| Год | Долг (D) | Выплата процентов (I = D • q) | Взносы в погасительный фонд,
| Величина срочной уплаты, (Y=I+R) | Накопленная сумма долга [ FVt +1= FVt (1+ i)+ R ] |
| 100'000 | 10'000 | 29'921,31 | 39'921,31 | 29'921,31 | |
| 100'000 | 10'000 | 29'921,31 | 39'921,31 | 63'133,96 | |
| 100'000 | 10'000 | 29'921,31 | 39'921,31 | 100'000,00 | |
| Итого | х | 30'000 | 89'763,93 | 119'763,93 | х |
Таким образом, из приведенной таблицы видно, что ежегодные расходы по обслуживанию долга составят 39'921,31 долларов, что в целом за три года составит сумму 119'763,93 долларов, причем выплата процентов за три года 30'000 долларов, а на погашение основного долга в размере 100'000 долларов приходится всего лишь 89'763,93 долларов, т.е. 10'236,07 долларов является набежавшими процентами на размещенные средства в фонде погашения.
Таким образом, создание фонда погашения является необходимым элементом составления плана погашения долга, т.к. позволяет не только снизить риск не возврата денежных средств, но и сократить расходы по обслуживанию суммы долга.
2.1.1.2. Погашение основной суммы долга и процентов по нему единовременным платежом в конце срока ссуды. Второй вариант погашения долга единовременным платежом состоит в выплате процентов одновременно с погашением долга.
|
| Рис. 11. Единовременное погашение долга одновременно с выплатой процентов по нему |
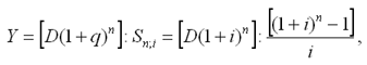
В этом случае взносы в фонд погашения являются одновременно и величиной срочной уплаты (членом финансовой ренты):
|
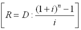
где D – первоначальная сумма долга;
q – ставка процентов по условиям займа;
sn; i – коэффициент наращения финансовой ренты;
n – срок долга в годах;
i – ставка процентов при создании погасительного фонда.
Пример. Рассмотрим предыдущий пример, изменив условия: погашение единовременным платежом, как суммы основного долга, так и выплаты процентов.
Решение:
Величина срочной уплаты равна:
Y = [ D • (1 + q) n ]: Sn; i = 100'000 • (1 + 0,11) • 3: 3,3421000 = 39'825,26 долларов
Таким образом, величина ежегодных расходов по обслуживанию долга составит 39'825,26 долларов, что несколько меньше аналогичного показателя в предыдущем примере, следовательно, меньше и общая сумма расходов по обслуживанию долга, составляющая величину 119'475,78 долларов.
Для более наглядного представления плана погашения долга здесь также необходимо составление таблицы.






