Функциональная схема ВУ
Преобразование частотного спектра при выпрямлении
Выпрямителем называется статический преобразователь переменного тока в постоянный. В источниках вторичного электропитания (ИВЭП) выпрямители самые распространенные узлы.
Аппаратура связи предъявляет жесткие требования к качеству питающих напряжений, одним из главных показателей которого является содержание переменных составляющих. В таблице приведены уровни постоянного напряжения и допустимое содержание переменных составляющих.
Наиболее жесткие требования предъявляются к напряжению питания аппаратуры АТС. Это связано с тем, что переменные составляющие напряжения источника питания АТС, воздействуя на цепь телефона, образуют в ней пульсирующие токи, которые воспринимаются человеческим ухом в виде шума (фона), мешающего восприятию речи. Из-за высокой чувствительности слухового восприятия в полосе частот 0,3…3,4 кГц допустимый уровень переменных составляющих должен быть очень мал. В других типах аппаратуры переменные составляющие либо не связаны со слуховым восприятием сигналов (например, цифровая техника), либо в ней имеется возможность дополнительного ослабления пульсаций (модуляторы, генераторы).
|
|
|
| Номинальное напряжение, В | Допустимый уровень переменных составляющих | Пример применения | Диапазон значений потребляемого тока |
| - 60 | 2…4* мВ | Аппаратура автоматической коммутации | 0,1-1 кА |
| - 24 | 2 мВ | Каналообразующая аппаратура | 0,1 кА |
| + 5 | Не более 100 мВ | ТЭЗ на цифровых микросхемах | < 5 А на один ТЭЗ ** |
| + 12 | Не более 0,5 мВ | Аналоговые микросхемы | 0,01…0,1 А |
| 100…1000 | 5% | Цепи дистанционного питания | 0,1…0,2 А |
| (5…10)∙103 | 2…5% | Анодные цепи радио устройств | 2…20 А |
| (15…25)∙103 | 1…5% | Анодные цепи ЭЛТ, генераторов большей мощности | 1 мА - 10 А |
* Псофометрическое напряжение; ** Типовой элемент замены
Требуемые качественные и эксплуатационные характеристики ВУ обеспечиваются дополнительными функциональными блоками.

Т – трансформатор; БВ – блок выпрямителя; Ф – фильтр; ДТ1, ДТ2 – измерительные датчики тока; В – вспомогательный выпрямитель; УУ – управляющее устройство
Основными элементами ВУ являются трансформатор, выпрямляющее звено и сглаживающий фильтр.
Трансформатор обеспечивает преобразование уровня напряжения сети и гальваническую развязку цепей питающей сети и нагрузки.
Блок выпрямления БВ обеспечивает преобразование знакопеременного напряжения на его входе в пульсирующее напряжение Ud(t).
Сглаживающий фильтр уменьшает содержание переменных составляющих в спектре выходного напряжения.
Дополнительные элементы обеспечивают регулирование, стабилизацию выходных параметров, защиту от опасных перегрузок по току и от КЗ.
|
|
|
По степени управляемости, полупроводниковые приборы делятся на:
неуправляемые приборы (диод, стабилитроны);
приборы с ограниченным управлением (тиристоры);
управляемые приборы (транзисторы).
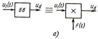
С позиций математики работу блока выпрямления можно представить в виде перемножения переменного напряжения u1(t), поступающего на вход блока, на единичную функцию переключения F(t).
Физически эту функцию характеризует закон переключения полупроводниковых приборов в блоке БВ и отображает либо сигнал управления (для управляемых приборов БВ), либо интервалы проводимости приборов (для неуправляемых и ограниченно управляемых приборов).
В зависимости от числа фаз напряжения и вида функции F(t) могут быть получены различные варианты выпрямления. На рисунке показаны диаграммы работы однофазных выпрямителей (рис. б-г). Для схемы рис. б (с идеальным диодом) в нагрузку передается один полупериод напряжения u1(t). Поэтому такой выпрямитель называют однополупериодным.
Схема рис. в,г соответствует двухполупериодному выпрямлению. В первом случае период пульсаций совпадает с периодом напряжения питания (Tn=T1), во втором случае Tn=0,5T1.
Если функцию F(t) сдвинуть по отношению к u1(t) на время
(или угол
), то изменится ud(t) и его постоянная составляющая (рис. г). Такая идея используется при построении управляемых выпрямителей. Очевидно, в этом случае полупроводниковые приборы БВ должны быть управляемыми.
В случае многофазного напряжения, в формализованном описании в БВ к перемножению добавляется операция суммирования результатов, перемножения напряжения отдельных фаз.

Однофазная схема выпрямления трехфазного напряжения при таком подходе представляется диодным сумматором. В схеме катоды диодов объединены, поэтому диодную группу называют катодной. При смене направления включения всех диодов (т.е. при образовании анодной группы) изменяется направление тока в нагрузке и знак выходного напряжения. В схеме обеспечивается однополупериодное выпрямление, при этом период пульсации
.
Трехфазная двухполупериодная схема выпрямления дополняется анодной группой диодов.
На основе изложенных схем БВ могут строиться каскадные выпрямители. Так, если имеются две трехфазные системы напряжения (отличающиеся фазовым сдвигом), то при мостовом выпрямлении напряжений каждой системы и последующем суммировании напряжений двух мостов возрастает результирующее напряжение, а период пульсаций уменьшается вдвое по сравнению с трехфазной мостовой (в этом случае р=12). р – число импульсов выпрямленного напряжения за период питающей сети.






