агентов есть очень много фильмов. Вчера показывали даже про суперагента. А вот про приключения принципала - это очень оригинально.
ИГОРЬ. Правильно. Адвокат лучше, чем ты, знает всякие юридические тонкости, но у неге свои интересы. Он добывает нужные и ненужные бумаги, умело затягивает дело и надолго обеспечивает себя неплохим заработком. В конце концов он с блеском выигрывает процесс - ради собственной репутации.
АНТОН. Это и есть хеп-пи-энд?
ИГОРЬ. Да. После этого титры: "Конец фильма".
БАРБОС. А еще по телевизору выступал красивый молодой человек и читал стихотворение Бертольта Брехта "Собака". Про эту самую проблему. Я запомнил слово в слово:
Садовник сказал мне:
-Ваш пес ловок, умен
И куплен
С целью охраны садов.
А вы его воспитали
По несуразному принципу:
"Собака - друг человека".
Не понимаю, за что
Он получает жратву?
РАЗДЕЛ 1. Рынки с асимметричной информацией
Спрос на товар неизвестного качества
Согласно строгим принципам микроэкономики, блага различного качества - это различные блага, и продаются они на различных рынках. Однако существуют ситуации, когда качество приобретаемого блага покупатель в момент совершения покупки не в состоянии оценить. В строгом смысле это означает, что покупатель не ведает, что именно он покупает. Это выяснится позже, в процессе использования покупки. Простым примером такой ситуации служит покупка электрической лампочки. Отдельные экземпляры имеют различный срок службы. Вы сможете выяснить, сколько проработает купленная вами лампочка, только тогда, когда она перегорит.
При обсуждении дифференциации продукта мы отмечали, что продукты различны, если потребитель считает их различными, вне зависимости от того, различаются ли они "на самом деле". И vice versa, если потребитель не видит различий между товарами, по крайней мере на момент покупки, то это - единый товар, и вполне уместно говорить о спросе на этот товар. Неполнота информации о товаре означает, что покупатель знает, какими качественными характеристиками могут обладать различные экземпляры товара и насколько распространены среди предлагаемых на рынке экземпляры того или иного качества; но он не знает качество того конкретного экземпляра, который он намеревается купить.
Излюбленный аксессуар теории вероятностей - урна с шарами. Допустим, что потребитель готов заплатить за белый шар 60 р.; черные шары ему нравятся меньше, и он согласен заплатить за черный шар только 10 р. Но ему предлагают вытянуть шар, не заглядывая в урну. Какую сумму он согласится заплатить за такую возможность? Если он знает, что черных и белых шаров в урне поровну, он, вероятно, оценит возможность покупки шара неизвестного цвета в (60 + 10)/2 = 35 р. Но если он знает, что белые шары составляют только 20 % общего числа, а остальные 80 % - черные шары, то он согласится участвовать в сделке при цене не выше 0.2 · 60 + 0.8 · 10 = 20 р.
Обобщая, можно сказать, что если для белого и черного шаров цена спроса равна соответственно Р1 и Р2, а доли шаров каждого цвета составляют w1 и w2 то цена спроса на "шар неизвестного цвета" равна Р* = w1Р1+w2Р2. Если же ассортимент шаров шире и включает шары га различных цветов, то:

