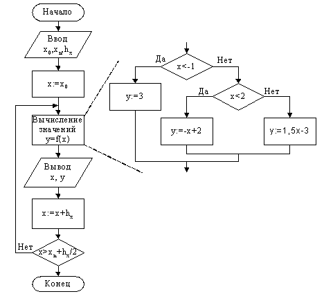
Построение алгоритмов с использованием цикла с постусловием
Пусть необходимо протабулировать функцию
, т. е. получить таблицу ее значений, заданную графиком, на отрезке
с постоянным шагом
.

График функции
Для вычисления значений функции необходимо представить ее в аналитическом виде:

и обеспечить изменение ее аргумента
от начального значения
до конечного
с шагом
по формуле
. Перед входом в цикл аргументу
необходимо присвоить его начальное значение
. Для обеспечения возможности повторного выполнения тела цикла или прекращения его выполнения текущее значение аргумента должно сравниваться с правой границей заданного интервала
. Во избежание возможных ошибок округления правую границу интервала целесообразно увеличить на величину полушага
. Для каждого значения аргумента вычисляется функция и производится вывод текущих значений. Тогда схема алгоритма будет иметь вид:







