В качестве предмета исследования искусственные нейронные сети впервые заявили о себе в 1940-е годы. Стремясь воспроизвести функции человеческого мозга, исследователи создали простые аппаратные (а позже программные) модели биологического нейрона и системы его соединений. Когда нейрофизиологи достигли более глубокого понимания нервной системы человека, эти ранние попытки стали восприниматься как весьма грубые аппроксимации. Тем не менее, на этом пути были достигнуты впечатляющие результаты, стимулировавшие дальнейшие исследования, которые привели к созданию более изощренных сетей.

Рис. 2.1.
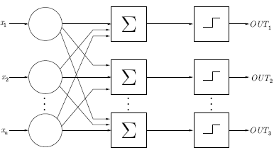
Первое систематическое изучение искусственных нейронных сетей было предпринято Маккалокком и Питтсом в 1943 г. Позднее они исследовали сетевые парадигмы для распознавания изображений, подвергаемых сдвигам и поворотам. Простая нейронная модель, показанная на рис. 2.1, использовалась в большей части их работ. Элемент
умножает каждый вход
на вес
и суммирует взвешенные входы. Если полученная сумма больше заданного порогового значения, выход равен единице, в противном случае — нулю. Эти системы (и множество им подобных) получили название персептронов. Они состоят из одного слоя искусственных нейронов, соединенных с помощью весовых коэффициентов с множеством входов (см. рис. 2.2), хотя, в принципе, описываются и более сложные системы. В 60-е годы персептроны вызвали большой интерес и оптимизм. Одной из первых искусственных сетей, способных к перцепции (восприятию) и формированию реакции на воспринятый раздражитель, явился PERCEPTRON Розенблатта (F.Rosenblatt, 1957). Персептрон рассматривался его автором не как конкретное техническое (вычислительное) устройство, а как модель работы мозга. Розенблатт называл такую нейронную сеть трехслойной, однако, по современной терминологии, представленная сеть обычно называется однослойной, так как имеет только один слой нейропроцессорных элементов.
|
|
|

Рис. 2.2.
В Корнеллской авиационной лаборатории была разработана электротехническая модель персептрона MARK-1, которая содержала 8 выходных элементов. На этом персептроне была проведена серия экспериментов по распознаванию букв алфавита и геометрических образов.
Ф. Розенблатт доказал замечательную теорему об обучении персептронов (которую мы рассмотрим на следующей лекции). Д. Уидроу дал ряд убедительных демонстраций систем персептронного типа, и исследователи во всем мире стремились изучить возможности этих систем. Первоначальная эйфория сменилась разочарованием, когда оказалось, что персептроны не способны обучаться решению ряда простых задач. Минский строго проанализировал эту проблему и показал, что имеются жесткие ограничения того, что могут выполнять однослойные персептроны, и, следовательно, того, чему они могут обучаться. Так как в то время методы обучения многослойных сетей не были известны, исследователи занялись более многообещающими проектами, и исследования в области нейронных сетей пришли в упадок. Недавнее открытие методов обучения многослойных сетей привело к возрождению интереса и возобновлению исследований.
|
|
|
Работа М.Л.Минского, возможно, и охладила пыл энтузиастов персептрона, но обеспечила время для необходимой консолидации и развития лежащей в основе теории. Важно отметить, что анализ Минского не был опровергнут. Он остается актуальным исследованием и должен непременно учитываться как часть базовых знаний, чтобы ошибки 60-х годов не повторились. Несмотря на свои ограничения, персептроны широко изучались. Теория персептронов является основой для многих других типов искусственных нейронных сетей, персептроны иллюстрируют важные принципы. В силу этих причин они являются логической исходной точкой для изучения искусственных нейронных сетей.






