Наиболее универсальным является метод амперметра-вольтметра. Основан на измерении тока, протекающего через измеряемое сопротивление и падения напряжения на нем. Применяют две схемы измерения: измерение больших сопротивлений (рис. а) и измерение малых сопротивлений (рис. б). По результатам измерения тока и напряжения определяют искомое сопротивление.
Для схемы (рис.,а) искомое сопротивление и относительная методическая погрешность измерения определяются

где RХ - измеряемое сопротивление; Rа - сопротивление амперметра.
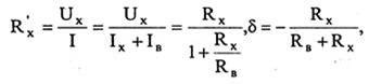
Для схемы (рис. б) искомое сопротивление и относительная методическая погрешность измерения определяются

где Rв -сопротивление вольтметра.
Из определения относительных методических погрешностей следует, что измерение по схеме (рис.а) обеспечивает меньшую погрешность при измерении больших сопротивлений, а измерение по схеме (рис.б) - при измерении малых сопротивлений.
Погрешность измерения по данному методу рассчитывается по выражению

где γв, γа, - классы точности вольтметра и амперметра; U - I пределы измерения вольтметра и амперметра.
|
|
|
Используемые при измерении приборы должны иметь класс точности не более 0,2. Вольтметр подключают непосредственно к измеряемому сопротивлению. Ток при измерении должен быть таким, чтобы показания отсчитывались по второй половине шкалы. В соответствии с этим выбирается и шунт, применяемый для возможности измерения тока прибором класса 0,2. Во избежание нагрева сопротивления и, соответственно, снижения точности измерений, ток в схеме измерения не должен превышать 20% номинального.

Рис. Схема измерения больших (а) и малых (б) сопротивлений методом амперметра-вольтметра.
Рекомендуется проводить 3 - 5 измерений при различных значениях тока. За результат, в данном случае, принимается среднее значение измеренных сопротивлений.
При измерениях сопротивления в цепях, обладающих большой индуктивностью, вольтметр следует подключать после того как ток в цепи установится, а отключать до разрыва цепи тока. Это необходимо делать для того, чтобы исключить возможность повреждения вольтметра от ЭДС самоиндукции цепи измерения.