Здесь wk - доли шаров различного цвета. Каждая из величин wk есть в то же время вероятность того, что случайно извлеченный шар имеет k-тый цвет, так что цена Р* есть математическое ожидание цены спроса на шар случайного цвета.
Заметим, что цена спроса на "шар неизвестного цвета" тем выше, чем больше доля дорогих (более привлекательных) шаров в урне; с уменьшением этой доли падает и цена спроса.
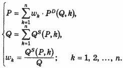
Здесь неявно использовано предположение, что покупатель нейтрален по отношению к риску. Если, например, покупатель несклонен к риску, то цена спроса окажется меньше приведенного здесь значения Р*. Учет особенностей отношения покупателей к риску излишне усложнил бы дальнейший анализ эффектов, связанных с асимметрией информации. Основной вывод - возрастание цены спроса с ростом доли более привлекательных шаров в урне - остается в силе при любом типе потребительского отношения к риску. Поэтому ради простоты мы всюду в данной лекции считаем, что потребители рисконейтральны. Если бы покупатели точно знали качественные характеристики приобретаемого товара, их желание купить товар описывалось бы обычной функцией спроса, причем каждому уровню качества соответствовала бы своя функция QD(P, k), где k - показатель качества. Ограниченность информации, имеющейся у покупателя, состоит в следующем: он знает, какие на рынке имеются товары (т. е. знает множество значений показателя k), и, кроме того, знает доли wk товаров каждого уровня качества на рынке, но не знает, к какой категории качества относится тот или иной экземпляр товара. Иными словами, он располагает лишь статистической информацией об имеющемся на рынке товаре.
Как отмечалось, в подобных условиях цена спроса формируется как средняя из цен спроса товаров различного качества, взвешенная по рыночным объемам предложения (или, что равносильно, по долям) товаров различного качества. Для описания этого процесса удобно воспользоваться обратными функциями спроса - PD(Q, k). Обратная функция спроса в условиях неполной информации описывается равенством:

Таким образом, формирование кривой спроса на товар неизвестного качества (или смесь товаров раз- личного качества) есть вертикальное усреднение кривых спроса на товар отдельных градаций качества с весами, равными долям этих градаций.
Равновесие рынка с асимметричной информацией
Рассмотрим сначала рынок, на котором продавцы и покупатели располагают одинаковой информацией о товаре: и те и другие знают, что товар неоднороден в качественном отношении, знают, какие качественные характеристики и в каких количествах встречаются в общей массе товара, но не знают индивидуальных свойств отдельных единиц товара. Примером такого рынка может служить уже упоминавшийся рынок электролампочек. Лампочки по технологическим причинам получаются неодинаковыми, и изготовитель, так же как и покупатель, может оценить продолжительность их свечения лишь статистически. При этом существует одна функция предложения лампочек, не зависящая от их качественных характеристик.
Существенно иная картина возникает, когда продавец и покупатель располагают различной информацией о качестве продаваемых единиц товара, т. е. информация распределена между участниками сделок асимметрично. Здесь типичным является случай, когда покупатель оценивает качество товара статистически, а продавцу известно качество каждой единицы товара индивидуально.
Основы теории рынков с асимметричной информацией были изложены в статье Дж. Акерлофа,[1] показавшего значение этой теории для анализа различных рынков - труда, страхования, кредитов и мн. др. Но в качестве примера для демонстрации предлагаемого подхода он использовал рынок подержанных автомобилей. Покупатель знает модель, возраст, пробег автомобиля, но не знает его индивидуальных особенностей, которые выявляются только в ходе эксплуатации и которые известны продавцу. Спрос покупателя определяется статистическими характеристиками группы автомобилей, обладающих данным набором явных признаков, и рынком устанавливается единая цена для всей группы - и для лучших образцов, и для "лимонов".[2]
Допустим, что в начальный момент по каким-то причинам на рынке оказалось поровну хороших автомобилей и "лимонов" (в настоящем разделе для простоты будем считать, что существуют только две градации качества). Цена спроса окажется простой средней арифметической из цен спроса хороших и плохих автомобилей (соответствующая кривая спроса на рис. 1 обозначена как D0,5).

Рис. 1. Формирование спроса на товар неизвестного качества. D1, D0 - кривые спроса на хорошие и плохие единицы товара; D0,75, D0,5, D0,25 - кривые спроса на товар неизвестного качества, в котором на хорошие единицы приходится доля 0.75, 0.5, 0.25 соответственно.
Такая цена может не ус троить некоторых продавцов хороших автомобилей, и они откажутся их продавать, но обладателей плохих автомобилей она может подтолкнуть к продаже. В результате доля хороших автомобилей на рынке сократится, плохих - возрастет. Допустим, теперь на рынке хорошие автомобили будут составлять только 25 %, а на плохие будет приходиться 75 % рынка, Покупатели оценят изменившуюся ситуацию, их спрос снизится (теперь он будет представлен кривой D0,25). Снизившаяся цена побудит еще какую-то часть владельцев хороших автомобилей отказаться от продажи, рыночная доля хороших автомобилей еще снизится, снизится цена спроса и т. д. В конце концов хорошие автомобили могут оказаться полностью вытесненными с рынка, и на нем установится равновесие спроса и предложения "лимонов". Асимметрия информации в этом случае полностью заблокирует сделки с хорошими автомобилями, хотя при полной информированности покупателей эти автомобили могли бы продаваться и покупаться по своей равновесной цене. Блокировка не возникла бы и в случае неполной, но симметричной информации (как в примере с лампочками): у продавцов хороших автомобилей, не знающих, что их автомобили хорошие, были бы точно такие же мотивы к продаже, как у владельцев "лимонов".
Рассмотрим условия равновесия на рынке с асимметричной информацией.
Прежде всего заметим, что продавцы различают единицы товара с разными градациями качества, и для каждой градации устанавливается своя функция предложения (рис. 2,а}.
Так как все единицы продаются одной и той же цене, общий рыночный объем предложения товара при каждом значении цены представляет собой сумму объемов, предлагаемых по данной не, по всем градациям:

