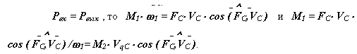
Рассмотрим как преобразуется поток механической энергии в идеальном механизме с жесткими звеньями (по идеальным механизмом здесь понимаем механизм, в котором не потерь энергии, т.е. КПД которого равно h=1). При этом входная мощность равна выходной Pвх = Pвых.
1. Механизм преобразующий вращательное движение во вращательное.
|
| Рис. 4.1 |
так как
|
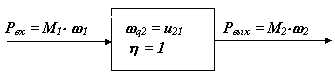
2. Механизм преобразующий вращательное движение в поступательное.
|
| Рис. 4.2 |
так как
|






