Обработка информации

Интернет-Университет Информационных Технологий

Задача триангуляции многоугольника

Рисунок 5.17 – Иллюстрация к задаче триангуляции

Имеется выпуклый n -угольник Р n =
(v 1, v 2 ...v n). Надо разбить его на
непересекающиеся треугольники
так, чтобы сумма длин отрезков
разбиения была наименьшей. На
рисунке показано два возможных ва-
рианта триангуляции шестиуголь-
ника. Будем решать данную задачу в соответствии с вышеизложенными пунктами.

Договоримся обозначать символом
Р
i..j = (v i... v j) многоугольник, обра-
зованный вершинами от v i до v j
(i j), а символом - треугольник
с вершинами v k, v l, v m. Таким образом, Р 1..n - это исходный много-
угольник. Пусть d (v i, v j) равняется
длине отрезка между вершинами v i и v j), если v i× v j - диагональ много-
угольника и d (v i, v j) = 0, если v i v j-
егосторона. Пусть f (i.. j) - сумма
длин отрезков оптимального раз-
биения многоугольника Р i..j на тре-
угольники. Заметим следующее: из
условия непересекаемости треу-
гольников следует, что каждое реб-
ро Р 1..n входит ровно в один из тре-
угольников. В частности это каса-
ется и ребра v 1 v n которое с некоей
вершиной k (1 < k < n) образует .
Тогда рассмотрим два ос-
тавшиеся многоугольника Р 1..k и
Р
k..n, которые в нашем случае и бу-
дут ни чем иным, как подзадачами.
Если для всех таких подзадач (при
разных k) уже найдено оптималь-
ное решение, то остается лишь вы-
брать оптимальное значение k.

В задаче требуется найти f (1..n).
Построим формулу для нахожде-
ния f (i.. j) - суммы длин отрезков
триангуляции для многоугольника
Р
i..j. Имеет место следующая зави-
симость:

Формула следует из того, что вы-
брав вершину k, мы получаем два
меньших многоугольника Р i..k и
Р
k..j, которые надо триангулировать далее и два отрезка (v i v k и v k v j),
длины которых входят в нашу три-
ангуляцию (если один из них - сто-
рона многоугольника, то согласно
выбору d его длина не будет учиты-
ваться). Очевидно, что эта форму-
ла соответствует рекурсивной про-
цедуре с циклом по k внутри и
входными параметрами i и j. Чем
не принцип «разделяй и власт-
вуй»? Почти, но не совсем.

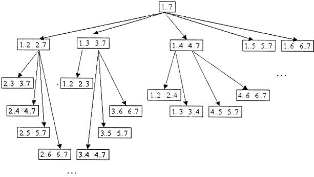
Рисунок 5.18 – Разбиение на подзадачи при триангуляции

Покажем с помощью дерева, как
будем собирать целостное реше-
ние из решений подзадач для се-
миугольника. Задача найти f (1..7) распалась на
5 пар задач (f (1.. k), f (k..7)) для
k
=2..5. Далее каждая из подзадач
рекурсивно разбивается на более
мелкие, пока последние не ста-
нут тривиальными (вида f (i.. i +1)
или f (i.. i). Если присмотреться к
этому дереву, видно, что одни и
те же подзадачи на разных вет-
ках дерева повторяются. Более
того, повторяются не только три-
виальные подзадачи (например,
f
(2..3) на голубых узлах), но и не-
тривиальные (задача f (4..7) на зе-
леных узлах), которые порожда-
ют целые деревья рекурсивных вызовов.

Динамическое программирование
заключается как раз в том, что под-
задачи нужно решать только один
раз, а при каждом последующем
вызове рекурсивной процедуры
для решения той же подзадачи
нужно просто прочитать данные из
таблицы. Так мы и поступим при
написании кода.

const

InFileName = 'in.txt';
МахN = 50;
NotCalculated = -1;
MaxReal = 1e30;

var

N: integer; (количество вершин)
d: array[1..MaxN, 1..MaxN] of real;

(расстояния между вершинами)

f: array[1..MaxN, 1..MaxN] of real;

(динамическая таблица решений)

Cut: аггау[1..иахМ, 1..MaxN] of integer;

(таблица для запоминания вершины разреза)

(функция нахождения расстояния между двумя точками}

function distance(x1,у1,х2,у2: real):real;


begin

distance:= sqrt(sqr(xl-x2)+sqr(у1-у2));


end;

(процедура считывания входящих данных и нахождения расстояний

между вершинами)

procedure ReadData;
var

ft: text;
х,у: array[1..MaxN] of real;

i,j: integer;

begin

assign(ft,InFileName); reset(ft);
read(ft,N);
for i:= 1 to N do

readln(ft, x[1],у[i]);


close(ft);

for i:= 1 to N do

for j:= 1 to д do

begin

if abs(i-j) <= 1 then

(если это сторона, то)
d[i,j]:=0 (в разрез она не войдет,

значит пусть ее длина=0)

еlsе d[i,j]:=Distance(x[i],у[1],х[2],у[2]);

f [i,j]:= NotCalculated;

(ставим отметку, что подзадача f(i,.j) не peшeнa)


end;

end;

(рекурсивная процедура поиска оптимального решения)

procedure Divide(i,j:integer);
var k, minK: integer;

L, minL: real;


begin

if f[i,j] <> NotCalculated then

(если подзадача уже решалась, выходим)
exit;

if i+2 >= j then begin

(если задача тривиальна (треугольник,
отрезок или точка))

Cut[i,j]:= 0; (то разбиений нет)

f
[1,2]:= 0; (и длина такого несуществующего разбиения

равна нулю)


exit;

end;

minL:= MaxReal;

(ищем минимум no k (рекуррентная формула))

for k:= 1<1 to j-1 do begin

Divide(i,k); (решаем подзадачу f(i..k))

Divide(k,j); (решаем подзадачу f(k..2})

L:= P[i,k] + F[k,j] + D[i,k] + D[k,j];

if L < MinL then begin

MinL:= L; (запоминаем минимальную длину}

MinK:= k; (и точку разбиения)


end;

end;

F[i,j] MinL; (запоминаем оптимум в динамической таблице)


Cut[i,j]:=MinK;

end;

(процедура рекурсивно выводит разбиение)

procedure PrintCut(i,j integer)
begin

if Cut[i,j] <> 0 then begin

if i+1 < Cut[i,j] then

WriteLn(i,'-',Cut[i,j]);


if Cut[i,j]+l < j then

WriteLn(Cut[i,j],'-',3);

PrintCut(i,Cut[1 3));


PrintCut(Cut[i,j],j);


end;


end;

begin

ReadData; (читаем входные данные)
Divide(1,N); (выполняем разбиение)
(выводим результаты)
wreteln('Min(mal cut length:f[l,n]);

writeLn('Cut the polygon along these diagonals:');

PrintCut(1,N);


end.

