Изобразим расчетную схему механизма и нанесем на нее все внешние силы и моменты (рис.4.13).
|
| Рис. 4.13 |
Постановка задачи.
Дано: >li, j3, w3, e3, mi, Isi, Mc5.
Определить: Fij, Mд3.
1. Определение подвижности механизма, числа избыточных связей в КП и числа неизвестных в силовом расчете.
|
2. Определение скоростей и ускорений звеньев и центров их масс.
3. Определение главных векторов и главных моментов сил инерции.
|
4. Кинетостатический расчет механизма.
4.1 Звено 5 (рис. 4.14).
Уравнения силового равновесия в проекциях на оси координат
|
|
и сумма моментов сил относительно точки L
|
|
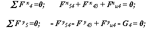
4.2 Звено 4. (рис. 4.15).
Уравнения силового равновесия в проекциях на оси координат
|
и сумма моментов сил относительно точки Q
|
4.3 Звено 4. (рис. 4.16).
|
Уравнения силового равновесия в проекциях на оси координат
|
и сумма моментов сил относительно точки C
|
Таким образом мы составили систему 9-и уравнение с 9-ю неизвестными. При составлении этой системы были учтены равенства действия и противодействия Fij = - Fji (без учета этих равенств общее число неизвестных и уравнений системы 18). Составим матрицу этой системы:
|
|
|
|
Из решения этой системы уравнений определяются реакции в КП и движущий момент Мд3
Примечание: Более подробно с силовым расчетом рычажных механизмов Вы познакомитесь на упражнениях и при выполнении 2-го домашнего задания.






