Рассмотрим нелинейную систему уравнений
| (1) |
или в векторной форме
| f (x) = 0, | (1 ') |
где
f
x 
Для решения системы (23?) будем пользоваться методом последовательных приближений.
Предположим, известно k -е приближение
x (k) = 
одного из изолированных корней x =
векторного уравнения (23 '). Тогда точный корень уравнения (23') можно представить в виде
| х= x (k) + D x (k), | (2) |
где D x (k) =
- поправка (погрешность корня).
Подставляя выражение (24) в (23'), будем иметь
| f (x (k)+ D x (k))= 0. | (3) |
Предполагая, что функция f (x) непрерывно дифференцируема в некоторой выпуклой области, содержащей x и x (k), разложим левую часть уравнения (25) по степеням малого вектора D x (k), ограничиваясь линейными членами,
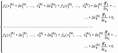
| f (x (k)+ D x (k))= f (x (k)) + f^ (x (k)) D x (k) = 0 | (4) |
или, в развернутом виде,
| (4') |
Из формул (26) и (26') вытекает, что под производной f ' (x) следует понимать матрицу Якоби системы функций f 1, f 2,..., fn относительно переменных x 1, x 2,..., xn, т. е.
f ' (x) = W (x) =
,
или в краткой записи
f ' (x) = W (x) =
(i, j = 1, 2, …, n).
Поэтому формула (26) может быть записана в следующем виде:
|
|
|
f (x (k)) + W (x (k)) D x (k) = 0
Еслиdet W ( х ) =
, то D x (k) = - W -1(x (k)) f (x (k)).
Отсюда видно, что метод Ньютона решения системы (23) состоит в построении итерационной последовательности:
| x (k + 1) = x (k)- W -1(x (k)) f (x (k)) (k = 0, 1, 2, …). | (5) |
Если все поправки становятся достаточно малыми, счет прекращается. Иначе новые значения xi используются как приближенные значения корней, и процесс повторяется до тех пор, пока не будет найдено решение или не станет ясно, что получить его не удастся.
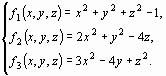
Пример. Методом Ньютона приближенно найти положительное решение системы уравнений

исходя из начального приближения x 0 = y 0 = z 0 =0,5.
Полагая:
х (0) =
, f (х) =
,
имеем:
f (х) = 
Отсюда
f ( х (0) ) = 
Составим матрицу Якоби
W (x) = 
Имеем
W ( х (0) ) =
, причем D = det W ( х (0) ) = 
Следовательно, матрица W ( х (0) ) - неособенная. Составим обратную ей матрицу
W -1( х (0) ) = 
По формуле (27) получаем первое приближение
х (1) = x (0) - W - 1(x (0)) f (x (0) ) =
- 
=
+
=
.
Аналогично находятся дальнейшие приближения. Результаты вычислений приведены в Таблице 3.