Листинг 5.27 – ДП-алгоритм триангуляции многоугольника

Оптимальное решение будет нахо-
диться в нашей таблице после вы-
зова рекурсивной процедуры с па-
раметрами (1, n).

5.8.6 ДП, жадный алгоритм или что-то другое?

Между ДП и жадными алгоритмам-
и есть нечто общее. Решаемые с п
омощью жадных алгоритмов зад-
ачи, как и задачи, решаемые с помощью ДП, обладают свойством
оптимальности для подзадач - ког-
да оптимальное решение всей за-
дачи содержит в себе оптимальные
решения подзадач. Если А - оптимальный набор
заявок, содержащий заявку 1, то А '
= А \ {1} - оптимальный набор за-
явок для подмножества заявок, для
которых b [ i ] >= e [1]. Из-за этого об-
щего свойства иногда может по-
явиться желание применить ДП в
ситуации, где хватило бы жадного
алгоритма, или наоборот, приме-
нить жадный алгоритм к задаче, в
которой он не выдаст оптимально-
го решения (как в дискретной зада-
че о рюкзаке).

Алгоритм надо выбирать не толь-
ко в зависимости от возможнос-
тей, но и от ваших нужд (напри-
мер, если нет четкой необ-
ходимости получить самое опти-
мальное решение). Яркий пример
- та же задача коммивояжера. Алго-
ритм ее решения NP-полон, что
означает, что кроме как с помо-
щью полного перебора задачу ре-
шить невозможно (этот факт ма-
тематически доказан). Да, для на-
хождения самого краткого пути
требуется экспоненциальное чис-
ло шагов. А что, если задачу надо
решить в краткий срок, причем
хоть как-то минимизировать путь
для обхода всех пунктов? На по-
мощь приходит жадный алгоритм,
который будет всего лишь при-
близительным алгоритмом, но он
найдет один из кратчайших (хотя
и не обязательно самый корот-
кий) вариантов обхода. Алгоритм
работает таким образом. Допус-
тим, мы находимся в вершине i.
Рассмотрим расстояния от i ко
всем вершинам, в которых мы
еще не были, и выберем среди
них вершину j с минимальным
расстоянием к i. Далее, двигаем-
ся в вершину j и проделываем для
нее то же самое, что и для вершины i, и т.д. Остановимся тогда,
когда во всех вершинах мы уже
побывали, и соединим послед-
нюю с первой. Общая сложность
алгоритма - О (n 2), и часто такой
алгоритм дает решение, близкое
к оптимальному.

Остается лишь дать ответ на не-
сколько часто возникающих вопро-
сов:

1) Как для конкретной задачи уз-
нать, выдаст ли жадный алгоритм
оптимальное решение?
К сожале-
нию, здесь нет общих рецептов.
Кроме свойства оптимальности
для подзадач существует еще одна
особенность - это принцип жадно-
го выбора. Говорят, что к задаче
применим принцип жадного выбо-
ра, если последовательность ло-
кально-оптимальных (жадных) вы-
боров дает глобально оптимальное
решение. В общем случае нужно
попытаться провести доказатель-
ство, аналогичное тому, что было в
доказательстве правильности ре-
шения задачи о выборе заявок.
Сначала мы показали, что жадный
выбор на первом шаге не закрыва-
ет путь к оптимальному решению:
для любого решения есть другое,
согласованное с жадным выбором
и не хуже первого. Потом мы пока-
зали„что подзадача, возникшая
после жадного выбора на первом
шаге, аналогична исходной. По ин-
дукции следует, что такая последо-
вательность жадных выборов дает
оптимальное решение.

2) Какое же различие между жад-
ными алгоритмами и динамичес-
ким программированием?
На каж-
дом шаге жадный алгоритм берет
«самый жирный кусок», а потом
уже пытается сделать наилучший
выбор среди оставшихся. ДП-алго-
ритм принимает решение, просчи-
тав заранее решения для всех под-
задач.

Литература

1) Ахо А., Хопкрофт Дж., Ульман Дж. Построение и анализ вычислительных алгоритмов. – М.: Мир, 1979.

2) Ахо А., Хопкрофт Дж., Ульман Дж. Структуры данных и алгоритмы. – М.: "Вильямс", 2001. – 384 с.

3) Бентли Д. Жемчужины творчества программистов. – М.: Радио и связь, 1990.

4) Вирт Н. Алгоритмы + структуры данных = программы. – М.: Мир, 1985.

5) Вирт Н. Алгоритмы и структуры данных. – М: Мир, 1989. – 360 с.

6) Грин Д., Кнут Д. Математические методы анализа алгоритмов. – М: Мир, 1987.

7) Гудман С., Хидетниеми С. Введение в разработку и анализ алгоритмов. – М.: Мир, 1981.

8) Дейкстра Э. Дисциплина программирования. – М: Мир, 1978.

9) Кнут Д.Е. Искусство программирования для ЭВМ. В 3-х томах. – М.: Мир, 1976.

10) Кнут Д.Е. Искусство программирования. В 3-х томах. – М.: "Вильямс", 2000.

11) Кормен Т., Лейзерсон Ч., Ривест Р. Алгоритмы: Построение и анализ. – М.: МЦНМО, 2001.

12) Лэгсам Й., Огенстайн М. Структуры данных для персональных ЭВМ. – М.: Мир, 1989. – 586с.

13) Матьяш В.А., Путилов В.А., Фильчаков В.В., Щекин С.В. Структуры и алгоритмы обработки данных. – Апатиты, КФ ПетрГУ, 2000. – 80 с.

14) Оре О. Графы и их применение. – М.: Мир, 1965.

15) Рейнгольд Э., Нивергельт Ю., Део Н. Комбинаторные алгоритмы. Теория и практика. – М.: Мир, 1980.

16) Сибуя М., Ямамото Т. Алгоритмы обработки данных. – М: Мир, 1986. – 218 с.

17) Успенский В.А., Семенов А.Л. Теория алгоритмов: основные открытия и приложения. – М.: Наука, 1987.

18) Харари Ф. Теория графов. – М: Мир, 1973.

