•Водооборотные циклы технологических систем являются одним из главных направлений охраны и рационального использования водных ресурсов. В этих циклах осуществляется многократное использование воды без выбросов загрязненных стоков в водоемы, а расходование свежей воды и восполнение ее связаны только с необходимыми технологическими превращениями и естественной убылью (испарение, брызгоунос и т. п.).
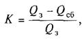
•Критерием эффективности водооборотного цикла на предприятии является коэффициент использования воды
![]() |
где Q з и Q сб— количества забираемой из источника свежей воды и сбрасываемой в водоем сточной воды
•Методы обезвреживания твердых промышленных отходов:
•биологическое окисление;
• термическая обработка;
•складирование отходов на поверхности земли;
•захоронение особо вредных отходов на участках, не имеющих хозяйственного значения: овраги, карьеры, шурфы, траншеи, скважины.
•Термическая обработка - наиболее надежный способ обезвреживания и утилизации твердых отходов. Сжигание осуществляют в высокотемпературных химических реакторах - печах, обеспечивающих:
|
|
|
•хорошее перемешивание для развития поверхности контакта фаз и для ускорения внешней и внутренней диффузии кислорода с целью максимального окисления органической части отходов;
• высокую температуру, достаточную для полного обезвреживания токсичной части отходов (1100-15000С)
•Захоронение твердых промышленных отходов в поверхностных хранилищах - наиболее распространенный способ их обезвреживания. Такой способ приводит к отчуждению больших участков земли, которые могли бы полезно использоваться, и к загрязнению поверхностных и подземных вод.
•В дальнейшем этот способ должны быть заменен полной утилизацией твердых отходов, в первую очередь в качестве вторичного сырья.







