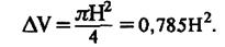
Формирование ледопородных водонепроницаемых ограждений и подпорных стен производят с помощью серии замораживающих колонок, расположенных на равном расстоянии друг от друга. В этом случае тепловой поток q направлен с обеих сторон к ледопородным цилиндрам, расположенным в ряд (рис. 3.9).

Рис. 3.9. Схема формирования ледопородных водонепроницаемых ограждений
Площадь одиночного ледопородного цилиндра высотой 1 м, по которой происходит приток тепла к замораживающей колонке, равно F1 = 2πrц. В случае ледопородного водонепроницаемого ограждения приток тепла происходит с обеих сторон ограждения и численное значение этой площади равно F2 == 2 l, где l — расстояние между центрами ледопородных цилиндров.
Когда отдельные ледопородные цилиндры водонепроницаемого ограждения сомкнутся, 2rц = l, тогда, в этом случае, F1 = 2πrц = π l, а отношение F2/F1= 2 l /π l =0,64. Следовательно, количество тепла, поступающее к единице поверхности ледопородного ограждения, будет в 0,64 раза меньше, чем количество тепла, поступающего к единице поверхности одиночного ледопородного цилиндра. С учетом этого, время, необходимое для смыкания одиночных ледопородных цилиндров и обраования водонепроницаемого ограждения, τ °зо будет равно
|
|
|
(3.16)
где
(3.17)
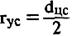
При образовании ледопородной стенки толщиной Н в замке (замком называется место соединения ледопородных цилиндров) необходимо после истечения времени τ °зо продолжать вести замораживание еще в течение некоторого времени, за которое бы радиус ледопородных цилиндров увеличился с rц до rцc (рис. 3.10).

Рис. 3.10. Схема к расчету времени замораживания при образовании ледопородной подпорной стенки
К моменту смыкания одиночных ледрпородных цилиндров объем замороженного грунта, приходящийся на 1 м длины каждой замораживающей колонки, будет (м3/м)
(3.18)
При образовании ледопородной стенки толщиной Н объем замороженного грунта, приходящийся на 1 м длины каждой замораживающей колонки, составит (м3/м)
(3.19)
где
— радиус ледопородных цилиндров после их смыкания, при которых достигается заданная толщина Н ледопородной стенки в замке, м (рис. 3.10).
Дополнительный объем грунта, подлежащий замораживанию после смыкания смежных ледопородных цилиндров, для образования ледопородной стенки толщиной Н будет
(3.20)
Согласно рис. 3.10 из треугольника АСД имеем
(3.21)
Подставляя значения
и
из (3.21) в выражение (3.20), получим
(3.22)
Дополнительное время замораживания для образования ледопородной стенки толщиной Н из ледопородного водонепроницаемого ограждения с учетом формулы (3.16) будет
(3.23)
При Н = 0,5 м величина
примерно составляет 3 сут, а при Н = 1 м время τ з достигает 18 сут.
|
|
|
Время замораживания при образования ледопородной стенки (τ зс) с заданной толщиной в замке, равной Н, определяется из выражения
(3.24)
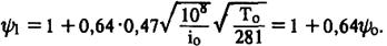
При намораживании ледопородных стен двумя рядами замораживающих колонок их располагают так, как показано на рис. 3.11.

Рис. 3.11. Схема образования двухрядной ледопородной стенки
При таком расположении замораживающих колонок тепло к ледопородным цилиндрам будет поступать только с внешних сторон ледопородной стенки. Тепло, заключенное между рядами ледопородных цилиндров, учитывается теплосодержанием i0.
При двухрядном расположении замораживающих колонок, как это показано на рис. 3.11, ледопородная стенка сформируется в тот момент, когда произойдет смыкание отдельных ледопородных цилиндров как в ряду, так и между рядами.
При двухрядном расположении замораживающих колонок тепловой поток q к ледопородной стенке по высоте 1 м будет в 2 раза меньше, чем при намораживании однорядного водонепроницаемого ограждения. Время на образование ледопородной стенки при двухрядном расположении замораживающих колонок будет
(3.25)
где
(3.26)
Если количество рядов замораживающих колонок будет больше чем 2, то расчет времени замораживании для смыкания ледопородных цилиндров крайних рядов производят по формуле (3.26), а для внутренних рядов по формуле
(3.27)
При проходке шахтных стволов с использованием замораживания пород замораживающие колонки располагают по окружности так, чтобы после образования ледопородной стенки в виде полого цилиндра внутренний его диаметр был равен диаметру ствола в проходке. В процессе формирования ледопородной стенки при сооружении шахтных стволов теплоприток к внешней стороне ледопородного полого цилиндра со временем будет уменьшаться, но не уменьшится ниже некоторого значения. Теплоприток к внутренней стороне ледопородного полого цилиндра будет уменьшаться со временем значительно быстрее, чем с внешней стороны, пока не прекратится совсем. Выражение для определения времени образования ледопородного ограждения вокруг шахтного ствола имеет вид
(3.28)
где
(3.29)
ТЕМА №4. ТЕПЛООБМЕН В ГОРНЫХ ВЫРАБОТКАХ