Русскоязычные ресурсы InterNet

1) https://algo.4u.ru/

2) https://algolist.manual.ru/

3) https://alglib.chat.ru/

4) https://algo.do.ru/

5) https://hcinsu.chat.ru/

6) https://algolist.da.ru/

7) https://progstone.narod.ru/links/wantalgo.html

8) https://www.sevmashvtuz.edu/links/algorithms.html

https://www.INTUIT.ru

<


1. Лекция: Информационные технологии: современное состояние, роль в бизнесе и тенденции развития: версия для печати и PDA В данной лекции рассматриваются информационные технологии. Уделено внимание современному состоянию, роли в бизнесе и тенденциям развития информационных технологий
Слова из книг Карлоса Кастанеды и Ричарда Баха вынесены в качестве эпиграфа перед "Введением" не просто так. Руководитель, планирующий или начинающий внедрять информационные технологии в свой бизнес, как правило, полон иллюзий. Для этого имеется несколько оснований: модная тема, обилие информации о возможностях ИТ и фирмах, сдающих уникальные информационные системы "под ключ" за смешные деньги, уверенность в своих силах и желание сделать "все путем", хорошая команда исполнителей. Однако при столкновении с действительностью оптимизм уменьшается - информационные "концы" не связываются, время уходит, фирмы-интеграторы исчезают, не выполнив и части работ, затраты растут, система стремительно усложняется, сотрудники открыто или неявно начинают саботировать нововведения, конфиденциальная информация теряется или попадает не к тем к кому нужно. Величина разочарования в таких случаях прямо пропорциональна величине стартовых иллюзий или превышает их. Главная цель руководителя, менеджера - приложить максимум усилий для того, чтобы модель деятельности, которую он строит с целью совершенствования своего бизнеса, наполнилась бы с помощью информационных технологий реальным современным содержанием! Основными критериями успеха в бизнесе стали профессиональное управление, умение обеспечить эффективную работу персонала, правильно идентифицировать, проектировать, реализовывать и совершенствовать бизнес-процессы, эффективно вести организационно-административную и хозяйственную деятельность. В этих условиях современные информационные технологии и создаваемые на их основе интегрированные информационные системы становятся незаменимым инструментом в обеспечении достижения стратегических целей и устойчивого развития компаний и организаций. Влияние информационных технологий на менеджмент, на культуру управления, на общество трудно переоценить. Стремительное развитие вычислительной и телекоммуникационной техники, накопление колоссальных объемов информации и чрезвычайно высокая скорость информационного обмена сформировали к концу ХХ века новое понятие - глобальное информационное общество. Это привело к коренной ломке прежних социальных понятий: фокус деятельности компаний переместился с технологий на потребителя. Информационные технологии изменили не только способ работы - они изменили способ делового стратегического мышления. Первые быстродействующие компьютеры использовались предпринимателями в основном для автоматизации процессов, которые раньше выполнялись вручную большим числом сотрудников невысокой квалификации; типичный пример - обработка данных. Сегодня новая техника и технологии применяются не только для автоматизации сбора и обработки данных, но и для реализации новых идей, новых способов получения конкурентного преимущества. Распределенные информационные системы и сетевые технологии сузили мир до размеров рабочего стола и экрана монитора, безгранично увеличив деловые возможности за счет быстрого и простого доступа к огромным объемам информации и инструментам работы с ней. Новые менеджеры делают ставку на осознанный выбор стратегий и целей на базе информационной оценки ситуации и компьютерного моделирования, на целевые команды исполнителей, объединяющих профессионалов высокого класса, на оптимальную координацию проектных и рабочих групп, ориентируются на запросы и ожидания потребителя. Аналитики с помощью экспертов и консультантов, используя математические методы и соответствующие программные приложения, тщательно исследуют ситуации, разрабатывают варианты деловых решений с оценкой рисков и вероятности успешной реализации, проводят деловые игры, проверяя построенные модели. Именно информационные технологии и информационные системы широкого профиля делают возможным такой стиль гибкого и эффективного управления и всячески стимулируют его развитие. Информация и информационная культура Информационные технологии, ИТ (Information Technology - IT) - широкий класс дисциплин и областей деятельности, относящихся к технологиям формирования и управления процессами работы с данными и информацией, в том числе с применением вычислительной, компьютерной и коммуникационной техники. В настоящее время под информационными технологиями чаще всего понимают компьютерные технологии. В частности, ИТ имеют дело с использованием компьютеров и программного обеспечения для сбора, преобразования, обработки, хранения, защиты, передачи информации заинтересованному пользователю. Информационная система, ИС (Information System - IS) - система, предназначенная для реализации и ведения информационной модели какой- либо области человеческой деятельности. Эта система должна обеспечивать следующие средства для протекания информационных процессов:
  • сбор информации,
  • преобразование и обработка,
  • анализ,
  • хранение и защита,
  • передача для использования.
Специалистов по компьютерной технике и программированию часто называют ИТ-специалистами. По мнению одних авторов, ИС включает в себя персонал, ее эксплуатирующий, по мнению других - нет. В самом общем случае: информационная система - это взаимосвязанная совокупность определенной идеологии работы с информацией, методов, технологий, технических средств, используемых для сбора, обработки, хранения и выдачи информации потребителю в интересах достижения поставленной цели. Современное понимание информационной системы предполагает применение компьютера в качестве основного технического средства переработки и использования информации. Информация, данные, знание и развитие экономики В XX веке слово "информация" стало термином во множестве научных областей, получив особые для них определения и толкования. Информацией (от лат. informatio - "научение", "сведение", "оповещение") называется опосредованный формами связи результат отражения изменяемого объекта изменяющимся с целью сохранения их системной целостности. Информация первична и содержательна - это категория, поэтому в категориальный аппарат науки она вводится портретно - описанием, через близкие категории: материя, система, структура, отражение. В материальном мире (человека) информация материализуется через свой носитель и благодаря ему существует. Сущность материального мира предстает перед исследователем в единстве формы и содержания. Передается информация через носитель. Материальный носитель придает информации форму. В процессе формообразования производится смена носителя информации. Определения термин "информация" не имеет, так как не является понятием. Существует информация в каналах связи систем управления. Не следует путать категорию "информация" с понятием "знание". Знание определяется через категорию "информация". Данные (от лат. data) - это представление фактов и идей в формализованном виде, пригодном для передачи и обработки в некотором информационном процессе. Данные - это выделенная (из системы, благодаря обособленности существования носителя) информация. Знание - в философском смысле: понимание осознанного чувства; в широком смысле: совокупность понятий, теоретических построений и представлений, адекватно отражающих объективные закономерности реального мира. Знание - это закономерности предметной области (принципы, связи, законы), полученные в результате практической деятельности и профессионального опыта, позволяющие специалистам ставить и решать задачи в этой области [Гаврилова Т.А., Хорошевский В.Ф. Базы знаний интеллектуальных систем. Учебник. СПб.: Питер, 2000]. Знание - проверенный практикой результат познания действительности, адекватное её отражение в сознании человека. Знание противоположно незнанию, то есть отсутствию проверенной информации о чем-либо. Приведем несколько важных характеристик информации, делающих ее объектом использования в бизнесе:
