(«когнитивный» от латинского cognitio — познание)
В современном понимании, «когнитивными» называют не только процессы мышления, но и любые формы взаимодействия человека и среды, основанные на построении образа ситуации.
Термин предложен в 1948 в работе американского психолога Э. Толмена "Когнитивные карты у крыс и человека".
Когнитивная психология занимается изучением процессов восприятия, осмысления и понимания у человека.
Когнитивистика (когнитивная наука) (лат. cognitio — познание) — междисциплинарное научное направление, объединяющее теорию познания, когнитивную психологию, нейрофизиологию, когнитивную лингвистику и теорию искусственного интеллекта.
В когнитивистике совместно используются компьютерные модели, взятые из теории искусственного интеллекта, и экспериментальные методы, взятые из психологии и физиологии высшей нервной деятельности, для разработки точных теорий работы человеческого мозга.
Методология когнитивного моделирования, предназначенная для анализа и принятия решений в плохо определенных ситуациях, была предложена Аксельродом [Axelrod R. The Structure of Decision: Cognitive Maps of Political Elites. – Princeton. University Press, 1976]
Слабоструктурированные системы (экономика, социология, экология и т. п.):
· многоаспектность происходящих в них процессов и их взаимосвязанность;
· отсутствие достаточной количественной информации о динамике процессов, что вынуждает переходить к качественному анализу таких процессов
· изменчивость характера процессов во времени и и т. д.
Когнитивное моделирование содержит несколько взаимосвязанных этапов:
· когнитивная структуризация;
· структурный анализ когнитивной модели;
· сценарное моделирование развития ситуации;
· оценка и интерпретация результатов моделирования;
· корректировка когнитивной модели.
Структуризация ‑ синтез знаний о системе и внешней для нее среде.
Цель ‑ построение когнитивной карты, позволяющей выявить наиболее существенные (базисные) факторы, характеризующие взаимодействие объекта и внешней среды, установить качественные связи между ними.
Когнитивная карта отражает субъективные представления эксперта исследуемой проблемы и ситуаций, связанных с функционированием и развитием анализируемой системы.
Составными элементами когнитивной карты) являются факторы (базисные факторы, концепты) и причинно-следственные связи между факторами.
Факторы определяют и ограничивают наблюдаемые процессы и явления в анализируемой системе и внешнем окружении.
Наиболее часто КК представляют в виде ориентированных графов. Вершинами графа являются факторы (характеристики ситуации), а дуги определяют причинно-следственные связи.

а — положительная связь;
б — отрицательная связь
В знаковом графе влияние одного фактора на другой обозначается знаками «+», если увеличение (уменьшение) одного фактора приводит к увеличению (уменьшению) другого, или «-», если увеличение (уменьшение) одного фактора приводит к уменьшению (увеличению) другого.

Знаковый граф (знаковая КК)
Если дугам поставлены в соответствие весовые коэффициенты в определенной шкале, то граф взвешенный

Взвешенный граф (числовая КК)
Описания зависимости факторов (влияния концептов друг на друга) и соответственно, их изменения могут иметь лингвистические значения («низкий», «незначительный», «высокий» и др.), имеющие свою числовую интерпретацию в виде функций принадлежности.

Различают два типа задач анализа ситуаций на основе КК.
Анализ влияния (статический анализ) — анализ исследуемой ситуации на основе изучения структуры взаимовлияний факторов
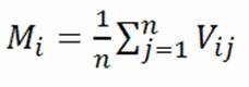
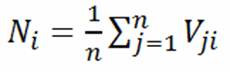
Используются характеристики:
· Влияние одного концепта на другой
· Влияние каждого концепта на систему
· Влияние системы на концепты







Модель «Санитарное состояние города»
Динамический анализ — анализ, который лежит в основе генерации возможных сценариев развития ситуации во времени
Изменение значений фактора во времени под воздействием других факторов задается уравнением

Важным аспектом анализа динамических систем является исследование их устойчивости, явлений резонанса, обусловленных взаимодействием циклом в процессах изменения факторов, а также поиск стратегий управления, использующих модификацию; структуры системы.

Пример устойчивого импульсного процесса

Пример неустойчивого импульсного процесса
Разработан ряд инструментальных средств когнитивного моделирования, позволяющих в диалоговом режиме строить когнитивные карты, проводить их анализ, определять силы и направления влияния факторов на перевод исследуемой системы в целевое состояние.

когнитивная карта задачи управления инновационным механизмом