т. е. кривая предложения, с которым встречаются покупатели, формируется как горизонтальная сумма соответствующих кривых для отдельных градаций. Особенность рассматриваемого типа рынка состоит в том, что от цены зависит не только общий объем, но структура предложения, т. е. соотношение объемов товара разных градаций качества (рис. 2,6).
Доли общего объема предложения, приходящиеся на каждую градацию качества, выражаются равенством:

Каждая из кривых спроса, приведенных на рис. 1, построена для фиксированной структуры предложения, которая в рассматриваемом простом случае представлена долей хороших изделий.
Однако структура предложения в свою очередь зависит от цены.
Таким образом, равновесие на рассматриваемом рынке характеризуется тем, что при установившейся цене кривая спроса соответствует структуре предложения, а объем спроса равен объему предложения.

Рис. 2. Объем и структура предложения товара неизвестного качества. а - S1 и S0S - общая кривая предложения на рынке; б - структура предложения в зависимости от цены.
Равновесная цена (Р), объем (Q) и структура продаж (w1, w2,..., wn) должны удовлетворять системе уравнений:

Характер равновесия, которое в конце концов установится на рынке, зависит от различных обстоятельств, из которых выделим степень различия градациями качества. На рис. 3 представлены три равновесия типа равновесия для случая двух градаций. Кривые спроса на хорошие и плохие экземпляры обозначены соответственно D1 и D0 кривые предложения - S1 и S0; кривая суммарного предложения обозначена S.



Рис. 3. Типы равновесия на рынке с асимметричной информацией. а - в состоянии равновесия на рынке предлагаются обе градации качества; в точке равновесия выполняется соотношение РE = (P0Q0 + P1Q1) / QE; б - хорошие единицы полностью вытеснены с рынка; в - равновесный объем сделок равен нулю.
При сравнительно небольшой дифференциации качества (рис. 3,а) устанавливается равновесие, при котором на рынке представлены обе градации товара. Здесь кривая DE показывает спрос при равновесной структуре продаж. Точка равновесия Е расположена таким образом, что выполняется соотношение:

При большей дифференциации хороший товар полностью вытесняется плохим - имеет место так называемый эффект "лимонов" (рис. 3,6).
Наконец, плохой товар может быть настолько плох, что при любом объеме цена спроса на него меньше цены предложения (рис. 3,е), и сделки на таком рынке не состоятся вовсе.
[1] Akerlof GA. The market for "lemons": Quality uncertainty and the market mechanism // Quart. J. Econ. 1970. Vol. 84. P. 488-500. - Рус. пер.: Акерлоф Дж. Рынок "лимонов": неопределенность качества и рыночный механизм // THESIS. 1994. Вып. б. С. 91-104.
[2] Лимонами (lemons) на американском сленге называют негодные вещи.
РАЗДЕЛ 2. Эффекты асимметрии
Неблагоприятный отбор
Если бы асимметрия информации и порождаемые ею эффекты сказывались только на рынках подержанных вещей, едва ли она заслуживала бы того внимания, которое сегодня уделяется ей в экономической науке.
Но в действительности она распространена весьма широко; вероятно, не будет преувеличением сказать, что в той или иной мере асимметрия информации присутствует на всех рынках, только в одних случаях ее действие ничтожно, в других - весьма значительно. В примере, рассмотренном в предыдущем разделе, продавцы располагали конкретной информацией о товаре, покупатели оценивали его статистически. Такая ситуация характерна для товарных рынков, но не только для них.
Подобные явления наблюдаются на рынках труда. Нанимающийся на работу (продавец трудовых услуг) имеет конкретное представление о своей профессиональной подготовленности, о своих умениях, физических возможностях и т. д., словом, о качестве располагаемого им человеческого капитала. Работодатель (покупатель трудовых услуг) имеет статистическое представление о категории работников, к которой может быть отнесен данный человек: ему известны пол, возраст, образование и, возможно, еще некоторые характеристики. Ставка заработной платы устанавливается работодателем на основе его представлений о статистической структуре предложения труда. Она может вполне устроить работников с низкими деловыми данными, но может показаться недостаточной для работника с высоким профессиональным уровнем. Следствием явится соответствующее изменение структуры предложения, и равновесие на рынке будет подчинено тем же условиям, которые мы рассмотрели для случая товарного рынка.
Но возможна и противоположная ситуация, когда покупатель обладает более полной информацией об объекте сделки, чем продавец.
В качестве примера рассмотрим рынок страховых услуг. Пусть для определенности речь идет о страховании строений от пожара. Страховая фирма (продавец услуги) знает, что на 1000 одноэтажных деревянных строений в течение года в среднем приходится один пожар. Пренебрежем рискофобией страховой фирмы, ее трансакционными затратами и т. д. и будем считать, что она устанавливает годовой страховой взнос в размере 1/1000 стоимости строения. Таким образом, собираемая фирмой сумма страховых взносов окажется как раз достаточной для выплаты погорельцам - при условии, что страхуются все строения такого рода.
Но в действительности покупатели страховых услуг - страхователи - сами принимают решения о том, стоит ли им страховать свое строение. Скажем, г-н А - ответственный и хозяйственный человек, следящий за состоянием электропроводки и другими возможными источниками пожара, и такими же свойствами обладают владельцы соседних домов. Для него вероятность пожара значительно меньше 1/1000. Если он нейтрален по отношению к риску, то условия страхования для него невыгодны, и он, по всей вероятности, откажется от страхования.
Г-н Б владеет таким же домом. Он рассеян и легкомыслен (и знает об этом), он нередко забывает о чайнике, оставленном на газовой плите, курит в постели и т. д. Да и соседи его не лучше, что дополнительно повышает вероятность пожара. В целом для г-на Б она оказывается значительно выше 1/1000 скорее всего, застрахует свой дом.
Итак, владельцы домов, вероятность пожара в которых меньше 1/1000 откажутся от страхования, а те, для кого вероятность выше этого уровня, - купят страховку. Но вероятность, равная 1/1000 исчислена по всем строениям рассматриваемого типа; она равна среднему значению из индивидуальных вероятностей для отдельных домов. Но все застрахованные на рассматриваемых условиях дома характеризуются вероятностью пожара, превышающей 1/1000. Допустим, что в целом для застрахованных домов эта вероятность составит 1/1000 и что фирма с учетом этого обстоятельства удваивает размер страхового взноса. Но на этих условиях откажутся страховаться и те владельцы домов, для которых вероятность пожара лежит между 1/1000 и 2/1000. Рассмотрим ситуацию в более общем виде. Пусть объекты страхования имеют различные вероятности рi наступления страхового случая в течение периода страхования и для множества объектов средняя вероятность равна Р. Рисконейтральная страховая фирма, функционирующая без затрат, устанавливает страховой взнос в размере доли Р от стоимости объекта. Но владельцы объектов, для которых рi < Р, откажутся от страхования. Согласятся только те, для которых рi ≥ Р. Возможно ли равновесие на таком рынке? Условие равновесия состоит в том, чтобы величина Р оказалась средней из которых рi для таких объектов, для каждого из которых выполняется неравенство которых рi ≤ Р. Это возможно только в том случае, если значение Р равно максимальному из всех встретившихся значений рi. Если все объекты характеризуются различными вероятностями наступления страхового случая, то застрахованным окажется только один, "наихудший", объект.