  • информация достоверна, если она не искажает истинного положения дел во внешней и внутренней бизнес-средах;
  • информация полна, если она достаточна для понимания ситуации и принятия решения пользователем;
  • качество информации, ее ценность состоит в мере расширения полезной совокупности сведений и смысловых связей между ними, которыми располагает пользователь или система;
  • ценность одной и той же информации относительна - она зависит от конкретного временного периода, конкретной ситуации и конкретного пользователя;
  • информация адекватна, если уровень соответствия информационного образа реальному объекту, процессу, системе адекватен заданному.
Экономическая информация - это совокупность сведений о реальных социально-экономических процессах в обществе, которая служит основой для изучения и управления этими процессами и людьми, объединенными в социальные и производственные организации. Для экономической информации характерны следующие параметры:
  • многообразие источников и потребителей;
  • нарастающие значительные объемы и большой удельный вес рутинных процедур при их обработке;
  • многократное повторение циклов получения и отправки в установленные временные периоды (декада, месяц, квартал, год);
  • необходимость обеспечения конфиденциальности в использовании отдельных ее частей;
  • чрезвычайная важность в подготовке и принятии деловых решений.
Информация осознана современным обществом как необходимое условие прогресса. Наибольший экономический успех сегодня сопутствует тем предприятиям, которые активно используют современные средства коммуникаций, информационные технологии и их приложения. Новые информационные технологии и связанные с ними прикладные задачи требуют создания новой среды - информационной, а также систем управления информационными ресурсами. На фундаментальность понятия "информация" указывал еще основоположник кибернетики Норберт Винер. Феномен информации оказался настолько неоднозначным, что по праву считается одной из сложнейших проблем современности. Уже сами попытки подобраться к понятию информации, различные его трактовки в трудах ученых и практиков заставляют задуматься о необычной роли информации в жизни развивающихся систем. Первые подходы к осмыслению этой категории сделали основоположники теории информации. Еще в 1927 году Р.В.Л. Хартли отмечал, что количество информации, заключенной в любом сообщении, тесно связано с количеством возможностей, данным сообщением исключающихся. Фраза "яблоки красные" несет намного больше информации, чем фразы "фрукты красные" или "яблоки цветные", так как первая фраза исключает все фрукты, кроме яблок, и все цвета, кроме красного. Исключение других возможностей повышает информационное содержание [Готт В.С., Урсул А.Д. Определенность и неопределенность как категории научного познания. М.: Знание, 1971, с. 56]. У. Эшби предостерегал против попыток рассматривать информацию как "материальную или индивидуальную вещь": "Всякая попытка трактовать информацию как вещь, которая может содержаться в другой вещи, обычно ведет к трудным проблемам, которые никогда не должны были бы возникать" [Эшби У.Р. Введение в кибернетику. М.: ИЛ. 1959, с. 27]. В 1949 году Шеннон и Уивер представили формулу вычисления количества информации, в которой информация возрастала с уменьшением вероятности отдельного сообщения. В их представлении информация определяется как мера свободы чьего-либо (или какой-либо системы) выбора в выделении сообщения [Шеннон К., Уивер Л. Математическая теория связи. М: Физматгиз, 1956, с. 46]. Н. Винер определяет информацию как обозначение содержания, полученного из внешнего мира в процессе приспособления к нему наших чувств. Вводя понятие о семантически значимой информации, Винер отмечает количественное и качественное отличие ЭВМ от человека: машины могут правильно работать в том случае, если получают от человека необходимую им информацию и в самой точной форме. Следовательно, характер информации, вводимой в машину, должен быть точно определен и заранее известен человеку. А живые организмы получают необходимую им информацию благодаря постоянному взаимодействию с природой. Возникновение способности перерабатывать информацию в живых организмах есть исторически развивающийся процесс. Винер одним из первых показал, что сущность информации заключается в способности систем с памятью к саморазвитию. Другими словами, процессами развития управляет не только внешнее воздействие, но и память. По своей сути память о прошлом представляет собой информацию, записанную в определенных структурах, которые могут передаваться, запоминаться, воспроизводиться. В рассуждениях Винера познание - это часть жизни, более того - самая ее суть. "Действенно жить - значит жить, располагая правильной информацией". При этом процесс познания, накопления информации непрерывен и бесконечен. "Я никогда не представлял себе логику, знания и всю умственную деятельность как завершенную замкнутую картину. Я мог понять эти явления только как процесс, с помощью которого человек организует свою жизнь таким образом, чтобы она протекала в соответствии с внешней средой. Важна битва за знание, а не победа. За каждой победой, т. е. за всем, что достигает апогея своего, сразу же наступают сумерки богов, в которых само понятие победы растворяется в тот самый момент, когда она достигнута" [Винер Н. Кибернетика и общество. М.: ИЛ, 1958, c. 26, 31]. В 1968 году Урсул указал на то, что информация неоднородна, она обладает качественными характеристиками, и два разных типа информации не могут сравниваться. Каждый уровень природы обладает собственной информацией. Для Урсула "человеческая", или "социальная", информация была одним типом, и в рамках ее он выделял еще два аспекта: семантический (содержание) и прагматический (ценность) [Урсул А.Д. Природа информации. М.: Политиздат, 1968, с. 26]. Семантическая концепция преодолевает чисто вероятностный подход. Здесь количество информации, содержащейся в суждении по некоторой проблеме, определяется тем, насколько доказательство или допущение истинности этого суждения уменьшает энтропию, дезорганизованность системы. При прагматическом подходе делается попытка установить зависимость между информацией и целью, которую ставит перед собой человек, работающий с информацией. Прагматический, ценностный подход к информации особенно важен в социальном управлении, где необходима не всякая информация, а лишь та, которая способствует достижению цели, стоящей перед системой. Ценность информации определяется через разность между вероятностями достижения цели до и после получения информации. В соответствии с этим определением информация измеряется всегда положительной величиной, а ценность ее может быть в известных случаях и отрицательной. Ценность информации является величиной, имеющей различные значения для различных людей, в соответствии с их способностью понять информацию и использовать ее в дальнейшем в различных областях своей деятельности. Информация ценна, поскольку она способствует достижению поставленной цели. Информация может действительно иметь различную ценность, если критерием оценки избрать ее использование для различных целей. Вопросом особой значимости является отношение информации и знания, первичности одного к другому. Понятия "знание" и "информация" часто отождествляются. В то же время знание рассматривают как высшую форму отражения действительности, а информацию - как особое фундаментальное свойство материи. Говоря, что объект (или субъект) А отражает объект В, имеют в виду определенные изменения в А, которые соответствуют определенным изменениям в В и вызываются ими. Говоря об информации, подразумевают прежде всего особый способ взаимодействия, через который осуществляется передача изменения от В к А в процессе отражения, - способ, который реализуется через поток сигналов, идущих от объекта к субъекту и особым образом в нем преобразуемых. Уровень сложности и формы информации зависят, следовательно, от качественных характеристик объекта и субъекта, от типа передающихся сигналов, которые на самом высоком уровне реализуются в форме языковых знаковых систем. Наконец, говоря о знании, мы имеем в виду именно высший уровень информации, функционирующий в человеческом обществе. При этом в качестве знания выступает не вся информация, идущая от В и воспринимаемая А, а лишь та ее часть, которая преобразована и переработана А (в данном случае - человеком) особым образом. В процессе переработки информация должна приобрести знаковую форму и выразиться в ней с помощью других знаний, хранящихся в памяти; она должна получить смысл и значение. Следовательно, знание - это всегда информация, но не всякая информация - знание. В превращении информации в знание участвует целый ряд закономерностей, включающих знание в систему общественных связей, в культурный контекст определенной эпохи. Благодаря этому знание становится достоянием общества, а не только отдельных индивидов [Абчук В.