Нейтрон — элементарная частица с массой, близкой к массе протона. Не обладая электрическим зарядом, нейтроны не испытывают действия электрических зарядов электронов и ядер, поэтому имеют большую проникающую способность. Кроме того, при соударении с ядрами они вызывают разнообразные ядерные реакции, что делает их ценным инструментом для изучения ядерного состава горных пород, а через него и химического.
В зависимости от энергии Еп нейтроны подразделяются на тепловые (Еп< 1 эВ), промежуточные (1 эВ< Еп <0,1 МэВ) и быстрые (Еп > 0,1 МэВ). Соответствующие этим нейтронам области энергий называются тепловой, промежуточной и быстрой. Нейтроны с энергией Еп= 1 эВ—1 кэВ часто называют резонансными, а группу нейтронов в несколько неопределенном интервале энергий, непосредственно примыкающем к области тепловых нейтронов (примерно 0,3 —n•102 эВ) — надтепловыми. Тепловые нейтроны находятся в тепловом равновесии с молекулами среды, т. е. распределение их энергии совпадает с распределением Максвелла для заданной температуры среды. Средняя скорость тепловых нейтронов при комнатной температуре равна 2200 м/с, энергия 0,025 эВ.
Реакции с участием нейтронов подразделяются на следующие группы: рассеяние и поглощение нейтронов. Наиболее вероятно при всех энергиях рассеяние нейтронов, которое может быть упругим и неупругим.
Упругое рассеяние нейтронов аналогично столкновению двух идеально упругих шаров. Сумма кинетических энергий нейтрона и ядра-мишени после соударения считается равной значению этой суммы до соударения; какого-либо расхода кинетической энергии на изменение внутреннего состояния ядра не наблюдается. Сечение упругого рассеяния σр для большинства ядер в тепловой и промежуточных областях почти постоянно, а в быстрой области испытывает значительные колебания в зависимости от значения энергии (рис. 4). Исключением является водород, имеющий наибольшее сечение упругого рассеяния по сравнению с основными породообразующими элементами. В тепловой области сечение водорода резко падает (с 8•10-27 до 2•10-27 м2), в промежуточной области остается постоянным, а в быстрой снова падает до (4—5) •10-28 м2 (см. рис. 4, а).
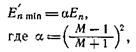
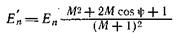
Потеря энергии нейтронов при соударении зависит от массы ядра М и угла рассеяния нейтрона. Так, энергия нейтрона до соударения (Еп) с покоящимся ядром и после него (Е'n) связаны соотношением
(1)
где ψ — угол рассеяния нейтрона в системе центра масс С; косинус угла рассеяния нейтрона в лабораторной системе L
(2)
Согласно выражению (1), минимальное значение Е'n при лобовом соударении

а потеря энергии
(1а)
Показано, что при изотропном рассеянии нейтронов в системе центра масс значение Е равномерно распределено в интервале
Следовательно, средние значения
(3)
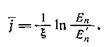
В теории более удобна и чаще используется среднелогарифмическая потеря энергии на одно соударение — параметр замедления
(4)
Формула (1) получена в предположении, что рассеяние является изотропным в системе С, т.е. cos ψ распределен равномерно в интервале (—1,1). Такое рассеяние характерно для медленных и промежуточных нейтронов. В этом случае рассеяние в лабораторной системе координат L будет, очевидно, неизотропным. Более вероятно рассеяние вперед; средний косинус угла рассеяния 0 в лабораторной системе определяется выражением
(5)
При больших величиннах Еп рассеяние на большинстве элементов и в системе С анизотропно и направлено преимущественно вперед.
Если ξ не зависит от энергии нейтрона, среднее значение логарифма энергии после j соударений

Отсюда среднее число соударений, необходимых для замедления нейтрона от энергии Еп до энергии Е'п:
(6)
![]() |
Из соотношения (4) следует, что наибольшая потеря энергии нейтронов (ξ =1) наблюдается при соударении с ядром, имеющим массовое число М =1, т.е. с ядром водорода. При лобовом соударении нейтрона с протоном (θ = π) возможна полная потеря его энергии. В то же время соответствующие величины для кислорода и кремния составляют всего 11 и 6 % (ξ =0,12;0,07). Из-за высокого сечения рассеяния и большой потери энергии нейтрона при соударении с ядрами водорода последний является аномальным замедлителем нейтронов.
Неупругое соударение нейтронов приводит к большей потере энергии нейтрона по сравнению с упругим рассеянием на том же ядре, поскольку при этом энергия расходуется не только на создание кинетической энергии ядра-отдачи, но также на его возбуждение, т.е. увеличение внутренней энергии ядра.
Энергия возбуждения ядра в последующем высвобождается в виде γ-квантов. Спектр последних характерен для данного элемента и может быть использован для его определения методом ГИНР.
Неупругое рассеяние — пороговая реакция. Энергия порога Еппор, незначительно превышающая энергию En1 первого возбужденного уровня ядра, уменьшается с ростом массового числа М (от нескольких мегаэлектронвольт для легких ядер примерно до 102 кэВ для тяжелых). Поэтому неупругое рассеяние происходит только с быстрыми нейтронами и преимущественно на тяжелых ядрах.
Сечение неупругого рассеяния σн.р. отличается от нуля при Еп> Еппор и при Еп =10—15 МэВ достигает максимального значения, составляющего для различных элементов величину от n•10-29 до n•10-28 м2 (см.рис.4,в). Угловое распределение неупругого рассеяния нейтронов изучено мало. Его обычно принимают изотропным в системе С.
Поглощение нейтронов приводит к реакциям с испусканием протона р, α - частицы, двух-трех нейтронов или γ-квантов, которые принято обозначать как реакции
(n, 2n) и т. д., а также к реакции деления (п, f). Некоторые из этих реакций — (п, γ ), реакция (п, f) на 235U, (n, р) на 3Не и некоторых других изотопах, а также (п,α) на изотопах 10В и 6Li — идут при любых (хотя более вероятны при малых) значениях энергии нейтрона. Сечение этих реакций в тепловой области убывает обычно обратно пропорционально скорости нейтронов (по закону 1 /υ). В таблицах сечений для тепловых нейтронов приводятся значения сечений поглощения (захвата) σз.т. для энергии ЕпT = 0,025 эВ, что соответствует средней энергии теплового движения атомов при нормальной температуре. Сечение поглощения для другой энергии рассчитывается по формуле

Сечение захвата тяжелых элементов в промежуточной области обычно имеет резонансный характер (рис. 5).

Остальные реакции поглощения, т.е. реакции (n, р) и (п, α) для большинства элементов (п, 2п) и др., являются пороговыми, они происходят, как правило, при Еп>2 —5 МэВ. Зависимость сечения этих реакций от энергии в общих чертах подобна аналогичной зависимости для сечения неупругого рассеяния (см. рис. 4, в).
Спектр γ-квантов, образующихся по реакции радиационного захвата нейтронов (п, γ), различен для разных элементов (рис. 6). В табл. 1 приведены сечения некоторых реакций, вызываемых тепловыми нейтронами.
ТАБЛИЦА 1. Сечение взаимодействия тепловых нейтронов (υn=2200 м/с)
|
