Учет инфляции при оценке экономической эффективности
Расчет экономической эффективности можно проводить в базисных, прогнозных и расчетных ценах. Базисные цены - это цены, сложившиеся на момент проведения расчета. Расчет рекомендуется проводить на стадии технико-экономического решения, т.е. на стадии выбора вариантов осуществления проекта. На стадии технико-экономического обоснования рекомендуется проводить расчет всех денежных потоков в прогнозных ценах. Это позволяет учитывать влияние инфляции. Инфляция - снижение покупательной способности денежных средств, в результате чего прогнозируемые масштабы затрат и доходов по годам расчетного периода растут в соответствии с принятыми темпами инфляций:
(8.18)
Цп - прогнозная цена; I - индекс инфляции, т.е. индекс изменения цены от первого года к году.
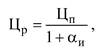
Расчетные цены применяются для определения показателей эффективности (ВНД, ЧДД):
![]() |
(8.19)
где αи - средний темп инфляции в год.
При использовании базисных (постоянных) цен обеспечивается соизмеримость всех стоимостных показателей на протяжении срока жизни проекта, при этом необходимо, чтобы исходные параметры, выражающие стоимость капитала (например, процентные ставки по кредитам, депозитным вкладам), были очищены от инфляционной составляющей.
|
|
|
С учетом инфляции различают:
Eн - номинальную ставку дисконта, существующую на данный
момент времени и включающую инфляцию;
Еp - реальную ставку дисконта, т.е. очищенную от инфляции:
![]() |
(8.20)
Формула справедлива, если темп инфляции не высок (от 3...5 %); если темп инфляции больше 5 %, то применяют другую формулу:
![]() |
(8.21)
На всех стадиях предынвестиционных исследований в той или иной степени присутствует фактор неопределенности. Естественно, степень неопределенности будет уменьшаться по мере уточнения исходной информации, изучения сложившейся ситуации, определения целей проекта и конкретных способов их достижения. Однако полностью исключить неопределенность при планировании в принципе невозможно. Поэтому общая оценка проекта должна выполняться с учетом возможных изменений внешних и внутренних параметров при его осуществлении. Кроме того, риск может быть связан с характером проекта.