А. Трапицин С.Ю., Тимченко В.В. Менеджмент. Учебник. СПб.: ООО "Книжный Дом", 2006, с. 421]. В то же время информация - не просто результат отражения, не просто данные или знание. Только взаимодействуя с потребителем, данные или знание приобретают характер сообщения, сведения, т. е. становится информацией. Информация - это данные, находящиеся в постоянном обороте и движении, это знания, которые собираются, хранятся, перерабатываются, передаются и используются развивающейся системой. Знание только тогда приобретает качество информации, когда оно действует или может действовать как основа регуляции, управления. Информация есть только там, где есть движение, преобразование, использование и управление. Относительность информации проявляется в том, что системы с различным уровнем организации извлекают из одного и того же источника различную, но всегда соответствующую своему уровню информацию. Положение об извлечении и использовании информации для построения определенных программ поведения и действия - принципиально. Именно оно является основой функциональной концепции информации, связывая последнюю с процессами управления. В связи с этим, Н.И. Жуков отмечает, что "информация является не субстанциональным свойством всей материи, а функциональным свойством систем управления, связью управляющих систем с управляемыми". [Жуков Н.И. Информация. Минск: Наука и техника, 1966, c. 40]. Между информацией и ее значением (смыслом) можно установить четкое различие. Информация - это неотъемлемая данность любых систем, взаимодействующих с человеком. Значение (смысл) достигается только тогда, когда обретенная информация помещается в определенный контекст, то есть информация становится значимой лишь после анализа, сравнения и интеграции с другой, уже существующей в воспринимающей системе информацией. При анализе сущности информации важно избежать двух крайних точек зрения:
  1. Информацию, как одно из объективных свойств развивающейся системы, рассматривают в отрыве от других свойств системы (от организации и управления) или от самой системы.
  2. Информацию напрямую отождествляют со знанием, опытом, сведениями субъекта, что придает ей антропоморфный характер.
Важным шагом к пониманию сути информации является изучение информационных технологий. Информационные технологии возникли вместе с появлением человеческого общества, но до ХХ века они не были предметом специального изучения, ибо настолько естественно выполняли свою роль в жизни людей, что просто не было необходимости в выделении их в специальную сферу рассмотрения. Рис. 1.1. Соотношение скоростей накопления информации, знаний и развития экономики За пятьдесят предыдущих лет мир изменился так, как он не изменялся за последние 500 лет, причем скорость этих изменений нарастала в экспоненциальном масштабе. С появлением компьютеров и с началом их использования для сбора, обработки и хранения данных скорость накопления информации во много раз стала превышать динамику развития знания и практической экономики (рис. 1.1, верхняя пунктирная граница). Внимание к этой проблеме стало особенно велико именно в современный период, когда наиболее отчетливо проявился разрыв между объемом информации в обществе и возможностями отдельного человека в ее освоении. Впервые в истории человечества большинство социальных процессов приобрели ярко выраженную особенность информационных, то есть не просто связанных с операциями извлечения информации, ее трансляции в пространстве и времени, переработки, а в большей степени - с избирательным отношением человека к информации, с потребностью в специальных инструментах, обеспечивающих необходимую избирательность. Информационные революции В истории развития цивилизации произошло несколько информационных революций - преобразований общественных отношений из-за кардинальных изменений в сфере обработки информации, информационных технологий. Следствием подобных преобразований являлось всякий раз приобретение человеческим сообществом нового качества. Начало совпадает по времени с выделением человека из природы, с появлением языка, способного оперировать абстрактными понятиями. Первой информационной технологией можно считать способ передачи довольно сложной информации с помощью наскальной живописи. После изобретения письменности появилась возможность локального распространения знаний и сохранения их для передачи последующим поколениям. Следующий этап связан с изобретением книгопечатания, которое радикальным образом изменило общество, культуру. Книга стала универсальным массовым распространителем и хранителем больших объемов информации. В эру использования электричества появились телеграф, телефон, радио, телевидение, позволяющие оперативно передавать информацию в любые уголки Земли. Изобретение компьютера - универсального, многофункционального, электронного автоматического устройства для работы с данными - привело к тому, что компьютерная техника в современном обществе взяла на себя значительную часть работ, связанных с обработкой, систематизацией и хранением информации. По историческим меркам компьютерные технологии еще очень молоды и находятся в самом начале своего развития. Еще много потоков и видов информации не вовлечено в сферу действия компьютеров. Однако компьютерные технологии все активнее преобразуют или вытесняют прежние, "докомпьютерные". У людей всегда был интерес к искусственному интеллекту. Различают два основных подхода к моделированию искусственного интеллекта (Artificial Intelligence - AI): машинный интеллект, заключающийся в строгом задании результата функционирования, и искусственный разум, который основан на моделировании внутренней структуры автоматизированной системы, соответствующей строению человеческого мозга. Моделирование систем первой группы достигается за счет использования законов формальной логики, теории множеств, графов, семантических сетей и других достижений науки в области дискретных вычислений. Основные результаты заключаются в создании экспертных систем, систем разбора естественного языка и простейших систем управления вида "стимул-реакция". Системы второй группы базируются на математической интерпретации деятельности нервной системы во главе с мозгом человека и реализуются в виде нейронных сетей на базе нейроподобного элемента - аналога нейрона. Нейроподобные сети в последнее время являются одним из самых перспективных направлений в области искусственного интеллекта и постепенно входят в бытность людей в широком спектре деятельности, включая науку, бизнес, политику, искусство. Ф. Махлупа и Т. Умесао одновременно в США и Японии в начале 1960-х годов ввели в научный оборот термин "информационное общество". Теория "информационного общества" была развита такими известными авторами, как М. Порат, Й. Масуда, Т. Стоуньер, Р. Кац и другими. Человечество находится в информационно-коммуникационной стадии развития с новыми способами и средствами сбора, обработки и обмена информацией. В мировом сообществе, где производство и оборот информации стали центральным звеном большинства