В этом случае оба участника сделки не получат никакой выгоды, но и не понесут никаких потерь. Заметим, что и при полной информированности обеих сторон о вероятности страхового случая возможны будут лишь сделки с нулевым эффектом, если все участники сделок рисконейтральны: равновесные страховые взносы будут различны и в каждом случае равны рi. А если учесть трансакционные затраты, налоги и т. д., то страхование в рисконейтральной среде вообще окажется невозможным. Таким образом, несклонность страхователей к риску - необходимое условие добровольного страхования при любом распределении информации.
В действительности, как мы знаем, страхование существует, и страхуется не единственный объект, так как предположение о безразличии хозяйственных субъектов к риску не соответствует реальности. Можно утверждать, что все лица, заключившие договоры добровольного страхования, не склонны к риску. Однако сделанный нами вывод об эффекте асимметрии остается в силе, хотя и в несколько ослабленной форме: число заключенных сделок существенно меньше, чем при симметричном распределении информации, а множество застрахованных объектов характеризуется более высоким общим уровнем вероятности наступления страховых случаев.
Итак, кто бы ни обладал большей полнотой информации - продавец или покупатель, - асимметричное распределение информации приводит к полному или частичному вытеснению с рынка "хороших" товаров "плохими". Это явление получило название неблагоприятного отбора (возможно, по контрасту с биологическим естественным отбором - отбором благоприятных свойств). Ущерб от неблагоприятного отбора терпят и продавцы хороших товаров, и покупатели, и страховые фирмы, и страхователи, словом, участники всех рынков, на которых этот эффект оказывается значительным.
Риск недобросовестности
К неблагоприятному отбору близок по своим последствиям другой эффект, возникающий в тех случаях, когда объектами рыночных сделок становятся контракты, действующие в течение более или менее длительного срока, и также связанные с асимметрией информации. Речь идет об изменении поведения субъекта после заключения контракта, когда другой участник сделки не в состоянии проконтролировать поведение своего контрагента.
Обратимся снова к страхованию и рассмотрим следующий пример. Некоторая компания имеет имущество стоимостью 1 млн р. Компания не застрахована, осуществляет противопожарные меры, которые обходятся ей в 1500 р. в год и позволяют поддерживать вероятность пожара в течение года меньше 1/1000. Допустим, что страховая фирма предлагает заключить договор страхования с ежегодным взносом 1000 р., и наша компания соглашается. Теперь она считает себя защищенной страховым полисом от ущерба, который может быть причинен пожаром, и в дальнейшем не предпринимает никаких противопожарных мер, вследствие чего вероятность пожара возрастает до 2/1000 в год (г-н А из предыдущего примера после приобретения полиса превратился в г-на Б).
Тем самым компания снизила свои годовые расходы на 500 р., полностью исключила возможный ущерб от пожара, а ожидаемые выплаты, которые должна производить страховая фирма, оказались на 1000 р. больше, чем при "доконтрактных" условиях. Если фирма, имеющая опыт страхования, учитывает возможное изменение поведения страхователя и повышает размер страхового взноса, то это обстоятельство деформирует и отбор страхователей, и их поведение, так что последствия будут напоминать описанный выше процесс неблагоприятного отбора.
Отметим, что описанный эффект связан именно с асимметрией информации: предполагалось, что контрактом не предусмотрен контроль компании со стороны страховой фирмы. Если бы контракт предусматривал периодическую инспекцию и сохранял за страховой фирмой право повышения страхового взноса или расторжения контракта при невыполнении компанией определенных требований безопасности, она была бы вынуждена сохранять уровень безопасности, имевший место до страхования.
Подобного рода условия выдвигаются, например, службами охраны квартир, офисов и других помещений. Но, например, контроль водительского поведения владельца застрахованного автомобиля представляется совершенно невозможным. Возникающая у одного из участников контракта возможность использовать отсутствие контроля со стороны другого участника для извлечения выгоды получила название риска недобросовестности[3]. Обычно в качестве иллюстраций риска недобросовестности приводят различные ситуации в страховании, однако сфера его проявлений значительно шире. Другой обширный класс ситуаций, связанных с риском недобросовестности, образует продажа на условиях абонементной платы - шведский стол, помесячная оплата телефона, газа и т. д.