процессов, главными ресурсами становятся информация, интеллектуальная собственность, человеческий фактор, управленческие структуры социальных систем. Все они тесно связаны с информационными технологиями. В информационной экономике хозяйственная деятельность заключается главным образом в производстве и применении информационных технологий и накопленной информации с целью сделать все другие формы производства более эффективными и тем самым обеспечить новое качество экономического роста, а также в создании большего информационного богатства (информационных продуктов и услуг). Ограничивающие факторы здесь - скорость обработки огромных объемов информации и возможность ее превращения в научное знание. Технологизация общества и автоматизация управленческих, производственных и информационных процессов призваны не только обеспечивать потребности этого общества в товарах и услугах, включая информационные, но и более эффективно использовать энергию, природные и материальные ресурсы (сырье, финансы, оборудование, информация знания), а главное - экономить социальное время, необходимое для реализации этих потребностей. Информационный потенциал такого общества можно представить как сформированное в формализованном виде и в конкретных проектных формах (т. е. пригодном для практического использования) концентрированное выражение научных знаний и практического опыта, позволяющее наиболее рациональным образом организовать процессы создания информационных продуктов и услуг. При этом результат оценивается по совокупной экономии затрат труда, энергии, материальных и информационных ресурсов, необходимых для реализации этих процессов. Опыт развитых стран показывает, что именно развитый рынок высоких технологий, использующих самые современные достижения науки и техники, их распространение внутри страны и продвижение на внешние рынки дают этим странам заметное экономическое преимущество и социальную стабильность. Общество развивается и начинает приобретать черты информационного общества, если:
  • любой член общества, группа лиц, предприятие или организация в любой точке и в любое время могут получить на основе систем связи и анонимного или авторизованного доступа бесплатно или за соответствующую плату любую информацию и знания, необходимые для их жизнедеятельности и решения личных и социально значимых задач;
  • в обществе производится, функционирует и доступна для использования любым его членом, группой или организацией современная информационная технология;
  • имеются развитые инфраструктуры, обеспечивающие создание личных, корпоративных, региональных и национальных информационных ресурсов в объеме, необходимом для поддержания жизнедеятельности в рамках постоянно убыстряющегося научно-технологического и социально-исторического прогресса;
  • происходит процесс ускоренной автоматизации, роботизации и информатизации решающих сфер и отраслей производства и управления;
  • происходят радикальные изменения социальных структур, следствием которых оказывается расширение сферы информационной деятельности и услуг и развитие общества в целом;
  • информационная структура общества является предпосылкой расширения прав личности, свободы, демократии и самоуправления и обеспечивает плавный переход от постиндустриального периода развития к глобальной информатизации общества.
Здесь следует выделить и некоторые негативные черты, явно проявляющиеся уже в переходном периоде - это и все усиливающееся давление информационной среды на личность [Лем С. Сумма технологии, М., Гослитиздат, 1968], и отношение личности к знаниям, которые в условиях информационного общества становятся аналогом богатства. Последнее, как известно, имеет свойство концентрироваться в руках небольшой группы лиц (закон В. Парето). Таким образом, не только уровень знания, но и характер отношения к информации становится основанием нового социального неравенства в информационном обществе. Можно выделить достаточно много и позитивных, и негативных факторов психологического влияния информационного общества на личность" [Канке В. Человек в информационном обществе // В сб. "Философия". М., 1996. с. 291-295]. Вот некоторые из них. Позитивные:
  • развитие компьютерных технологий обеспечивает личности свободу выбора;
  • появляется возможность создавать и использовать необходимые для жизнедеятельности электронные коммуникации;
  • каждый индивидуум одновременно является и получателем, и отправителем информации, в любое время и в любом месте;
  • возможен доступ в единую сеть различных баз данных;
  • обеспечивается постоянное интерактивное взаимодействие (диалог), то есть непрерывная обратная связь между участниками информационного обмена;
  • человек перестает быть "мелким винтиком" социального механизма или группы - у него резко повышается степень ответственности и формируется новая, более высокая и устойчивая самооценка;
  • каждый человек создает свою глубоко индивидуальную "картину мира", которая может интегрироваться с аналогичными картинами других людей - это помогает людям обрести истину в некотором приближении;
  • возрастает степень комфорта использования информации и технологий в практических областях деятельности.
Негативные:
  • беззащитность личности перед вторжением государства и коммерческих структур в частную жизнь;
  • расширение возможностей получения (добывания) данных о любом индивидууме;
  • оборотной стороной свободы является угроза для личной автономии;
  • поставщики информации могут манипулировать данными в своих интересах;
  • привыкание к "жизни" в виртуальном пространстве и угроза моральному иммунитету личности вследствие "фанатичной" преданности компьютерам и вере в их непогрешимость.
Нейтральные моменты, которые могут быть как позитивными, так и негативными в зависимости от уровня развития общества и контекста ситуации:
  • меняется модель профессиональной карьеры - появляется возможность работать не выходя из дома (технологии телеработы);
  • возникает такой феномен, как виртуальный работодатель и виртуальный работник;
  • появляется новая система найма (электронная биржа труда) и социального страхования работников, уменьшается значение профсоюзов;
  • создается эфемерное единство виртуального мира с любым количеством людей одновременно, которое, однако, является неустойчивым и может разрушиться в одно мгновение, нанеся его создателю психологическую травму;
  • реальное общество индивидуализируется и обретает высокий уровень фрагментации.
Все это требует тщательного философского осмысления, и это необходимо учитывать при определении места и роли человека (личности) в создаваемой новой информационной среде и использовании ее в бизнесе. Текущий этап развития информационных технологий (его часто называют началом новой информационной революции) характеризуется развитием как глобальных всемирных сетей для хранения и обмена информацией, доступных любой организации и каждому члену общества, так и систем искусственного интеллекта, и должен, вероятно, завершиться построением глобального информационного общества. Эта революция уже началась. Но она происходит не там, где ее ищут ученые, политики, руководители корпораций и информационная индустрия вообще. Это не революция в технике, оборудовании, технологии, программном обеспечении или скорости передачи и накопления данных. Это революция КОНЦЕПЦИЙ! Ранее информационная революция была сосредоточена на данных - их сборе, хранении, передаче, анализе и представлении. Следующий ее этап формулирует иной вопрос: "Каков СМЫСЛ информации и в чем ее НАЗНАЧЕНИЕ?" Это приводит к переопределению задач, которые должны исполняться с помощью информации, к переопределению целей и перспектив деятельности, а затем - и к переопределению институтов, исполняющих эти задачи. Информация и информационная культура предприятия Как было отмечено выше, ценность информации состоит в ее достоверности, полноте, точности, адекватности отражения ситуации и способности удовлетворить требования потребителя. В современном бизнесе нет просто информации - деловая информация всегда имеет конечного потребителя! Этим потребителем может быть человек, подразделение компании, модуль корпоративной информационной системы или другая информационная система. В связи с этим один из первых вопросов, который должен задать себе руководитель, всерьез решивший внедрять информационные технологии в своей компании, это вопрос "Как работают с информацией в нашей компании и какая информация нужна мне, руководителю?" Продуктом деятельности управленца, как известно, являются решения. Любое управленческое решение имеет поставщика или источник информации, адресата решения и последствия. Есть три главных поставщика "сырья" для управленческих решений - это:
  • Внешний мир (клиенты, партнеры, конкуренты, государство), который трудно контролировать, - поставляет информацию, какую хочет и когда хочет. Информация эта может быть неполной, недостоверной или просто ложной.
  • Предприятие (руководители всех уровней, исполнители). Эту информацию как будто можно контролировать и управлять ею. Однако люди имеют разные должности, образование и опыт, разные взгляды на жизнь и разные цели. Естественно, что информация, поставляемая ими, субъективна - она требует проверки и уточнения.
  • Руководитель - его интеллект, опыт, интуиция, возможности, связи. Он аккумулирует, сортирует и анализирует информацию, отбирая ту, которая, как кажется ему, поможет принять нужное решение.
Третий источник представляется руководителю самым надежным, но возможности его, к сожалению, не безграничны. Слабо или неточно реагируя на информацию, поступающую из внешнего мира и из собственной фирмы, руководитель рискует стать заложником собственных представлений и иллюзий. В течение последнего десятилетия в российском бизнесе сложилось несколько устойчивых стереотипов (мифов) относительно использования информационных ресурсов, которые, к сожалению, до сих пор являются показателем уровня российской корпоративной культуры [Альтшулер И. Информация для руководителя. https://www.cfin.ru/itm/4and13.shtml]. "Руководитель нуждается в абсолютно полной информации" Типичный пример из российской действительности. Крупный завод, имевший в прежние времена хорошие госзаказы, не успел перестроиться и действует "по старинке". Планово-финансовые подразделения живут своей жизнью, производственные и сбытовые - своей. Одни службы отчитываются по декадному циклу, другие - по недельному; одни считают проданной продукцию, выехавшую за ворота завода, а другие - лишь ту, по которой поступила оплата, и т. д. Директор требует полную отчетность и, получая заведомо несводимую информацию, "тонет" в ней и принимает решения по "мертвым" формальным параметрам, которые служат основой для дальнейшего убыточного планирования. Может ли помочь такому руководителю любая информационная система? С большой долей вероятности - нет. У руководителей подобного типа просто нет желания воспринимать, классифицировать по степени важности и анализировать внешнюю и корпоративную информацию, что-то менять в своей культуре, заставлять работать и изменяться других людей. Они сознательно загоняют себя в условия острой информационной недостаточности, и итог их деятельности в условиях рынка практически предопределен. "Чем больше информации, тем лучше" Другой пример - тоже из российской практики, доставшейся в наследство от советских времен. При наличии многоуровневой системы и плохой организации управления множество несогласованных управленческих решений принимается на разных уровнях, они противоречат друг другу, сталкиваются. Руководитель боится делегировать полномочия вниз (не хочет терять власть, не уверен в собственных замах и тем более - в среднем звене управленцев, не умеет отделять главное от второстепенного). Управленцы более низких уровней боятся ответственности и стремятся переложить, делегировать ее наверх. В результате наверху возникают информационные "тромбы", директор ежедневно занимается решением множества управленческих задач не своего уровня - например разбирается, почему какой-то поставщик прислал не то, что ему заказывали. Естественно, времени на решение стратегических вопросов при этом не остается. "К моему бизнесу нельзя подходить с обычными мерками!" Самое распространенное заблуждение среди российских предпринимателей. В отличие от западных коллег, которые максимально унифицируют свой бизнес с помощью признанных международных стандартов и прибегают к независимому аудиту с целью минимизации затрат и получения максимальных выгод, руководители многих российских компаний всячески стараются индивидуализировать и маскировать свои предприятия. Любые попытки показать пагубность такой политики встречают обычно в штыки: "Да на кой мне эти новомодные штучки и технологии! У меня такое производство закручено, что ни одна технология не справится, только зря деньги на ветер. Как-нибудь своей головой справлюсь". На самом деле деятельность российских предприятий на 80% состоит из вполне стандартных бизнес-процессов, а 20-процентная особенность складывается из русской безалаберности, соотношения "серой" и "черной" наличности, умения "крутиться" и найти хорошую "крышу". При этом упор в развитии компании делается не на объективное состояние экономики и конъюнктуры, а на умение улаживать дела с таможней, налоговыми органами, региональными администрациями и организованными преступными группировками. Руководители таких компаний ходят "по лезвию ножа" - они часто не в ладах с законом, и информация, на основе которой они принимают решения, носит не деловой, а зачастую полукриминальный характер. В этом случае, действительно, трудно вообразить стандартизированную информационную систему для обслуживания такого предприятия. "Предприятие, обеспеченное первоклассной информацией и соответствующими технологиями, может и должно работать как часы" Этот стереотип является следствием моды и дилетантского отношения к менеджменту. "Постановка регулярного менеджмента" объявляется панацеей от всех бед - менеджмент прост, как семь нот, достаточно выучить их и играть управленческие гаммы. К сожалению, бездумное применение чужих рецептов к своим болезням редко способствует выздоровлению. Бизнес - это, по определению, игра с многосторонней стратегией, а в такой игре нет и быть не может заданных единственно правильных ходов. Многое зависит от отрасли, истории предприятия, его размеров и территориальной распределенности, личности руководителя и членов его команды, сложившихся взаимоотношений, выбранной стратегии развития. Само собой разумеется, влияют и внешние факторы - политика федеральных и местных властей, таможенная и налоговая система, резкие скачки конъюнктуры рынка. Искать точное решение в пространстве сотен или тысяч переменных, хитрым образом взаимосвязанных, - дело безнадежное. Поэтому бессмысленно говорить о "правильной" организации и расписывать, как должны выглядеть ее "правильные" организационная и информационная структуры. Можно говорить лишь об общих принципах и подходах, которые следует учитывать руководителю при определении того, как должно быть устроено предприятие, чтобы добиваться успеха на рынке, причем не только сиюминутного, но и в долгосрочном плане. Руководитель должен прояснить для себя, где находится предприятие в системе рыночных координат и куда движется, на какой сегмент рынка ориентируется, чем отличается от конкурентов, как воспринимается потребителями, клиентами. Он должен научиться задавать четкие вопросы, тогда, при наличии воли, у него есть шанс добиться от подчиненных четких ответов о реальной ситуации на предприятии. "Неважно, кому подчиняется ИТ- служба" В большинстве российских компаний ИТ-служба подчиняется кому угодно, только не первому лицу. Она может подчиняться главному инженеру или кому-то из его замов. Если на предприятии реально важной фигурой является главный бухгалтер, он вполне может подчинить службу себе, и в этом случае формально самостоятельные ИТ-подразделения фактически становятся частью бухгалтерии. Какие задачи они решают? Расчет зарплаты, движение платежей, учет кадров и прочие традиционные задачи. В случае подчиненности главному инженеру могут решаться отдельные задачи для его служб. Как следствие - "лоскутная" автоматизация, характерная для российского бизнеса. Ее пороки очевидны: постановщиками задач (заказчиками разработок) в этом случае являются представители служб предприятия. Для разработчиков достаточно понять алгоритм, по которому действует персонал, закодировать его, оттестировать, внедрить и получить выгоду от того, что все делается намного быстрее, да и ошибок, неизменно присущих людям ("устали", "забыли" и т. п.), удается избежать. Целью автоматизации, таким образом, становится консервация сложившегося положения, увековечивание существующей технологии со всеми ее пороками и недостатками. Это не хорошо и не плохо, но на бизнес в целом подобные ИТ-службы не оказывают практически никакого влияния. Это совершенно не соответствует той роли, которую сегодня играют современные информационные технологии в развитии бизнеса. С другой стороны, трудно представить себе работающее российское предприятие, не имеющее (пусть негативного) опыта "лоскутной" автоматизации, не эксплуатировавшее различные программные средства (свои или закупленные) и при этом бодро взявшееся за комплексную автоматизацию своей производственно-хозяйственной деятельности. "Лоскутная" автоматизация - такой же этап развития ИТ в России, как освоение несложных программных средств (MS Office, MS Project или 1С: Бухгалтерия). Важно только не задержаться на этом этапе и вовремя перейти к следующему - в этом и состоит искусство и культура управленца. Резюмируя сказанное выше, можно сказать, что руководителю нужна не "полная информация по предприятию" - ему нужна совокупная, достоверная, взвешенная информация (собранные и обработанные данные), распределенная по основным направлениям финансово-экономической и производственной деятельности компании, пригодная для всестороннего анализа и достаточная для принятия решения. Ее объем, степень формализации и детализации определяет сам руководитель в соответствии с информационной политикой предприятия, важностью задач, положением руководителя в иерархии управления, его ответственностью и уровнем компетентности, пониманием целей и миссии компании. Работа с информацией и информационная культура в целом является одним из важнейших компонентов попыток компании управлять изменениями. Есть три принципиальные причины, в силу которых менеджер сегодня должен заботиться об информационной культуре своей компании. Во-первых, она все больше и больше становится важнейшей частью общей организационной культуры. Все больше компаний понимают необходимость преобразований, ориентированных на удовлетворение ожиданий потребителя. Чтобы сегодня влиять на будущее, нужно представлять себе, на что оно будет похоже. А для этого нужно работать с разнообразнейшей деловой, рыночной, политической, технологической и социальной информацией. Во-вторых, информационные технологии делают возможным создание в компаниях компьютерных сетей, с помощью которых идет общение между менеджерами, - но важно знать, как люди используют эту информацию. Само по себе создание такой сети со всеми ее рабочими станциями и мультимедийными возможностями не гарантирует того, что информация будет использоваться более разумно и более эффективно. В-третьих, для разных функциональных служб, подразделений и рабочих групп информационная культура различна, а это означает различие подходов к процессам осознания, сбора, организации, обработки, распространения и использования информации. Поэтому многие менеджеры согласятся с тем, что корпоративная информационная культура важна для выработки стратегии и осуществления перемен. Сегодня в компаниях можно встретить четыре разновидности информационной культуры (рис. 1.2). Каждая из них влияет на способ использования информации - информационное поведение при реализации деятельности - и отражает приоритеты руководителей компании в использовании информации для достижения успеха или предотвращения провалов [Маршанд Доналд А. Менеджмент. М: Олимп-Бизнес, 1999, 704 с.]. Рис. 1.2. Виды информационной культуры Первая - это функциональная культура, когда информацию используют для влияния на других. Эта культура в наибольшей степени присуща компаниям с жесткой иерархией, где информация служит прежде всего для управления и контроля. Характерным для этой культуры информационным поведением является контроль. Здесь этот термин используется не в отрицательном смысле, а просто как обозначение необходимой для компании деятельности. Многие деловые процессы используются для контроля во всех областях - от бухгалтерского учета до снабжения. Вопрос в том, является ли контроль положительной характеристикой культуры корпорации или он культивирует негибкость и подозрительность. Но это уже проблема общей корпоративной культуры. Можно привести пример: швейцарско-шведская конструкторская компания АВВ хорошо известна своей системой финансового учета, которая охватывает более тысячи разбросанных по миру отделений. Чтобы управлять такой корпорацией при наличии довольно маленького центрального аппарата управления, нужно иметь точную и полную информацию о деятельности отделений. Без соответствующего отношения к информационному контролю АВВ была бы просто неуправляемой. Во второй разновидности - культуре взаимодействия - менеджеры и специалисты в достаточной степени доверяют друг другу и потому могут обмениваться информацией, важной для совершенствования процессов и роста эффективности. Прямой обмен информацией о возможных срывах и провалах необходим для устранения проблем и адаптации к изменениям. Правда, есть немало компаний, которые внедряют программы "Всеобщего управления качеством" (Total Quality Management - TQM) и которые одновременно с этим наказывают служащих и менеджеров, решившихся заговорить о недостатках и ошибках. Но есть и компании, например Boss Corporation, где такая информация рассматривается как необходимое условие успеха. Руководители компании полагают, что, доводя такую информацию до своих служб и рабочих групп, до потребителей и поставщиков, компания помогает устранению проблем и совершенствованию производства. В культуре исследования менеджеры и служащие стремятся к пониманию будущих тенденций и поиску лучшего способа отразить возможную угрозу внезапного изменения спроса или появления конкурентов. Здесь господствующим информационным поведением является предвидение. В таких компаниях существуют анклавы исследовательской культуры в службах, связанных с обслуживанием клиентов, с исследованиями рынка, с технологическими исследованиями и разработками и со сбором информации. Для некоторых отраслей, таких как производство полупроводников и разработка программного обеспечения, эта культура является необходимым условием выживания, потому что смена технологий в производстве полупроводников происходит примерно каждые 18 месяцев, в разработке программного обеспечения - каждые 6-8 месяцев, а инвестиции на создание нового производства огромны - от 1,5 до 2 млрд долларов в год. И, наконец, четвертый вид - культура открытости. Здесь служащие и менеджеры открыты для нового понимания природы кризисов и радикальных перемен. Эти компании сознательно отбрасывают старые подходы к бизнесу, чтобы освободиться для поиска новых перспектив и идей, обещающих создание новых продуктов и услуг, которые могли бы изменить условия конкуренции поверх рыночных ниш и отраслей производства. Корпорация Microsoft одновременно конкурирует на рынках программных приложений, онлайновой информации, развлечений и продажи видеопродукции, чем радикально изменяет традиционное представление о производителе программного обеспечения. Компания не просто предвидит изменения или адаптируется к ним, но перекраивает саму базу конкуренции в самых разных отраслях. Немало компаний обладают анклавами культуры открытости, где собирают и обрабатывают информацию, разрабатывают новые продукты и сценарии развития бизнеса, добиваются партнерских отношений с потребителями и поставщиками. Но есть только считанное число таких компаний, как Microsoft, которые сделали культуру открытости неотъемлемой частью своей стратегии. Стратегия построения информационного управления и использования ИТ предполагает оптимальное

double arrow